Ir2Se2
MatHub2d-816-Ir2Se2
| Property |
Value |
| Space group |
(187, 'P-6m2') |
| Crystal system |
hexagonal |
| Magnetic |
No |
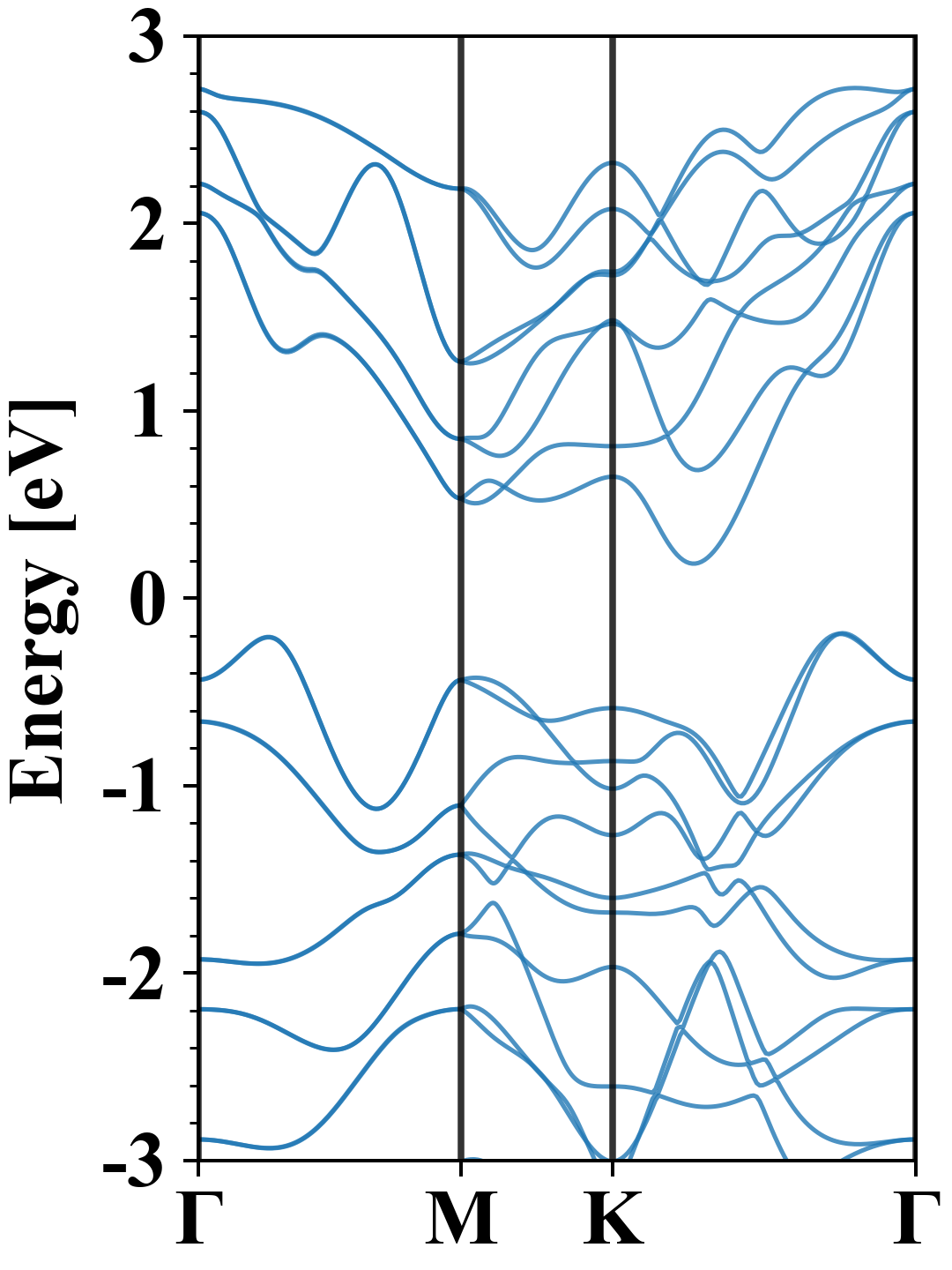
| Band gap (PBE) (eV) |
0.66 |
| Free energy (eV) |
-18.727 |
| Free energy / atom (eV) |
-4.682 |
Lattice Parameters (basic)
| a, b, c (Å): | 3.367 | 3.367 | 30.000 |
| α, β, γ (°): | 90.000 | 90.000 | 120.000 |
Lattice Parameters (computed)
| a, b, c (Å): | 3.355 | 3.355 | 30.000 |
| α, β, γ (°): | 90.000 | 90.000 | 120.000 |
| Property |
Value |
| Band gap |
0.66 eV |
| E-fermi |
-1.562 eV |
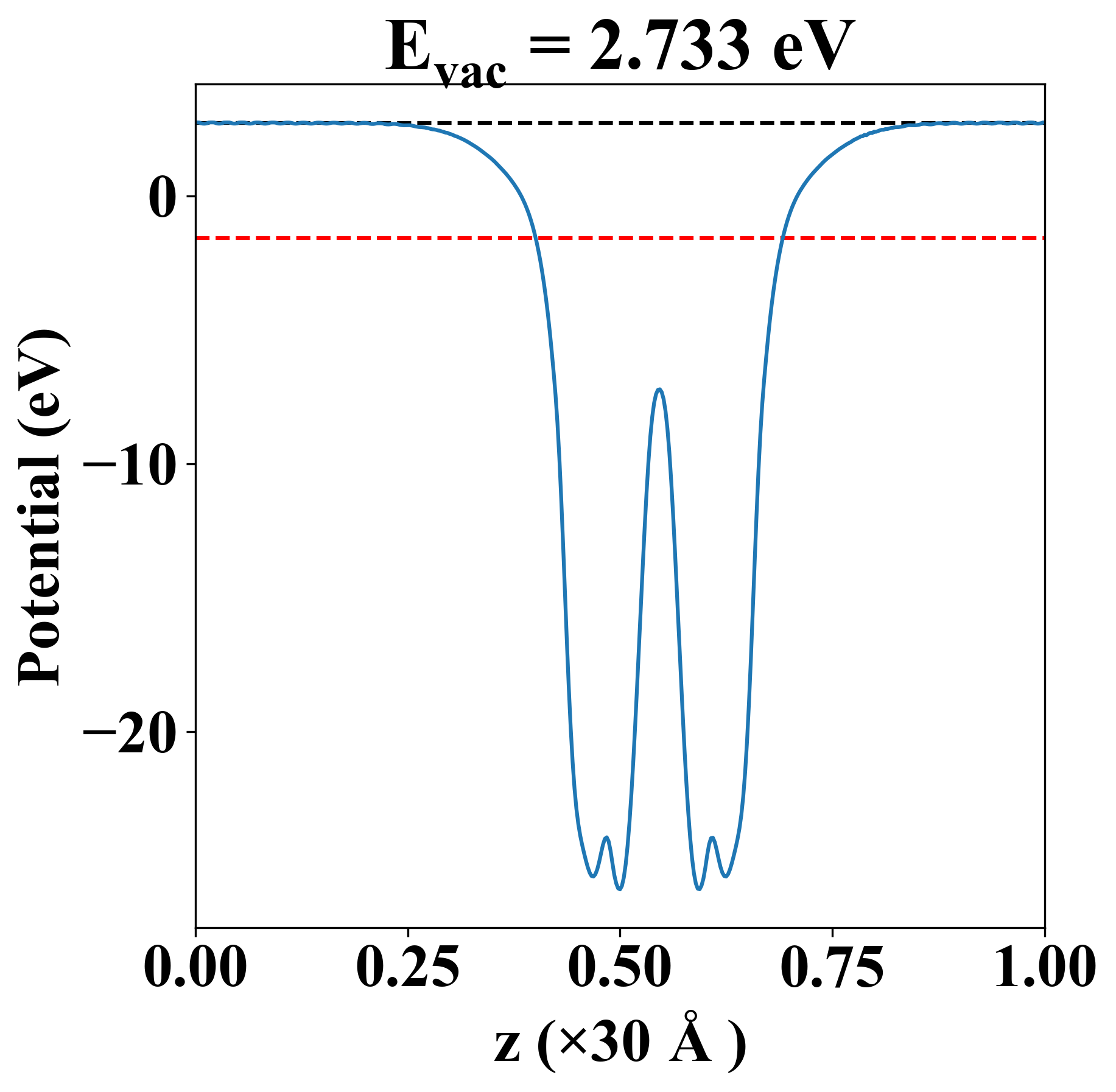
| Vacuum level |
2.733 eV |
| VBM |
-1.769 eV |
| CBM |
-1.106 eV |
| Work function |
4.295 eV |
| Direct gap |
No |
| Property |
Value |
| Band gap |
0.37 eV |
| E-fermi |
-1.609 eV |
| VBM |
-1.796 eV |
| CBM |
-1.425 eV |
| Free energy (eV) |
-19.481 |
| Free energy / atom (eV) |
-4.870 |
| Property |
Value |
| Band gap |
0.66 eV |
| E-fermi |
-1.562 eV |
| Vacuum level |
2.733 eV |
| VBM |
-1.769 eV |
| CBM |
-1.106 eV |
| Work function |
4.295 eV |
| Cij (N/m) |
xx |
yy |
xy |
| xx |
87.809 |
41.180 |
0.000 |
| yy |
41.180 |
87.809 |
0.000 |
| xy |
0.000 |
0.000 |
23.314 |
| Phonon mode at Γ point (THz) |
| -1.108 |
| -1.108 |
| 0.001 |
| 0.001 |
| 0.001 |
| 3.997 |
| 7.072 |
| 7.072 |
| 7.158 |
| 7.158 |
| 8.335 |
| 8.731 |
| Property |
Value |
| from where |
c2db-1642 |