In2Se2
MatHub2d-802-In2Se2
| Property |
Value |
| Space group |
(187, 'P-6m2') |
| Crystal system |
hexagonal |
| Magnetic |
No |
| Band gap (PBE) (eV) |
1.43 |
| Free energy (eV) |
-14.045 |
| Free energy / atom (eV) |
-3.511 |
Lattice Parameters (basic)
| a, b, c (Å): | 4.101 | 4.101 | 30.000 |
| α, β, γ (°): | 90.000 | 90.000 | 120.000 |
Lattice Parameters (computed)
| a, b, c (Å): | 4.072 | 4.072 | 30.000 |
| α, β, γ (°): | 90.000 | 90.000 | 120.000 |
| Property |
Value |
| Band gap |
1.43 eV |
| E-fermi |
-3.140 eV |
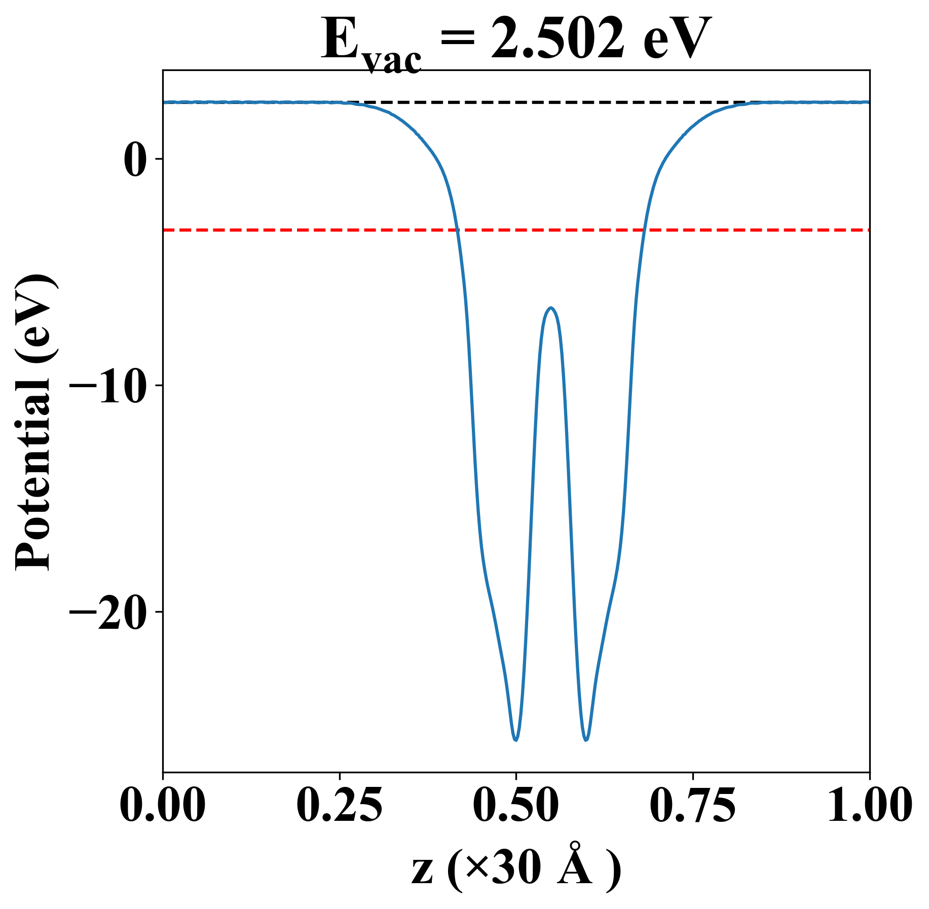
| Vacuum level |
2.502 eV |
| VBM |
-3.404 eV |
| CBM |
-1.972 eV |
| Work function |
5.643 eV |
| Direct gap |
No |
| Property |
Value |
| Band gap |
1.41 eV |
| E-fermi |
-3.082 eV |
| VBM |
-3.379 eV |
| CBM |
-1.969 eV |
| Free energy (eV) |
-14.157 |
| Free energy / atom (eV) |
-3.539 |
| Property |
Value |
| Band gap |
1.43 eV |
| E-fermi |
-3.140 eV |
| Vacuum level |
2.502 eV |
| VBM |
-3.404 eV |
| CBM |
-1.972 eV |
| Work function |
5.643 eV |
| Cij (N/m) |
xx |
yy |
xy |
| xx |
50.247 |
13.855 |
-0.000 |
| yy |
13.855 |
50.247 |
-0.000 |
| xy |
-0.000 |
-0.000 |
18.196 |
| Phonon mode at Γ point (THz) |
| -0.011 |
| -0.011 |
| -0.006 |
| 1.134 |
| 1.134 |
| 3.014 |
| 4.901 |
| 4.901 |
| 5.016 |
| 5.016 |
| 5.716 |
| 6.510 |
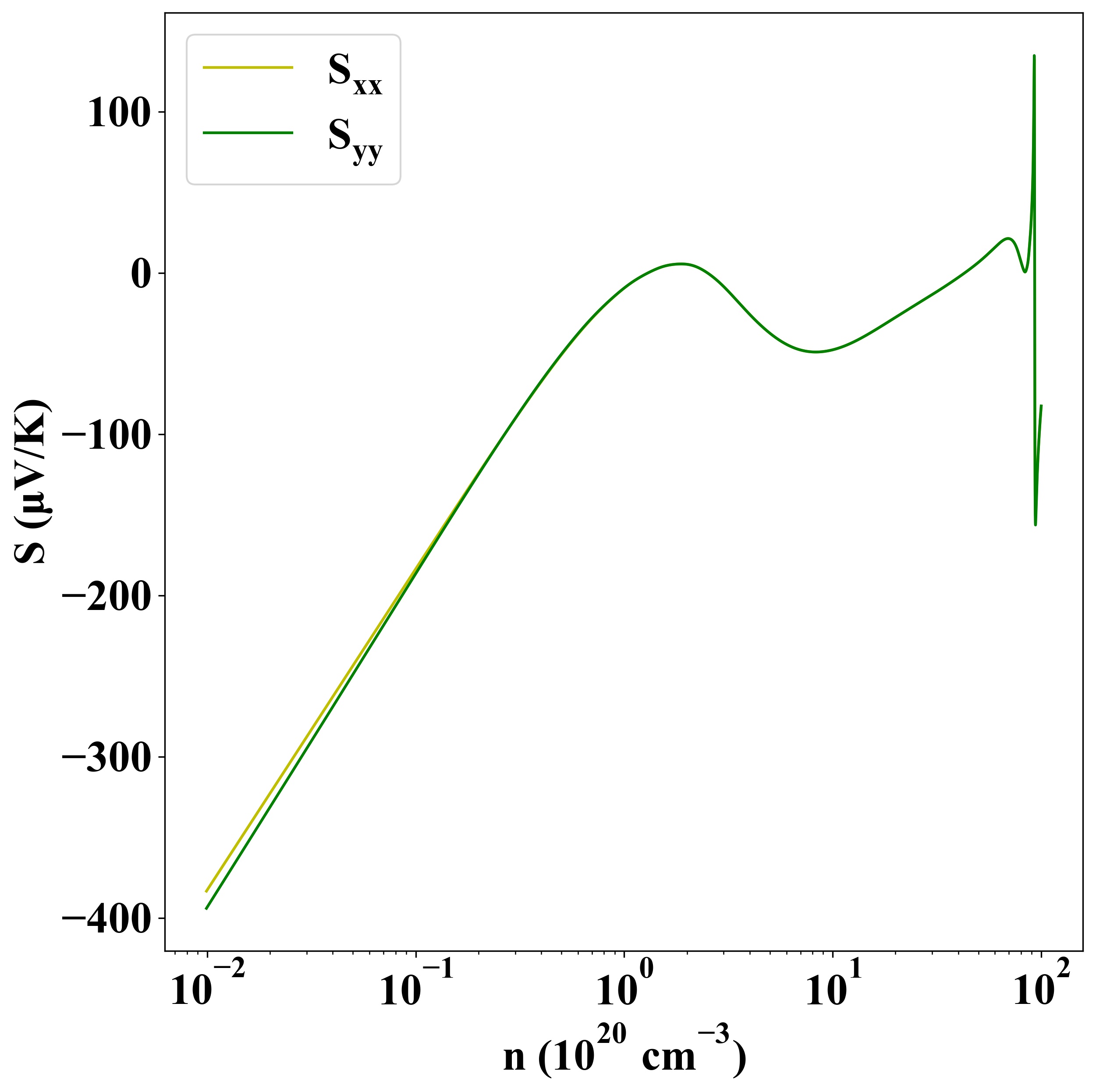
| Carrier type |
C2D (N/m) |
Edef (eV) |
μ (cm2V-1s-1) |
| x |
y |
x |
y |
x |
y |
| hole |
49.40 |
46.28 |
2.55 |
1.97 |
-19.24 |
-30.41 |
| electron |
-5.95 |
-6.32 |
350.72 |
291.03 |
| Property |
Value |
| from where |
sz.tsinghua-50 |