Ir1Se2
MatHub2d-810-Ir1Se2
| Property |
Value |
| Space group |
(164, 'P-3m1') |
| Crystal system |
hexagonal |
| Magnetic |
Yes |
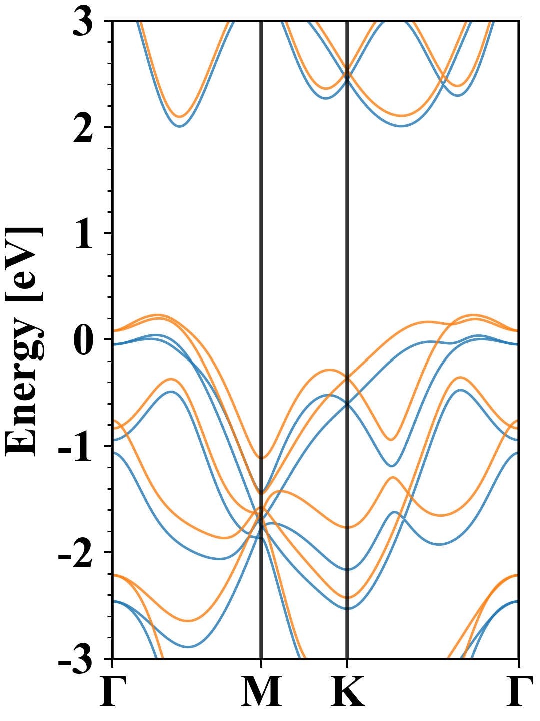
| Band gap (PBE) (eV) |
0.00 |
| Free energy (eV) |
-13.788 |
| Free energy / atom (eV) |
-4.596 |
Lattice Parameters (basic)
| a, b, c (Å): | 3.709 | 3.709 | 30.000 |
| α, β, γ (°): | 90.000 | 90.000 | 120.000 |
Lattice Parameters (computed)
| a, b, c (Å): | 3.643 | 3.643 | 30.000 |
| α, β, γ (°): | 90.000 | 90.000 | 120.000 |
| Property |
Value |
| Band gap |
0.00 eV |
| E-fermi |
-3.678 eV |
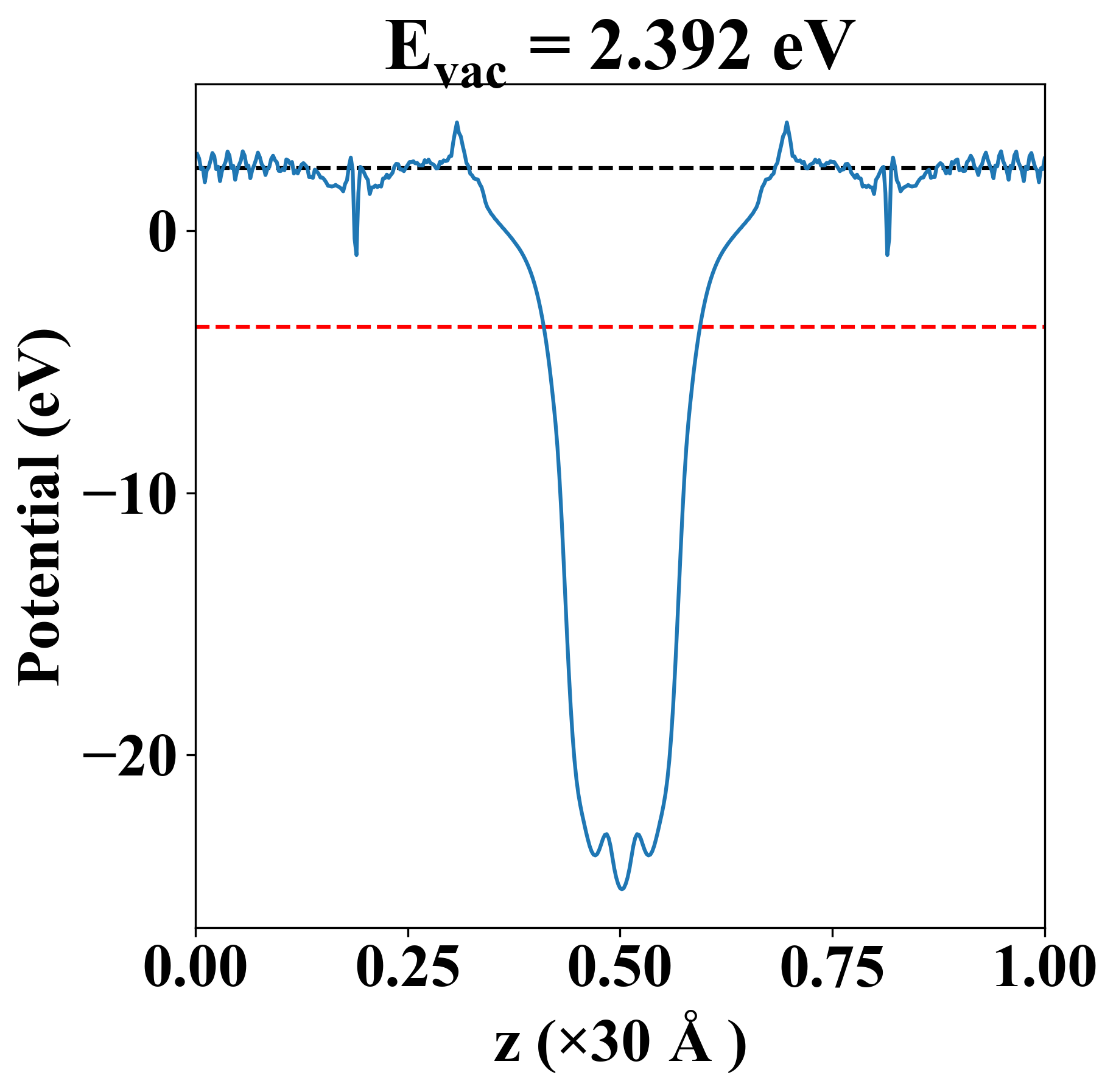
| Vacuum level |
2.392 eV |
| VBM |
-3.679 eV |
| CBM |
-3.678 eV |
| Work function |
6.070 eV |
| Direct gap |
No |
| Property |
Value |
| Band gap |
0.00 eV |
| E-fermi |
-3.678 eV |
| Vacuum level |
2.392 eV |
| VBM |
-3.679 eV |
| CBM |
-3.678 eV |
| Work function |
6.070 eV |
| Cij (N/m) |
xx |
yy |
xy |
| xx |
46.999 |
34.931 |
-0.000 |
| yy |
34.931 |
46.999 |
0.000 |
| xy |
-0.000 |
0.000 |
6.034 |
| Phonon mode at Γ point (THz) |
| -0.004 |
| -0.003 |
| -0.003 |
| 3.853 |
| 4.472 |
| 4.472 |
| 5.066 |
| 5.066 |
| 5.984 |
| Property |
Value |
| from where |
c2db-514 |