Ir1Te2
MatHub2d-813-Ir1Te2
| Property |
Value |
| Space group |
(187, 'P-6m2') |
| Crystal system |
hexagonal |
| Magnetic |
No |
| Band gap (PBE) (eV) |
0.00 |
| Free energy (eV) |
-12.539 |
| Free energy / atom (eV) |
-4.180 |
Lattice Parameters (basic)
| a, b, c (Å): | 3.795 | 3.795 | 30.000 |
| α, β, γ (°): | 90.000 | 90.000 | 120.000 |
Lattice Parameters (computed)
| a, b, c (Å): | 3.759 | 3.759 | 30.000 |
| α, β, γ (°): | 90.000 | 90.000 | 120.000 |
| Property |
Value |
| Band gap |
0.00 eV |
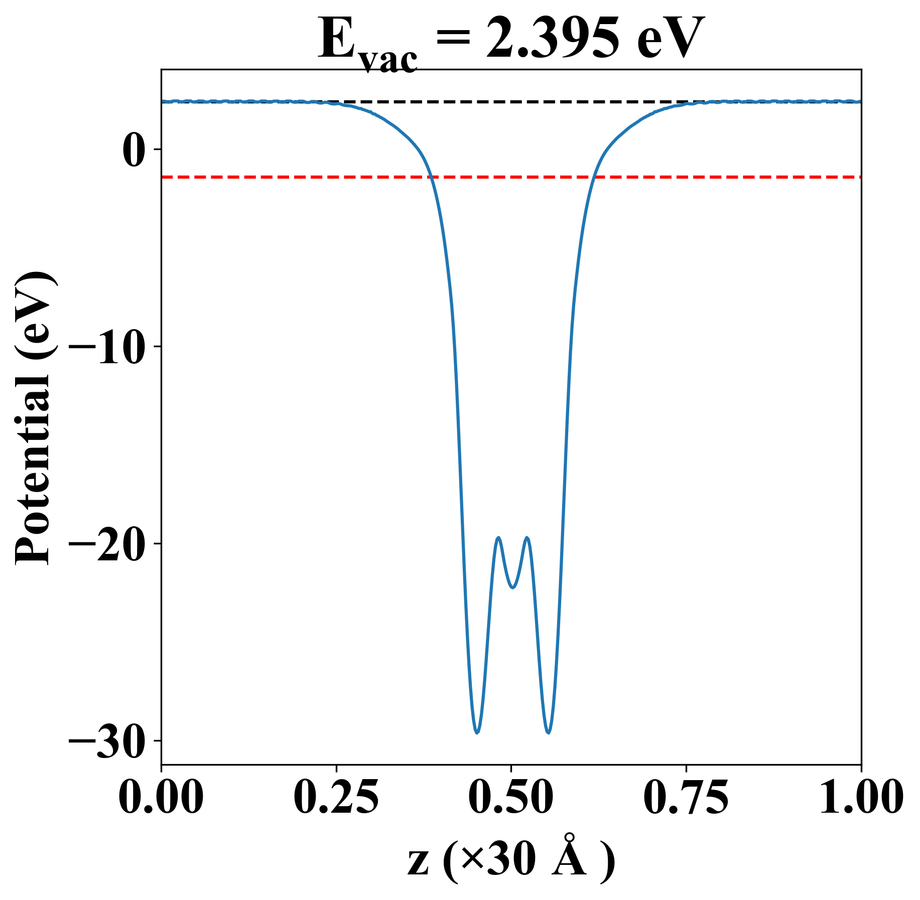
| E-fermi |
-1.429 eV |
| Vacuum level |
2.395 eV |
| VBM |
-1.430 eV |
| CBM |
-1.428 eV |
| Work function |
3.824 eV |
| Direct gap |
No |
| Property |
Value |
| Band gap |
0.00 eV |
| E-fermi |
-1.429 eV |
| Vacuum level |
2.395 eV |
| VBM |
-1.430 eV |
| CBM |
-1.428 eV |
| Work function |
3.824 eV |
| Cij (N/m) |
xx |
yy |
xy |
| xx |
57.323 |
27.175 |
0.000 |
| yy |
27.175 |
57.323 |
-0.000 |
| xy |
0.000 |
-0.000 |
15.074 |
| Phonon mode at Γ point (THz) |
| -0.009 |
| -0.001 |
| -0.001 |
| 2.622 |
| 3.129 |
| 3.129 |
| 5.103 |
| 5.220 |
| 5.220 |
| Property |
Value |
| from where |
c2db-517 |