Ir1Se2
MatHub2d-811-Ir1Se2
| Property |
Value |
| Space group |
(187, 'P-6m2') |
| Crystal system |
hexagonal |
| Magnetic |
No |
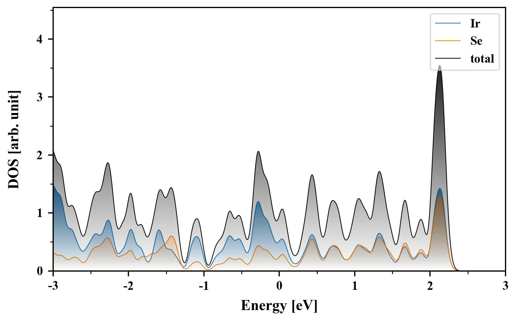
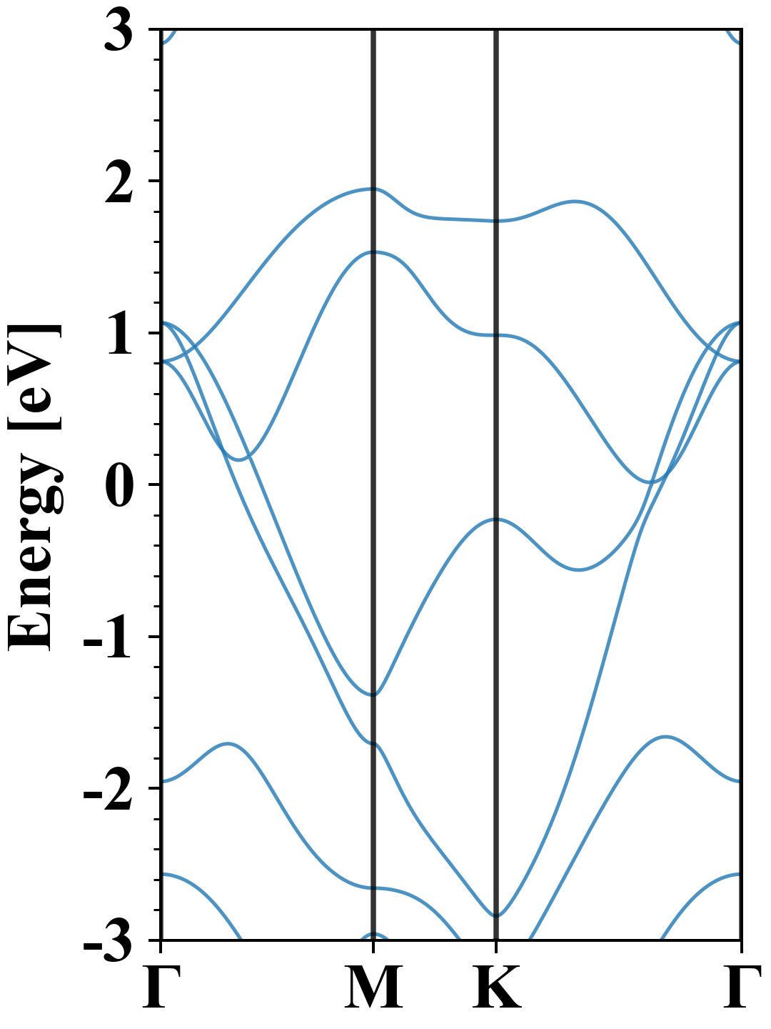
| Band gap (PBE) (eV) |
0.00 |
| Free energy (eV) |
-13.068 |
| Free energy / atom (eV) |
-4.356 |
Lattice Parameters (basic)
| a, b, c (Å): | 3.558 | 3.558 | 30.000 |
| α, β, γ (°): | 90.000 | 90.000 | 120.000 |
Lattice Parameters (computed)
| a, b, c (Å): | 3.531 | 3.531 | 30.000 |
| α, β, γ (°): | 90.000 | 90.000 | 120.000 |
| Property |
Value |
| Band gap |
0.00 eV |
| E-fermi |
-2.390 eV |
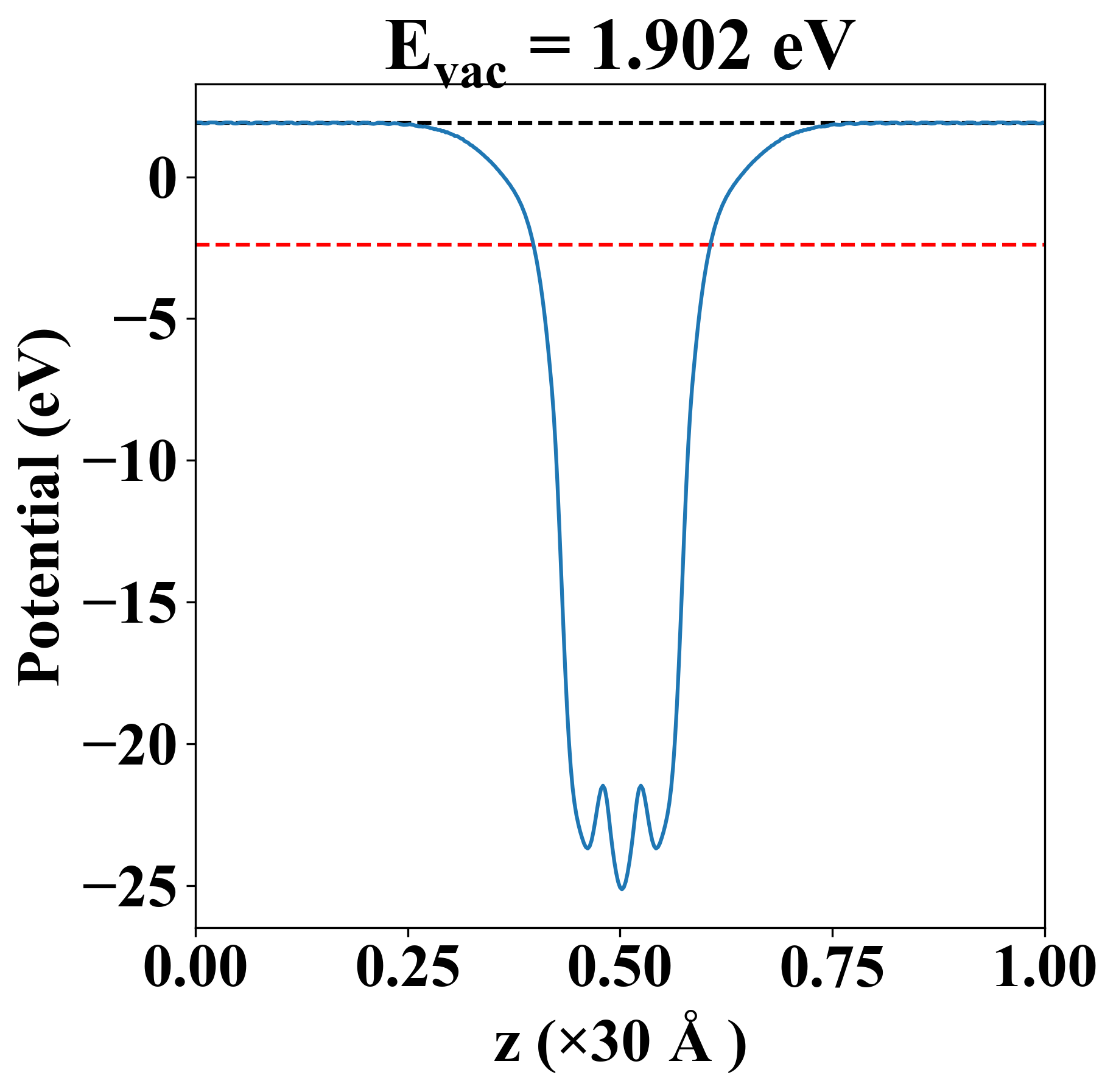
| Vacuum level |
1.902 eV |
| VBM |
-2.397 eV |
| CBM |
-2.384 eV |
| Work function |
4.292 eV |
| Direct gap |
No |
| Property |
Value |
| Band gap |
0.00 eV |
| E-fermi |
-2.390 eV |
| Vacuum level |
1.902 eV |
| VBM |
-2.397 eV |
| CBM |
-2.384 eV |
| Work function |
4.292 eV |
| Cij (N/m) |
xx |
yy |
xy |
| xx |
54.028 |
29.963 |
-0.000 |
| yy |
29.963 |
54.028 |
0.000 |
| xy |
-0.000 |
0.000 |
12.032 |
| Phonon mode at Γ point (THz) |
| -3.537 |
| -0.001 |
| -0.001 |
| 0.021 |
| 3.406 |
| 3.406 |
| 5.550 |
| 5.550 |
| 6.427 |
| Property |
Value |
| from where |
c2db-515 |