Ir1O2
MatHub2d-806-Ir1O2
| Property |
Value |
| Space group |
(164, 'P-3m1') |
| Crystal system |
hexagonal |
| Magnetic |
Yes |
| Band gap (PBE) (eV) |
0.00 |
| Free energy (eV) |
-17.901 |
| Free energy / atom (eV) |
-5.967 |
Lattice Parameters (basic)
| a, b, c (Å): | 3.141 | 3.141 | 30.000 |
| α, β, γ (°): | 90.000 | 90.000 | 120.000 |
Lattice Parameters (computed)
| a, b, c (Å): | 3.133 | 3.133 | 30.000 |
| α, β, γ (°): | 90.000 | 90.000 | 120.000 |
| Property |
Value |
| Band gap |
0.00 eV |
| E-fermi |
-5.260 eV |
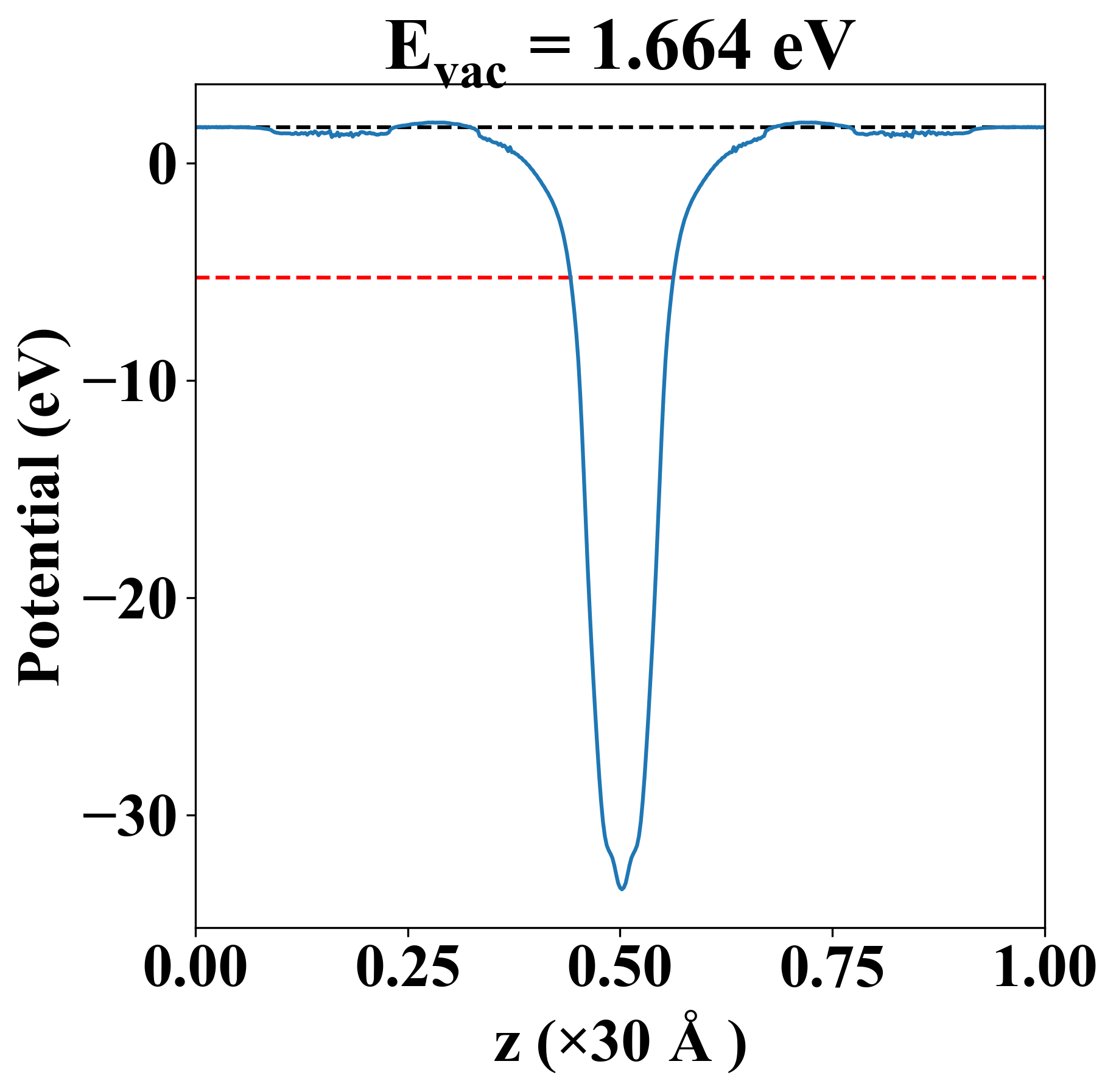
| Vacuum level |
1.664 eV |
| VBM |
-5.261 eV |
| CBM |
-5.256 eV |
| Work function |
6.924 eV |
| Direct gap |
No |
| Property |
Value |
| Band gap |
0.00 eV |
| E-fermi |
-5.260 eV |
| Vacuum level |
1.664 eV |
| VBM |
-5.261 eV |
| CBM |
-5.256 eV |
| Work function |
6.924 eV |
| Cij (N/m) |
xx |
yy |
xy |
| xx |
147.771 |
53.432 |
-0.000 |
| yy |
53.432 |
147.771 |
0.000 |
| xy |
-0.000 |
0.000 |
47.170 |
| Phonon mode at Γ point (THz) |
| -0.008 |
| -0.001 |
| -0.001 |
| 12.090 |
| 15.076 |
| 15.076 |
| 15.248 |
| 16.462 |
| 16.462 |
| Property |
Value |
| from where |
c2db-510 |