In2Te2
MatHub2d-805-In2Te2
| Property |
Value |
| Space group |
(187, 'P-6m2') |
| Crystal system |
hexagonal |
| Magnetic |
No |
| Band gap (PBE) (eV) |
1.37 |
| Free energy (eV) |
-12.560 |
| Free energy / atom (eV) |
-3.140 |
Lattice Parameters (basic)
| a, b, c (Å): | 4.370 | 4.370 | 30.000 |
| α, β, γ (°): | 90.000 | 90.000 | 120.000 |
Lattice Parameters (computed)
| a, b, c (Å): | 4.370 | 4.370 | 30.000 |
| α, β, γ (°): | 90.000 | 90.000 | 120.000 |
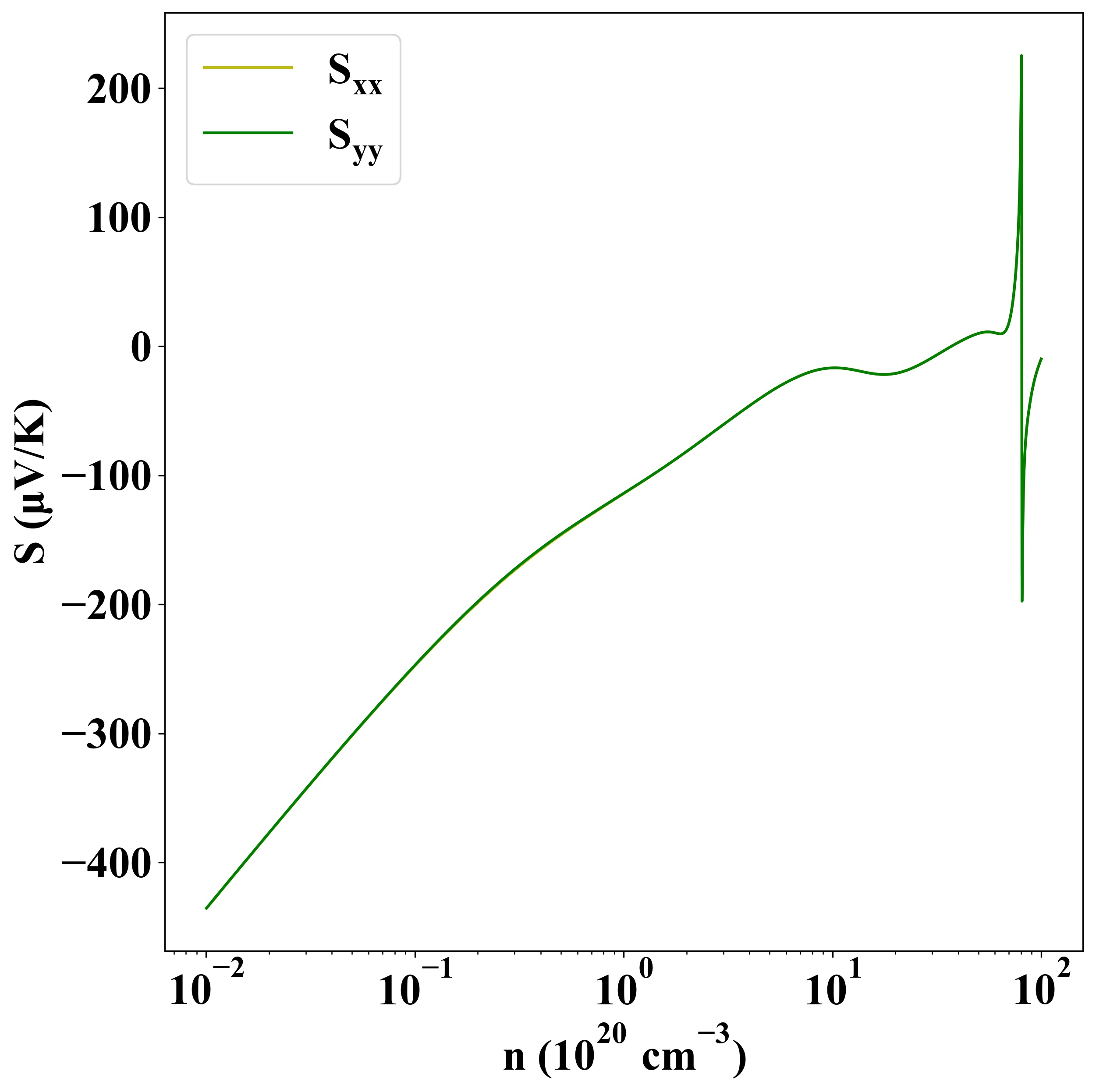
| Property |
Value |
| Band gap |
1.37 eV |
| E-fermi |
-2.421 eV |
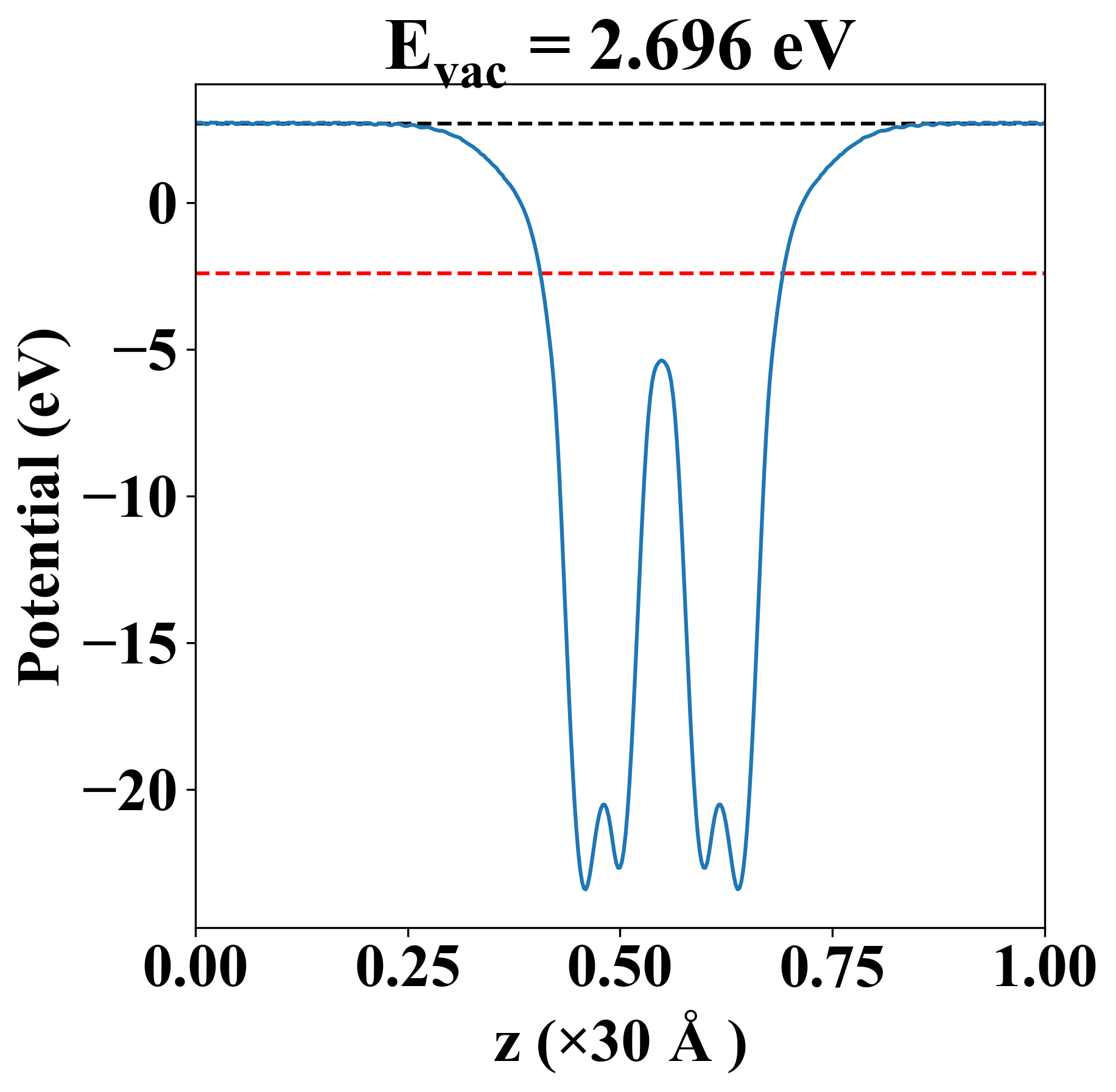
| Vacuum level |
2.696 eV |
| VBM |
-2.653 eV |
| CBM |
-1.285 eV |
| Work function |
5.117 eV |
| Direct gap |
No |
| Property |
Value |
| Band gap |
1.27 eV |
| E-fermi |
-2.280 eV |
| VBM |
-2.549 eV |
| CBM |
-1.277 eV |
| Free energy (eV) |
-12.835 |
| Free energy / atom (eV) |
-3.209 |
| Property |
Value |
| Band gap |
1.37 eV |
| E-fermi |
-2.421 eV |
| Vacuum level |
2.696 eV |
| VBM |
-2.653 eV |
| CBM |
-1.285 eV |
| Work function |
5.117 eV |
| Cij (N/m) |
xx |
yy |
xy |
| xx |
41.669 |
10.627 |
0.000 |
| yy |
10.627 |
41.669 |
-0.000 |
| xy |
0.000 |
-0.000 |
15.521 |
| Phonon mode at Γ point (THz) |
| -0.002 |
| -0.002 |
| -0.002 |
| 0.942 |
| 0.942 |
| 2.409 |
| 3.965 |
| 3.965 |
| 4.100 |
| 4.100 |
| 4.611 |
| 5.874 |
| Property |
Value |
| from where |
c2db-1639 |