In2Se2
MatHub2d-801-In2Se2
| Property |
Value |
| Space group |
(164, 'P-3m1') |
| Crystal system |
hexagonal |
| Magnetic |
No |
| Band gap (PBE) (eV) |
1.35 |
| Free energy (eV) |
-14.032 |
| Free energy / atom (eV) |
-3.508 |
Lattice Parameters (basic)
| a, b, c (Å): | 4.108 | 4.108 | 30.000 |
| α, β, γ (°): | 90.000 | 90.000 | 120.000 |
Lattice Parameters (computed)
| a, b, c (Å): | 4.082 | 4.082 | 30.000 |
| α, β, γ (°): | 90.000 | 90.000 | 120.000 |
| Property |
Value |
| Band gap |
1.35 eV |
| E-fermi |
-3.154 eV |
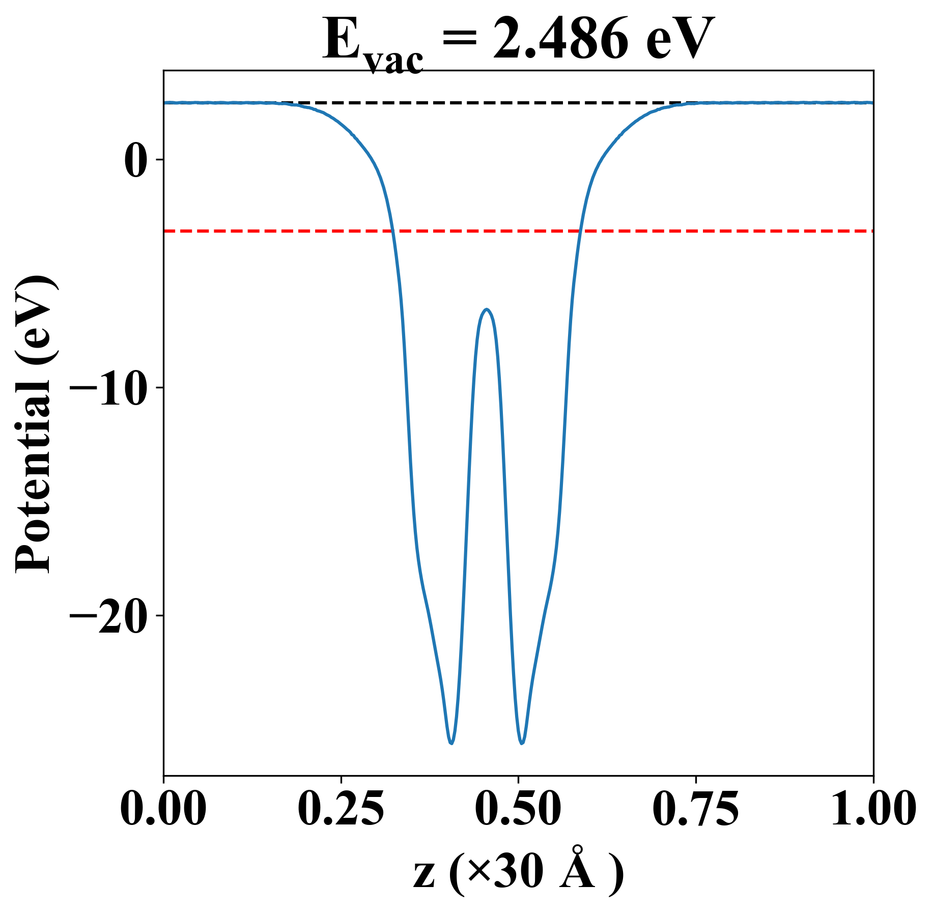
| Vacuum level |
2.486 eV |
| VBM |
-3.391 eV |
| CBM |
-2.041 eV |
| Work function |
5.639 eV |
| Direct gap |
No |
| Property |
Value |
| Band gap |
1.34 eV |
| E-fermi |
-3.091 eV |
| VBM |
-3.375 eV |
| CBM |
-2.039 eV |
| Free energy (eV) |
-14.144 |
| Free energy / atom (eV) |
-3.536 |
| Property |
Value |
| Band gap |
1.35 eV |
| E-fermi |
-3.154 eV |
| Vacuum level |
2.486 eV |
| VBM |
-3.391 eV |
| CBM |
-2.041 eV |
| Work function |
5.639 eV |
| Cij (N/m) |
xx |
yy |
xy |
| xx |
48.419 |
14.191 |
0.000 |
| yy |
14.191 |
48.419 |
-0.000 |
| xy |
0.000 |
-0.000 |
17.114 |
| Phonon mode at Γ point (THz) |
| -0.013 |
| -0.013 |
| -0.007 |
| 1.150 |
| 1.150 |
| 3.005 |
| 4.879 |
| 4.879 |
| 4.974 |
| 4.974 |
| 5.681 |
| 6.507 |
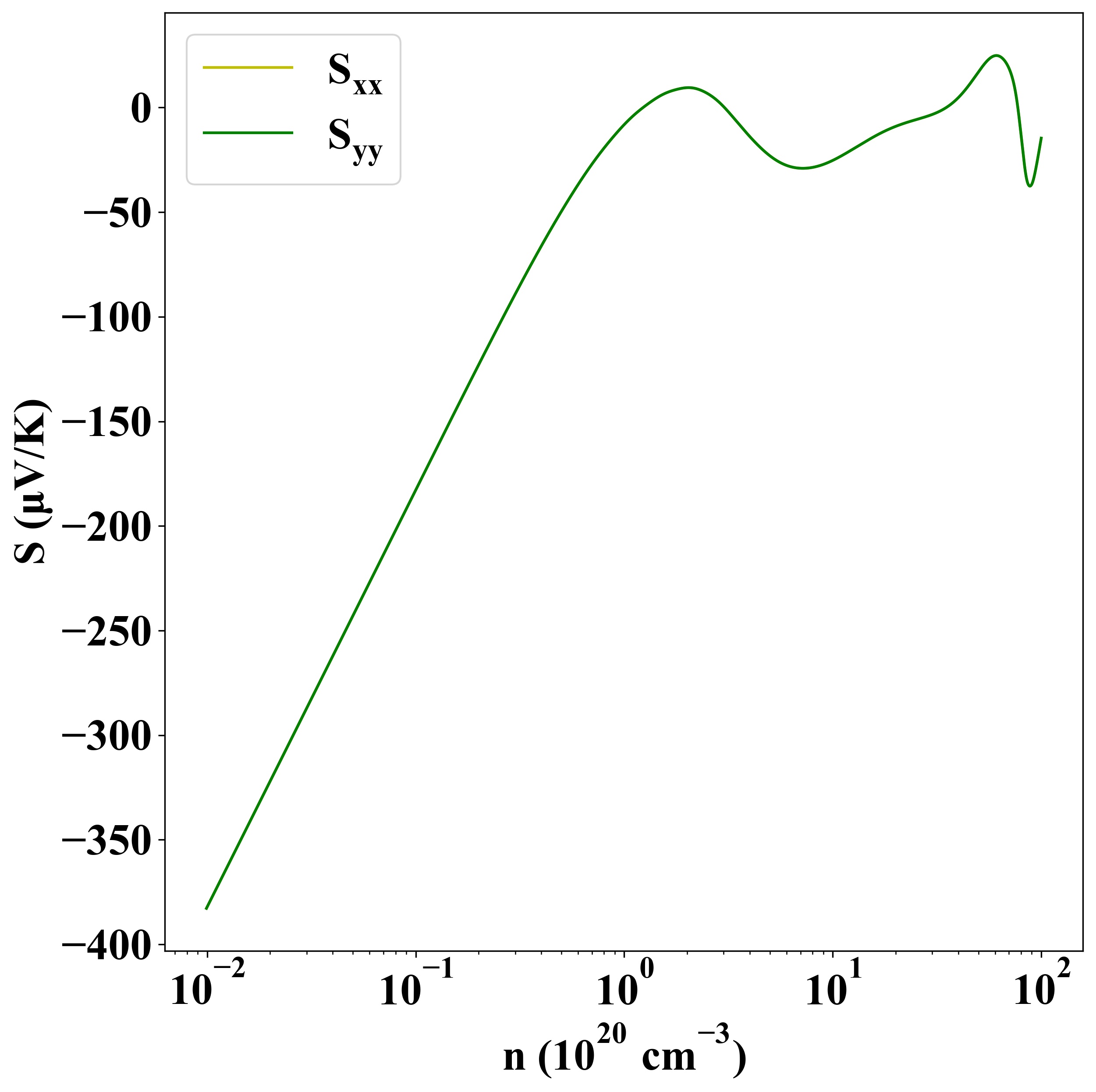
| Carrier type |
C2D (N/m) |
Edef (eV) |
μ (cm2V-1s-1) |
| x |
y |
x |
y |
x |
y |
| hole |
49.12 |
49.58 |
2.60 |
2.43 |
-17.50 |
-20.27 |
| electron |
-5.92 |
-5.86 |
448.92 |
461.94 |
| Property |
Value |
| from where |
sz.tsinghua-51 |