Ir1O2
MatHub2d-807-Ir1O2
| Property |
Value |
| Space group |
(187, 'P-6m2') |
| Crystal system |
hexagonal |
| Magnetic |
Yes |
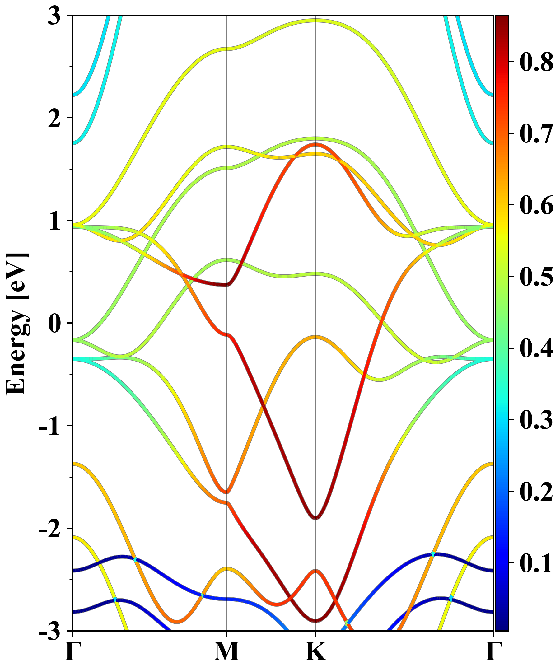
| Band gap (PBE) (eV) |
0.00 |
| Free energy (eV) |
-15.535 |
| Free energy / atom (eV) |
-5.178 |
Lattice Parameters (basic)
| a, b, c (Å): | 2.967 | 2.967 | 30.000 |
| α, β, γ (°): | 90.000 | 90.000 | 120.000 |
Lattice Parameters (computed)
| a, b, c (Å): | 2.968 | 2.968 | 30.000 |
| α, β, γ (°): | 90.000 | 90.000 | 120.000 |
| Property |
Value |
| Band gap |
0.00 eV |
| E-fermi |
-5.069 eV |
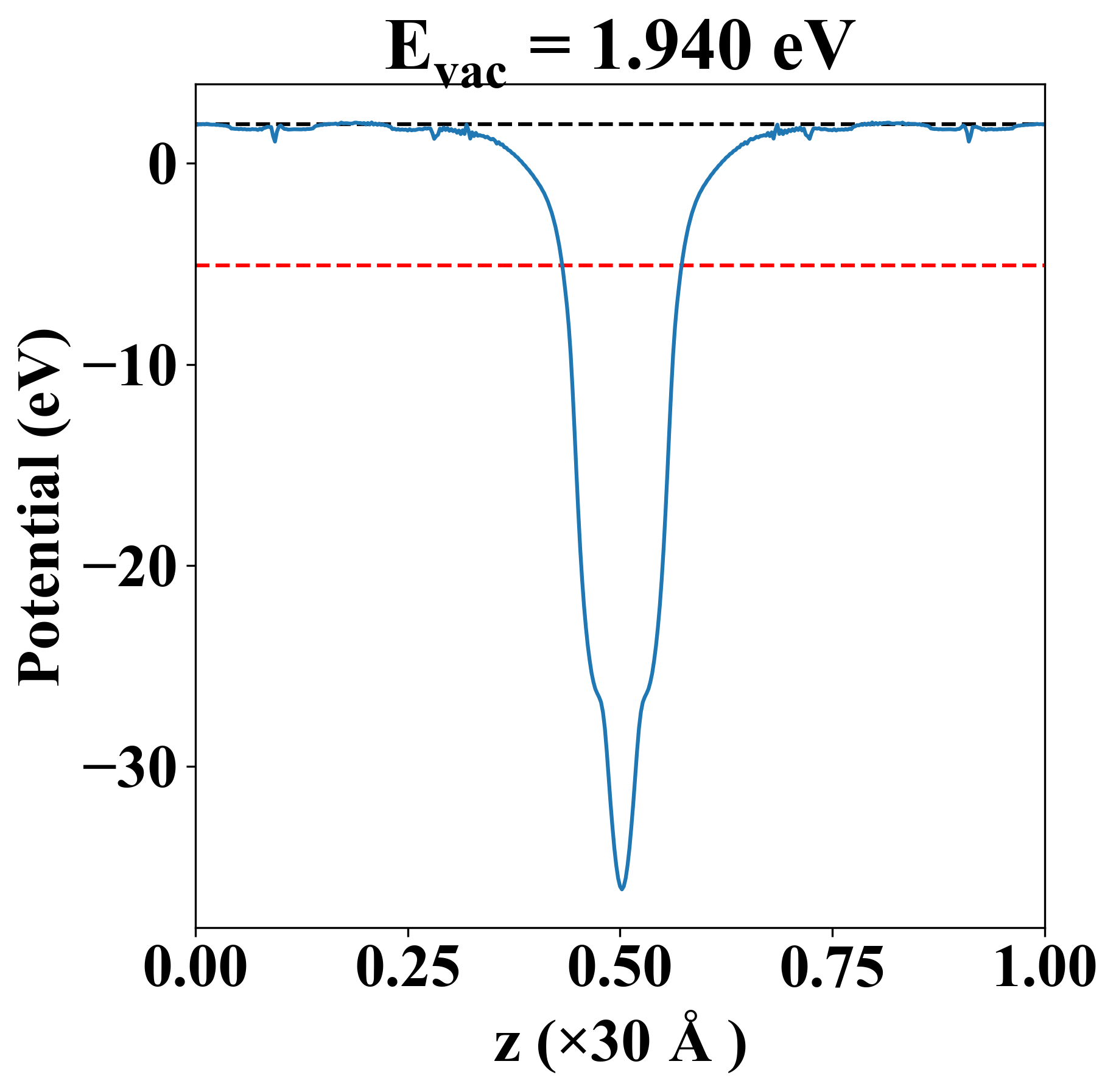
| Vacuum level |
1.940 eV |
| VBM |
-5.072 eV |
| CBM |
-5.069 eV |
| Work function |
7.009 eV |
| Direct gap |
No |
| Property |
Value |
| Band gap |
0.00 eV |
| E-fermi |
-5.069 eV |
| Vacuum level |
1.940 eV |
| VBM |
-5.072 eV |
| CBM |
-5.069 eV |
| Work function |
7.009 eV |
| Cij (N/m) |
xx |
yy |
xy |
| xx |
80.495 |
104.060 |
0.000 |
| yy |
104.060 |
80.495 |
0.000 |
| xy |
0.000 |
0.000 |
-11.782 |
| Phonon mode at Γ point (THz) |
| -17.917 |
| -17.917 |
| -12.844 |
| -12.844 |
| -1.501 |
| 0.043 |
| 0.043 |
| 0.045 |
| 16.207 |
| Property |
Value |
| from where |
c2db-511 |