Ir2O2
MatHub2d-814-Ir2O2
| Property |
Value |
| Space group |
(187, 'P-6m2') |
| Crystal system |
hexagonal |
| Magnetic |
No |
| Band gap (PBE) (eV) |
0.15 |
| Free energy (eV) |
-22.701 |
| Free energy / atom (eV) |
-5.675 |
Lattice Parameters (basic)
| a, b, c (Å): | 2.893 | 2.893 | 30.000 |
| α, β, γ (°): | 90.000 | 90.000 | 120.000 |
Lattice Parameters (computed)
| a, b, c (Å): | 2.890 | 2.890 | 30.000 |
| α, β, γ (°): | 90.000 | 90.000 | 120.000 |
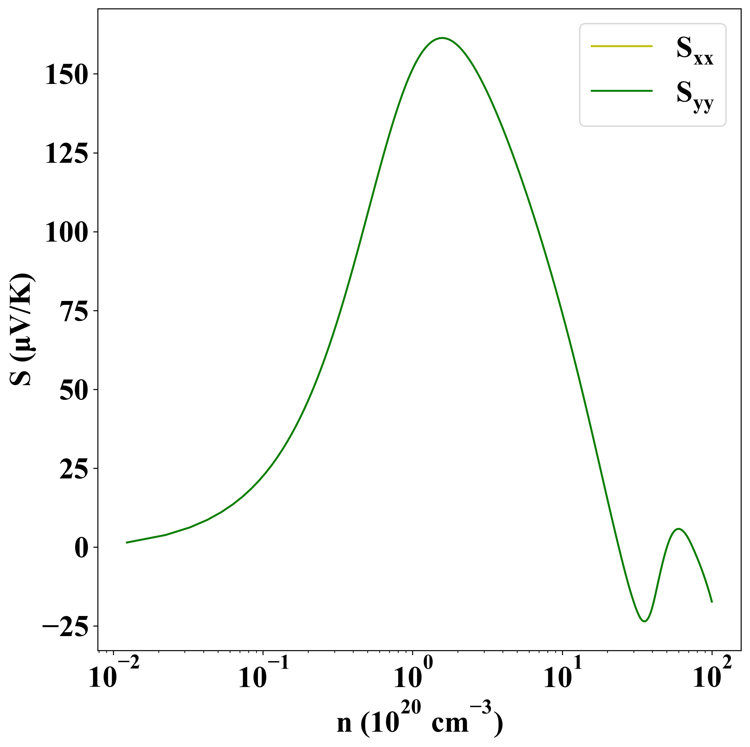
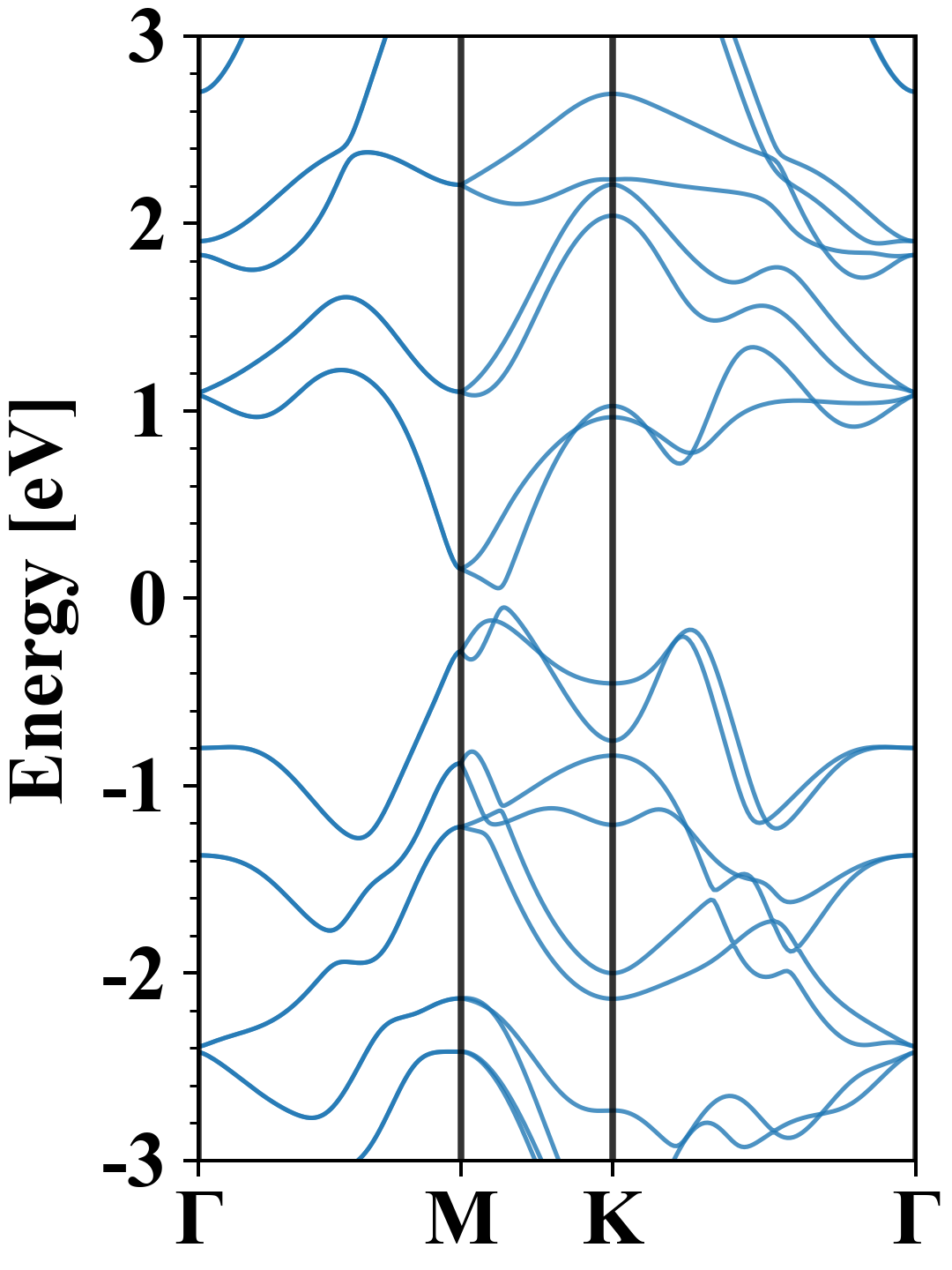
| Property |
Value |
| Band gap |
0.15 eV |
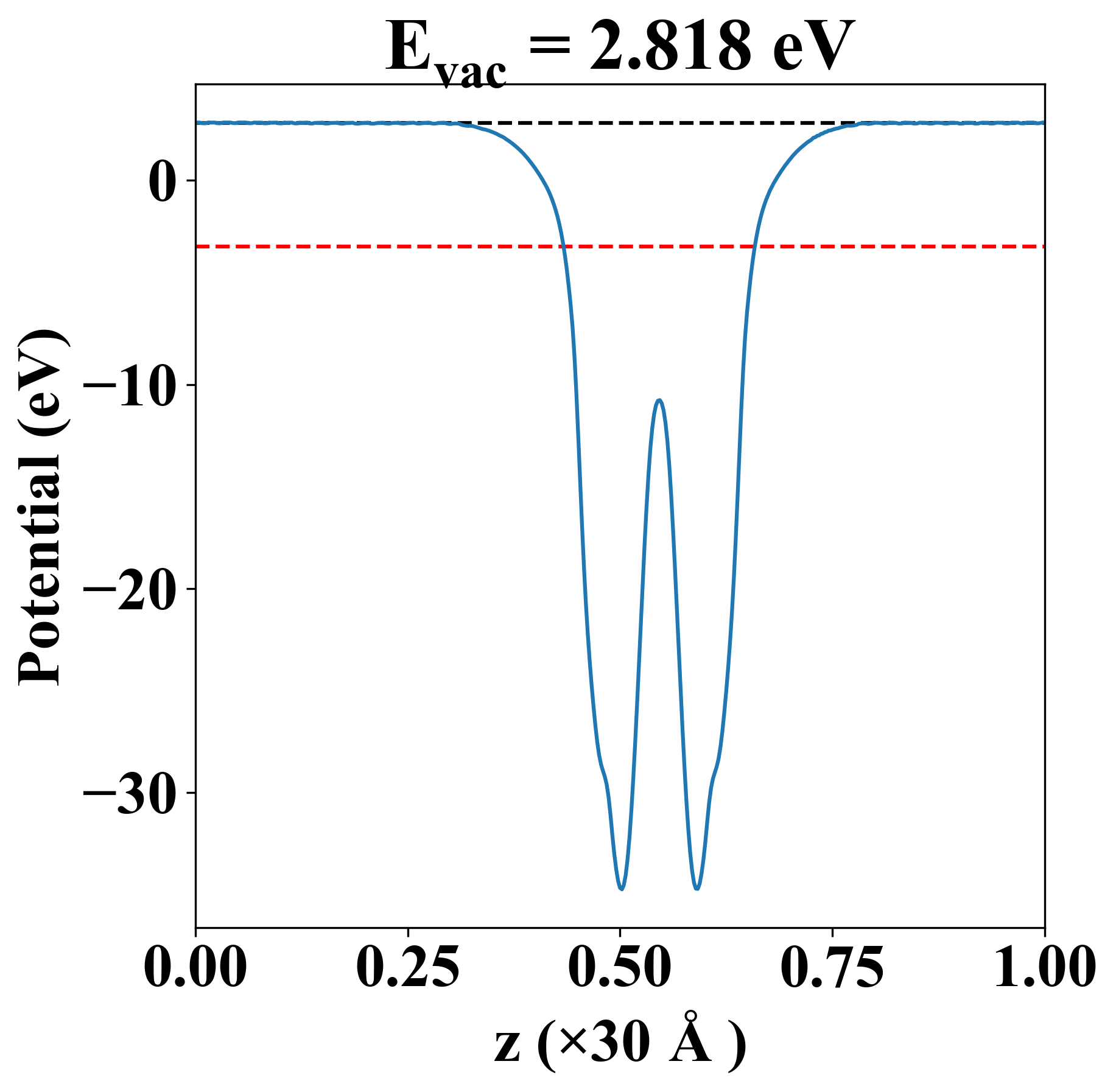
| E-fermi |
-3.234 eV |
| Vacuum level |
2.818 eV |
| VBM |
-3.302 eV |
| CBM |
-3.156 eV |
| Work function |
6.051 eV |
| Direct gap |
No |
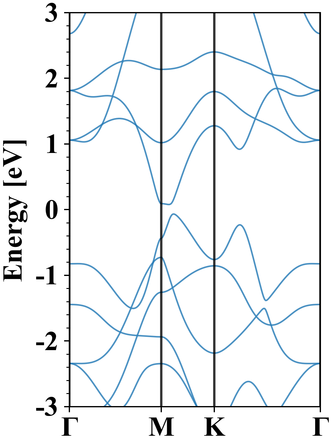
| Property |
Value |
| Band gap |
0.10 eV |
| E-fermi |
-3.247 eV |
| VBM |
-3.296 eV |
| CBM |
-3.193 eV |
| Free energy (eV) |
-23.513 |
| Free energy / atom (eV) |
-5.878 |
| Property |
Value |
| Band gap |
0.15 eV |
| E-fermi |
-3.234 eV |
| Vacuum level |
2.818 eV |
| VBM |
-3.302 eV |
| CBM |
-3.156 eV |
| Work function |
6.051 eV |
| Cij (N/m) |
xx |
yy |
xy |
| xx |
213.640 |
135.103 |
0.000 |
| yy |
135.103 |
213.640 |
-0.000 |
| xy |
0.000 |
-0.000 |
39.269 |
| Phonon mode at Γ point (THz) |
| -0.914 |
| -0.914 |
| -0.001 |
| -0.001 |
| -0.001 |
| 5.041 |
| 16.084 |
| 16.084 |
| 16.157 |
| 16.157 |
| 18.913 |
| 18.949 |
| Property |
Value |
| from where |
c2db-1640 |