Ir1S2
MatHub2d-809-Ir1S2
| Property |
Value |
| Space group |
(187, 'P-6m2') |
| Crystal system |
hexagonal |
| Magnetic |
No |
| Band gap (PBE) (eV) |
0.00 |
| Free energy (eV) |
-14.100 |
| Free energy / atom (eV) |
-4.700 |
Lattice Parameters (basic)
| a, b, c (Å): | 3.399 | 3.399 | 30.000 |
| α, β, γ (°): | 90.000 | 90.000 | 120.000 |
Lattice Parameters (computed)
| a, b, c (Å): | 3.380 | 3.380 | 30.000 |
| α, β, γ (°): | 90.000 | 90.000 | 120.000 |
| Property |
Value |
| Band gap |
0.00 eV |
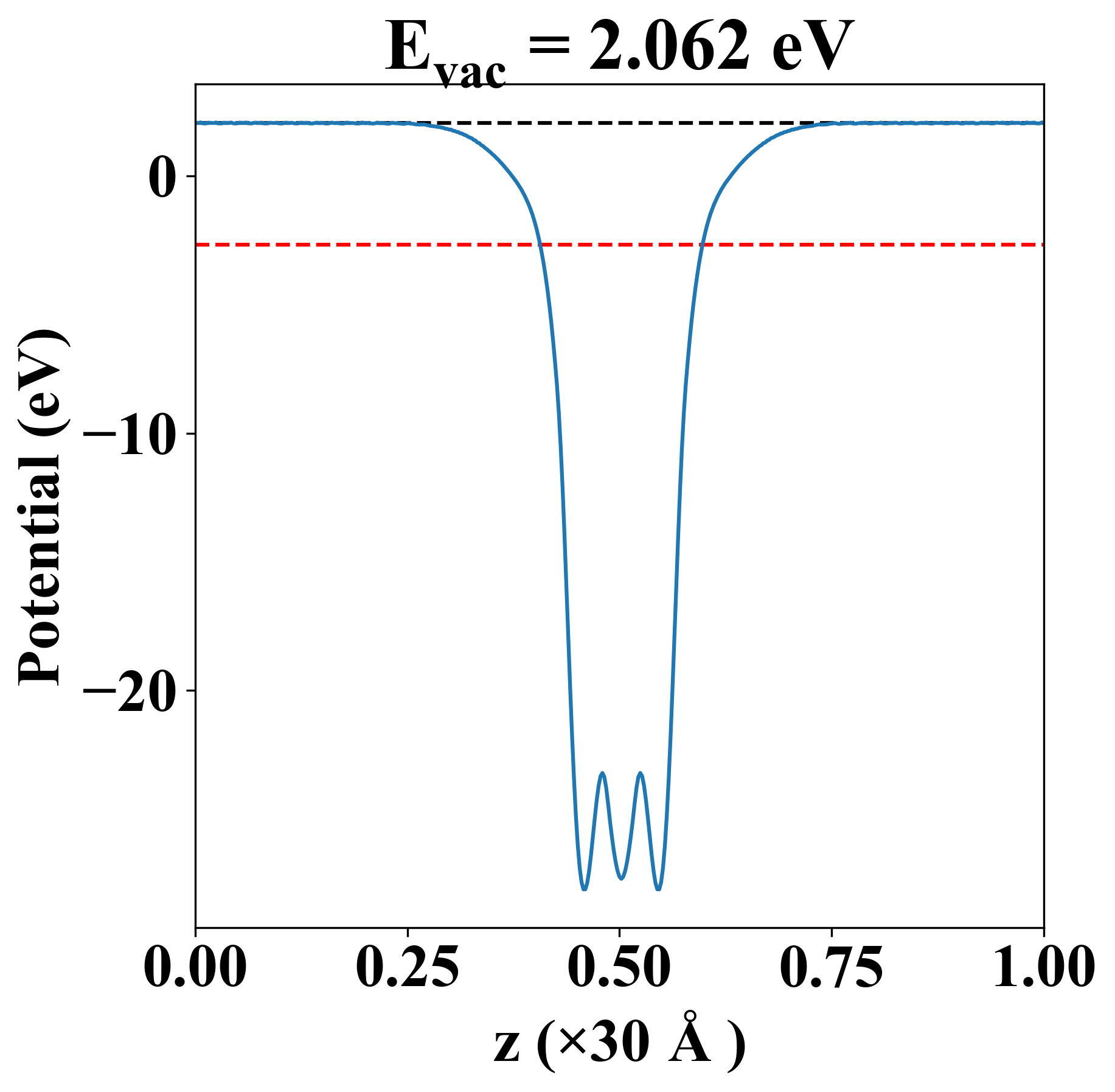
| E-fermi |
-2.659 eV |
| Vacuum level |
2.062 eV |
| VBM |
-2.678 eV |
| CBM |
-2.655 eV |
| Work function |
4.720 eV |
| Direct gap |
No |
| Property |
Value |
| Band gap |
0.00 eV |
| E-fermi |
-2.659 eV |
| Vacuum level |
2.062 eV |
| VBM |
-2.678 eV |
| CBM |
-2.655 eV |
| Work function |
4.720 eV |
| Cij (N/m) |
xx |
yy |
xy |
| xx |
63.449 |
43.545 |
-0.000 |
| yy |
43.545 |
63.449 |
0.000 |
| xy |
-0.000 |
0.000 |
9.952 |
| Phonon mode at Γ point (THz) |
| -7.202 |
| 0.001 |
| 0.001 |
| 0.027 |
| 4.113 |
| 4.113 |
| 6.270 |
| 6.270 |
| 10.488 |
| Property |
Value |
| from where |
c2db-513 |