In2Te2
MatHub2d-804-In2Te2
| Property |
Value |
| Space group |
(164, 'P-3m1') |
| Crystal system |
hexagonal |
| Magnetic |
No |
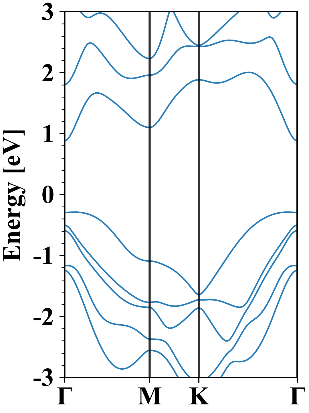
| Band gap (PBE) (eV) |
1.25 |
| Free energy (eV) |
-12.546 |
| Free energy / atom (eV) |
-3.137 |
Lattice Parameters (basic)
| a, b, c (Å): | 4.379 | 4.379 | 30.000 |
| α, β, γ (°): | 90.000 | 90.000 | 120.000 |
Lattice Parameters (computed)
| a, b, c (Å): | 4.385 | 4.385 | 30.000 |
| α, β, γ (°): | 90.000 | 90.000 | 120.000 |
| Property |
Value |
| Band gap |
1.25 eV |
| E-fermi |
-2.416 eV |
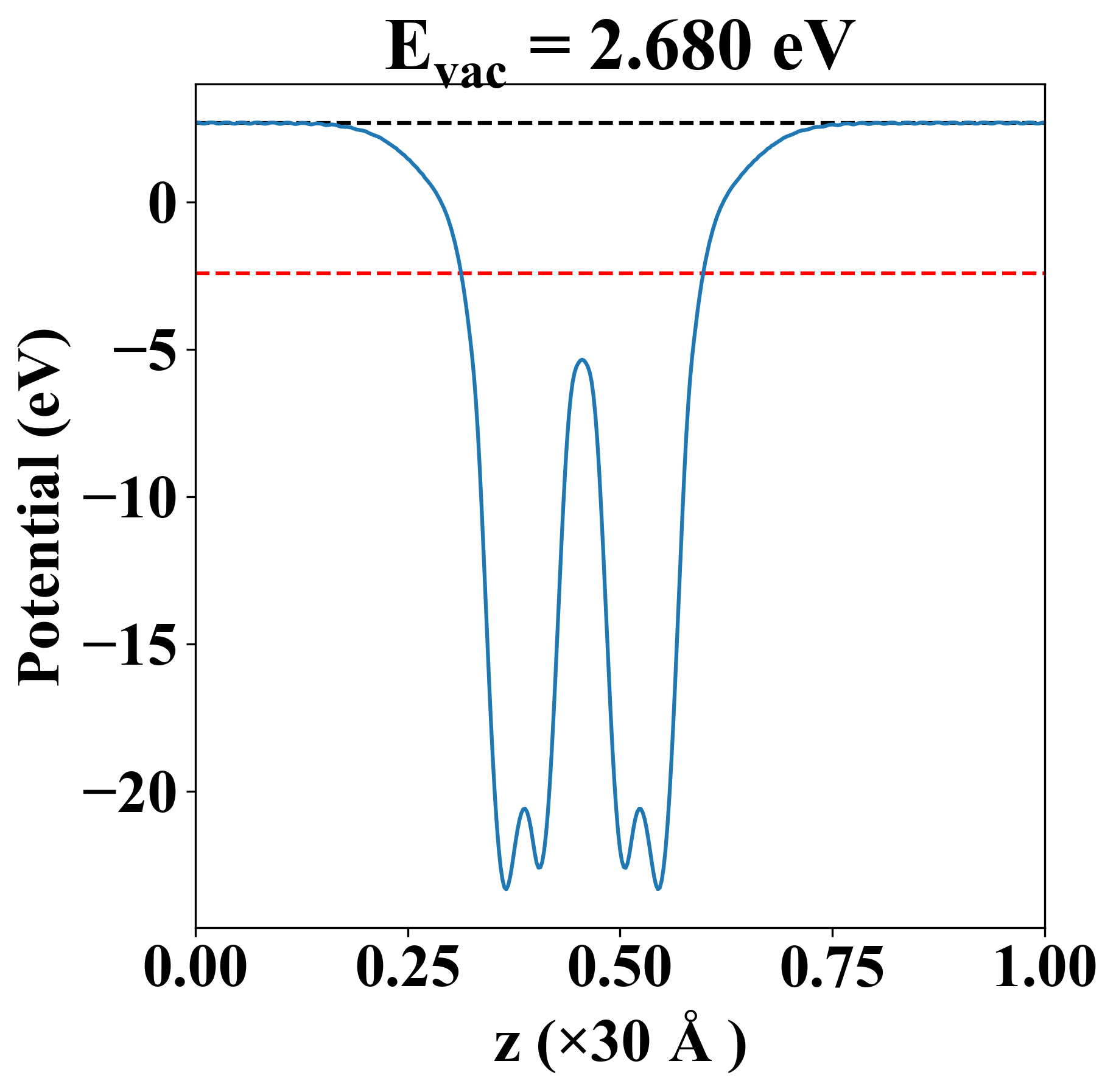
| Vacuum level |
2.680 eV |
| VBM |
-2.651 eV |
| CBM |
-1.399 eV |
| Work function |
5.096 eV |
| Direct gap |
No |
| Property |
Value |
| Band gap |
1.17 eV |
| E-fermi |
-2.266 eV |
| VBM |
-2.555 eV |
| CBM |
-1.384 eV |
| Free energy (eV) |
-12.825 |
| Free energy / atom (eV) |
-3.206 |
| Property |
Value |
| Band gap |
1.25 eV |
| E-fermi |
-2.416 eV |
| Vacuum level |
2.680 eV |
| VBM |
-2.651 eV |
| CBM |
-1.399 eV |
| Work function |
5.096 eV |
| Cij (N/m) |
xx |
yy |
xy |
| xx |
40.122 |
10.642 |
-0.000 |
| yy |
10.642 |
40.122 |
0.000 |
| xy |
-0.000 |
0.000 |
14.740 |
| Phonon mode at Γ point (THz) |
| -0.003 |
| -0.003 |
| -0.001 |
| 0.955 |
| 0.955 |
| 2.377 |
| 3.951 |
| 3.951 |
| 4.061 |
| 4.061 |
| 4.569 |
| 5.851 |
| Property |
Value |
| from where |
sz.tsinghua-53 |