Ir2S2
MatHub2d-815-Ir2S2
| Property |
Value |
| Space group |
(187, 'P-6m2') |
| Crystal system |
hexagonal |
| Magnetic |
No |
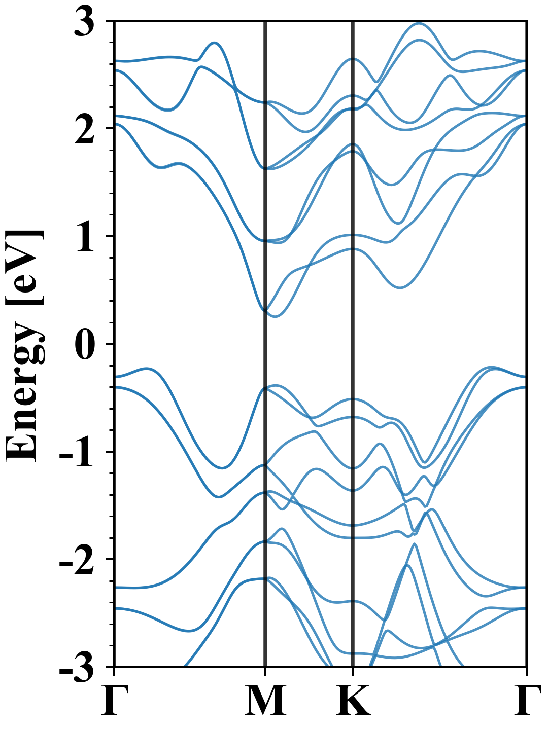
| Band gap (PBE) (eV) |
0.44 |
| Free energy (eV) |
-20.693 |
| Free energy / atom (eV) |
-5.173 |
Lattice Parameters (basic)
| a, b, c (Å): | 3.236 | 3.236 | 30.000 |
| α, β, γ (°): | 90.000 | 90.000 | 120.000 |
Lattice Parameters (computed)
| a, b, c (Å): | 3.221 | 3.221 | 30.000 |
| α, β, γ (°): | 90.000 | 90.000 | 120.000 |
| Property |
Value |
| Band gap |
0.44 eV |
| E-fermi |
-1.847 eV |
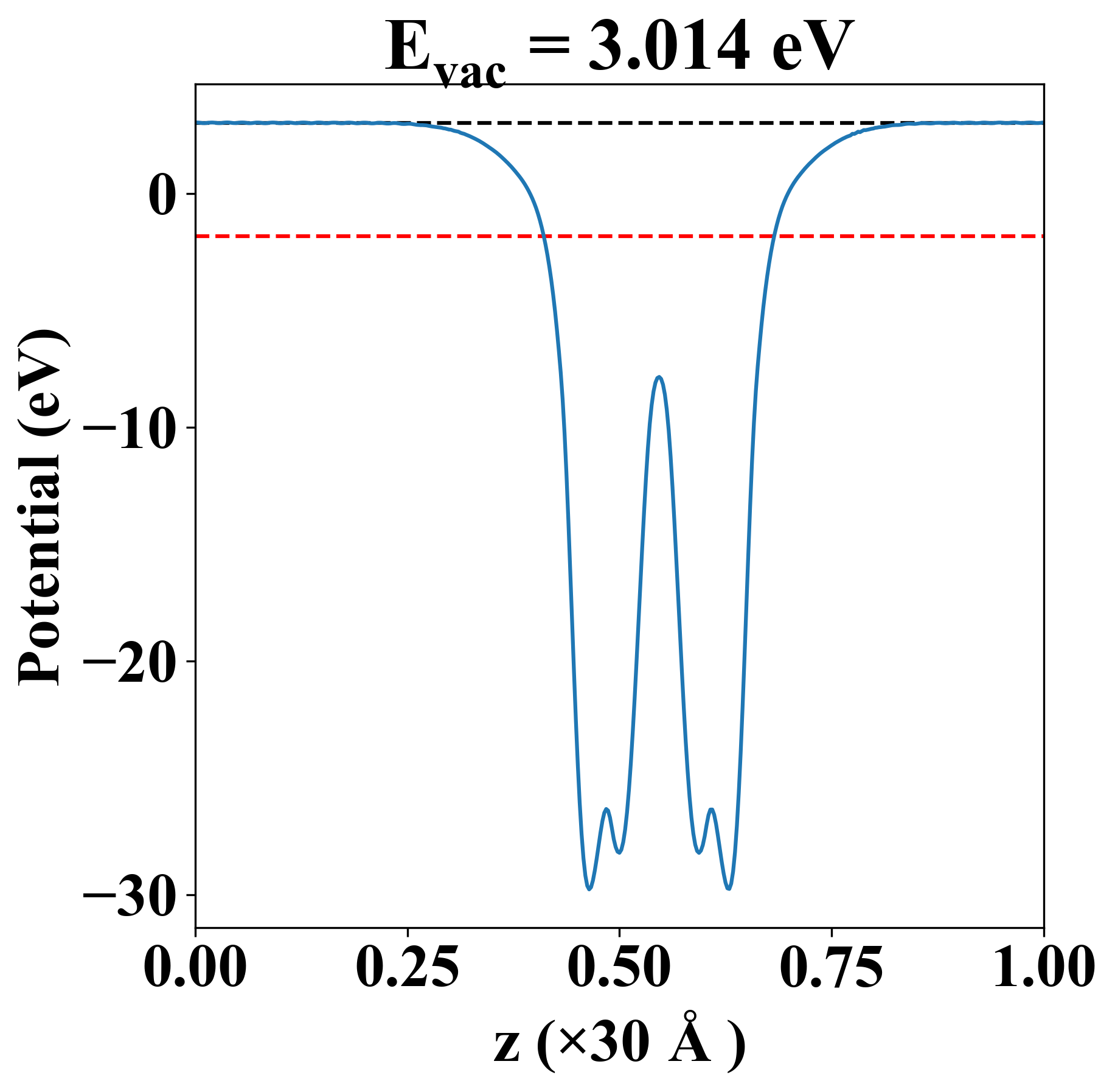
| Vacuum level |
3.014 eV |
| VBM |
-2.074 eV |
| CBM |
-1.639 eV |
| Work function |
4.860 eV |
| Direct gap |
No |
| Property |
Value |
| Band gap |
0.47 eV |
| E-fermi |
-1.876 eV |
| VBM |
-2.092 eV |
| CBM |
-1.624 eV |
| Free energy (eV) |
-21.410 |
| Free energy / atom (eV) |
-5.352 |
| Property |
Value |
| Band gap |
0.44 eV |
| E-fermi |
-1.847 eV |
| Vacuum level |
3.014 eV |
| VBM |
-2.074 eV |
| CBM |
-1.639 eV |
| Work function |
4.860 eV |
| Cij (N/m) |
xx |
yy |
xy |
| xx |
126.885 |
57.329 |
0.000 |
| yy |
57.329 |
126.885 |
-0.000 |
| xy |
0.000 |
-0.000 |
34.778 |
| Phonon mode at Γ point (THz) |
| -1.083 |
| -1.083 |
| -0.005 |
| -0.002 |
| -0.002 |
| 4.437 |
| 10.959 |
| 10.959 |
| 11.051 |
| 11.051 |
| 12.696 |
| 12.865 |
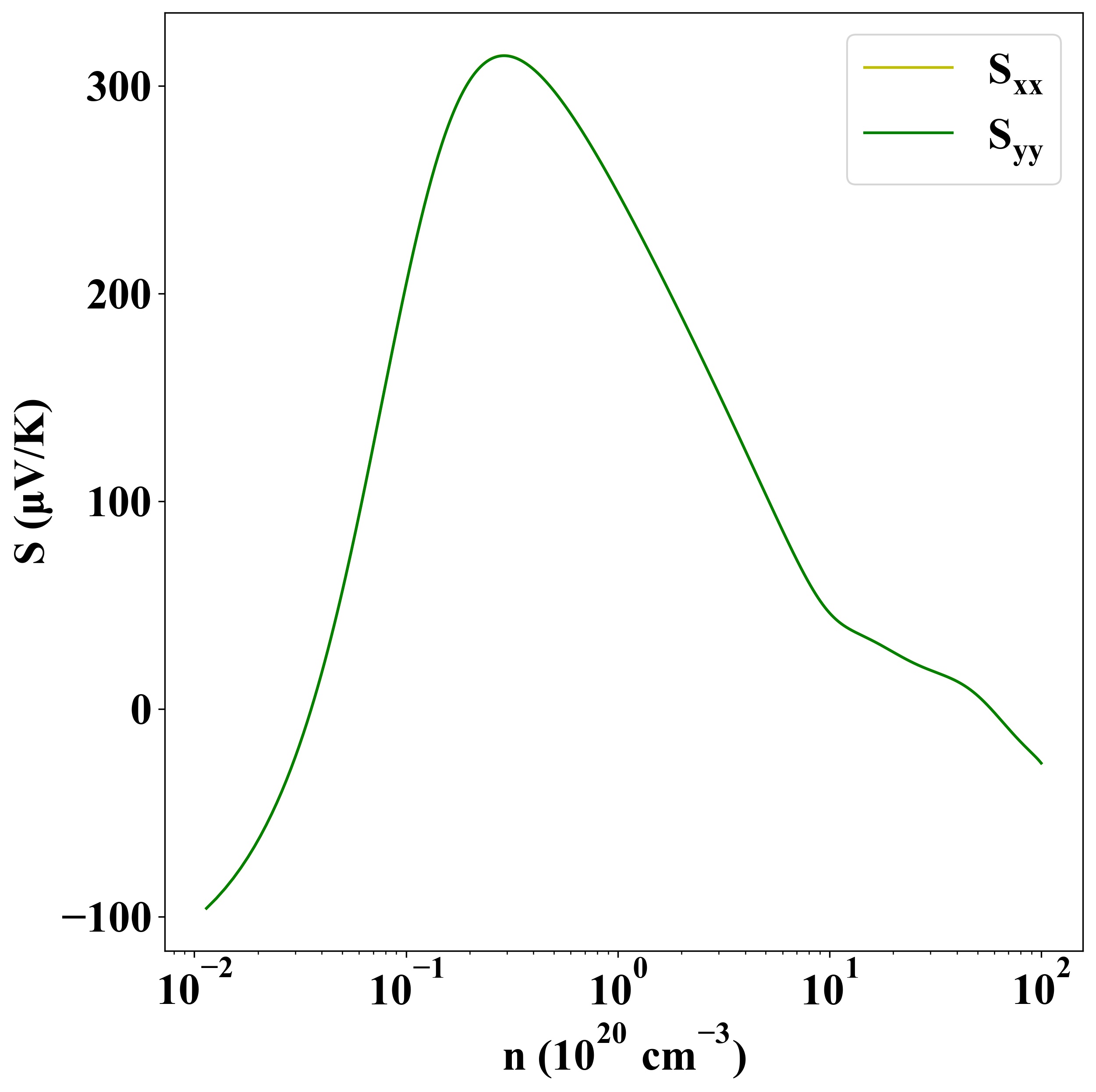
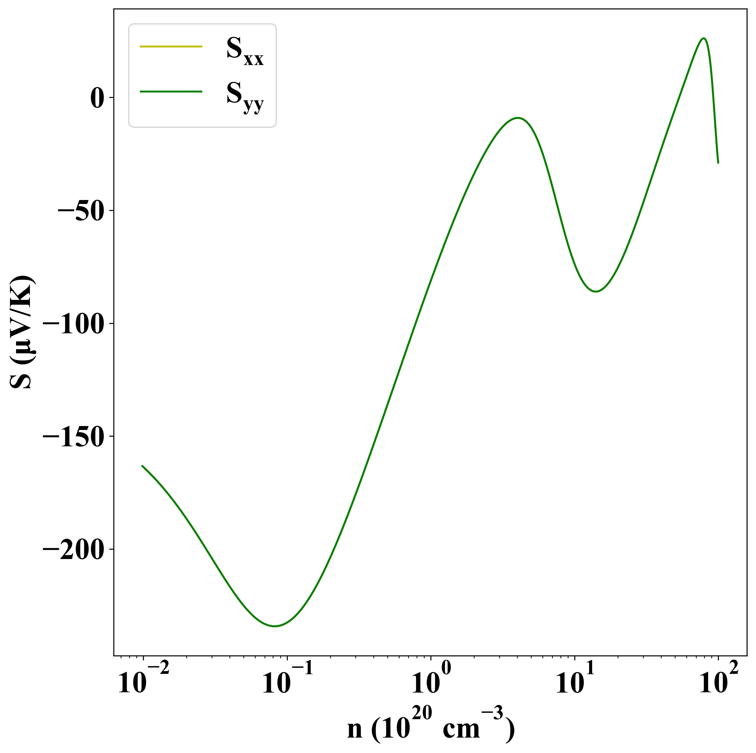
| Carrier type |
C2D (N/m) |
Edef (eV) |
μ (cm2V-1s-1) |
| x |
y |
x |
y |
x |
y |
| hole |
137.25 |
137.45 |
4.45 |
3.29 |
-20.50 |
-37.61 |
| electron |
-6.88 |
-3.53 |
28.81 |
109.89 |
| Property |
Value |
| from where |
c2db-1641 |