In2S2
MatHub2d-800-In2S2
| Property |
Value |
| Space group |
(187, 'P-6m2') |
| Crystal system |
hexagonal |
| Magnetic |
No |
| Band gap (PBE) (eV) |
1.72 |
| Free energy (eV) |
-15.335 |
| Free energy / atom (eV) |
-3.834 |
Lattice Parameters (basic)
| a, b, c (Å): | 3.915 | 3.915 | 30.000 |
| α, β, γ (°): | 90.000 | 90.000 | 120.000 |
Lattice Parameters (computed)
| a, b, c (Å): | 3.908 | 3.908 | 30.000 |
| α, β, γ (°): | 90.000 | 90.000 | 120.000 |
| Property |
Value |
| Band gap |
1.72 eV |
| E-fermi |
-3.377 eV |
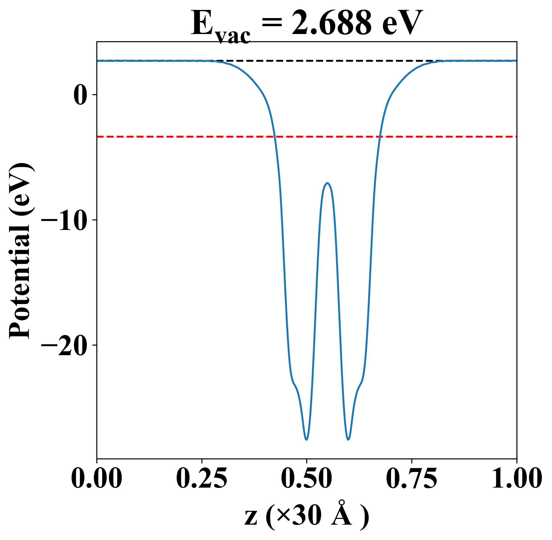
| Vacuum level |
2.688 eV |
| VBM |
-3.610 eV |
| CBM |
-1.891 eV |
| Work function |
6.065 eV |
| Direct gap |
No |
| Property |
Value |
| Band gap |
1.71 eV |
| E-fermi |
-3.319 eV |
| VBM |
-3.602 eV |
| CBM |
-1.889 eV |
| Free energy (eV) |
-15.405 |
| Free energy / atom (eV) |
-3.851 |
| Property |
Value |
| Band gap |
1.72 eV |
| E-fermi |
-3.377 eV |
| Vacuum level |
2.688 eV |
| VBM |
-3.610 eV |
| CBM |
-1.891 eV |
| Work function |
6.065 eV |
| Cij (N/m) |
xx |
yy |
xy |
| xx |
58.070 |
16.874 |
0.000 |
| yy |
16.874 |
58.070 |
-0.000 |
| xy |
0.000 |
-0.000 |
20.598 |
| Phonon mode at Γ point (THz) |
| -0.004 |
| -0.004 |
| -0.002 |
| 1.294 |
| 1.294 |
| 3.847 |
| 7.240 |
| 7.240 |
| 7.305 |
| 7.305 |
| 8.119 |
| 8.387 |
| Property |
Value |
| from where |
c2db-1637 |