Ir1S2
MatHub2d-808-Ir1S2
| Property |
Value |
| Space group |
(164, 'P-3m1') |
| Crystal system |
hexagonal |
| Magnetic |
Yes |
| Band gap (PBE) (eV) |
0.00 |
| Free energy (eV) |
-15.102 |
| Free energy / atom (eV) |
-5.034 |
Lattice Parameters (basic)
| a, b, c (Å): | 3.558 | 3.558 | 30.000 |
| α, β, γ (°): | 90.000 | 90.000 | 120.000 |
Lattice Parameters (computed)
| a, b, c (Å): | 3.513 | 3.513 | 30.000 |
| α, β, γ (°): | 90.000 | 90.000 | 120.000 |
| Property |
Value |
| Band gap |
0.00 eV |
| E-fermi |
-4.154 eV |
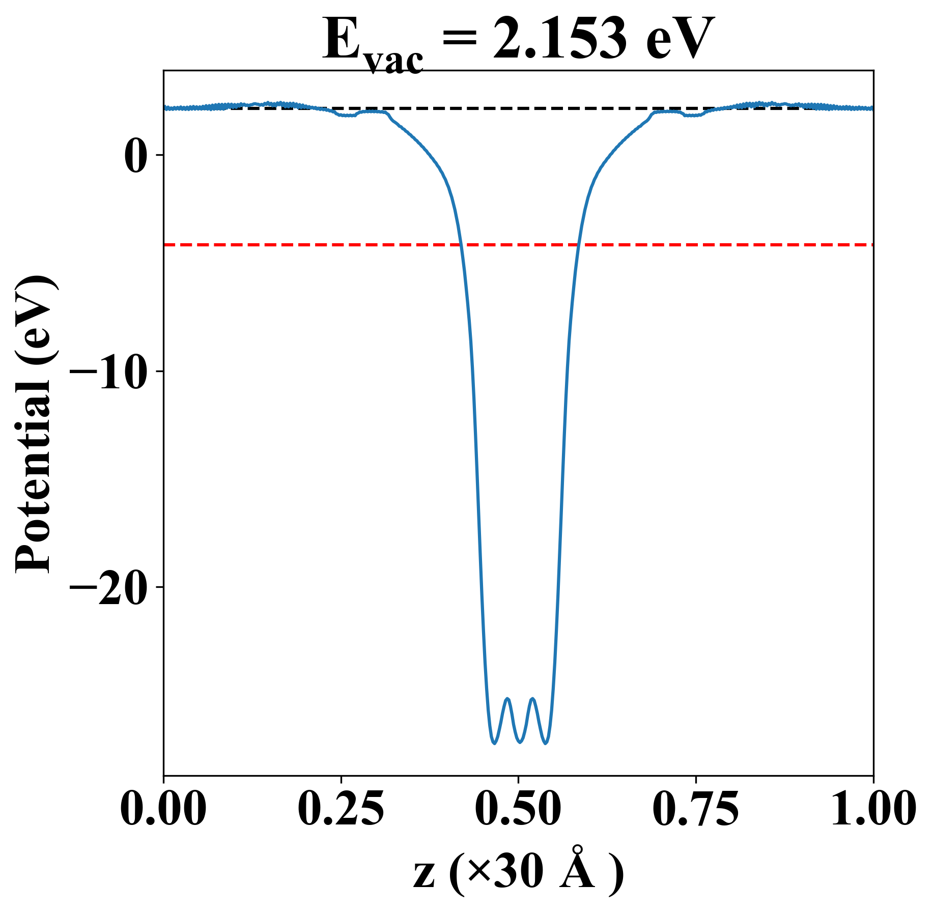
| Vacuum level |
2.153 eV |
| VBM |
-4.155 eV |
| CBM |
-4.153 eV |
| Work function |
6.307 eV |
| Direct gap |
No |
| Property |
Value |
| Band gap |
0.00 eV |
| E-fermi |
-4.154 eV |
| Vacuum level |
2.153 eV |
| VBM |
-4.155 eV |
| CBM |
-4.153 eV |
| Work function |
6.307 eV |
| Cij (N/m) |
xx |
yy |
xy |
| xx |
75.110 |
37.950 |
-0.000 |
| yy |
37.950 |
75.110 |
0.000 |
| xy |
-0.000 |
0.000 |
18.580 |
| Phonon mode at Γ point (THz) |
| -0.006 |
| -0.001 |
| -0.001 |
| 4.402 |
| 7.892 |
| 7.892 |
| 8.411 |
| 8.411 |
| 9.708 |
| Property |
Value |
| from where |
c2db-512 |