Ir1Te2
MatHub2d-812-Ir1Te2
| Property |
Value |
| Space group |
(164, 'P-3m1') |
| Crystal system |
hexagonal |
| Magnetic |
|
| Band gap (PBE) (eV) |
0.00 |
| Free energy (eV) |
-13.052 |
| Free energy / atom (eV) |
-4.351 |
Lattice Parameters (basic)
| a, b, c (Å): | 3.870 | 3.870 | 30.000 |
| α, β, γ (°): | 90.000 | 90.000 | 120.000 |
Lattice Parameters (computed)
| a, b, c (Å): | 3.831 | 3.831 | 30.000 |
| α, β, γ (°): | 90.000 | 90.000 | 120.000 |
| Property |
Value |
| Band gap |
0.00 eV |
| E-fermi |
-2.474 eV |
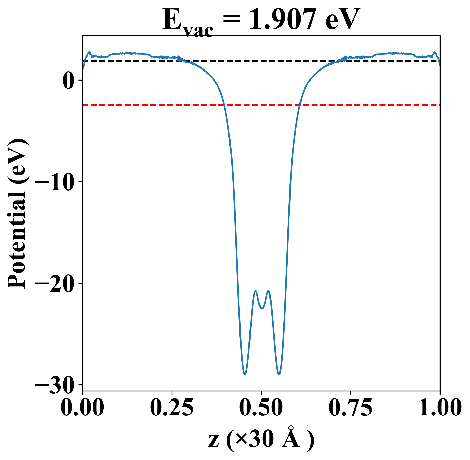
| Vacuum level |
1.907 eV |
| VBM |
-2.476 eV |
| CBM |
-2.474 eV |
| Work function |
4.381 eV |
| Direct gap |
No |
| Property |
Value |
| Band gap |
0.00 eV |
| E-fermi |
-2.474 eV |
| Vacuum level |
1.907 eV |
| VBM |
-2.476 eV |
| CBM |
-2.474 eV |
| Work function |
4.381 eV |
| Cij (N/m) |
xx |
yy |
xy |
| xx |
49.026 |
20.393 |
-0.000 |
| yy |
20.393 |
49.026 |
0.000 |
| xy |
-0.000 |
0.000 |
14.316 |
| Phonon mode at Γ point (THz) |
| -0.003 |
| -0.002 |
| -0.002 |
| 3.436 |
| 3.624 |
| 3.624 |
| 4.069 |
| 4.069 |
| 4.637 |
| Property |
Value |
| from where |
JVASP-5953 |