In2S2
MatHub2d-799-In2S2
| Property |
Value |
| Space group |
(164, 'P-3m1') |
| Crystal system |
hexagonal |
| Magnetic |
No |
| Band gap (PBE) (eV) |
1.64 |
| Free energy (eV) |
-15.321 |
| Free energy / atom (eV) |
-3.830 |
Lattice Parameters (basic)
| a, b, c (Å): | 4.000 | 4.000 | 30.000 |
| α, β, γ (°): | 90.000 | 90.000 | 120.000 |
Lattice Parameters (computed)
| a, b, c (Å): | 3.915 | 3.915 | 30.000 |
| α, β, γ (°): | 90.000 | 90.000 | 120.000 |
| Property |
Value |
| Band gap |
1.64 eV |
| E-fermi |
-3.377 eV |
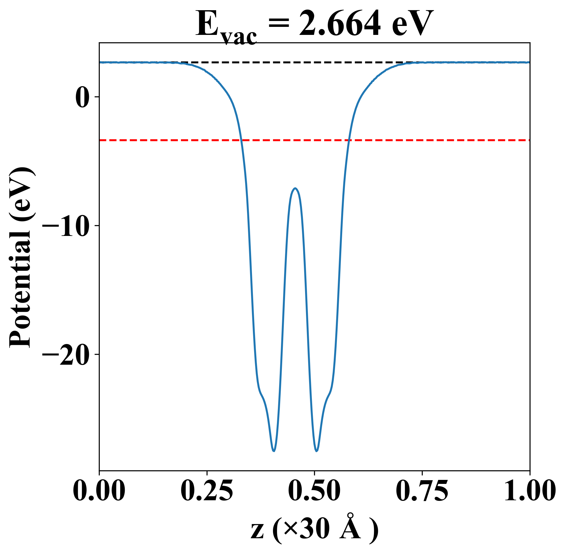
| Vacuum level |
2.664 eV |
| VBM |
-3.603 eV |
| CBM |
-1.967 eV |
| Work function |
6.041 eV |
| Direct gap |
No |
| Property |
Value |
| Band gap |
1.64 eV |
| E-fermi |
-3.324 eV |
| VBM |
-3.588 eV |
| CBM |
-1.952 eV |
| Free energy (eV) |
-15.390 |
| Free energy / atom (eV) |
-3.847 |
| Property |
Value |
| Band gap |
1.64 eV |
| E-fermi |
-3.377 eV |
| Vacuum level |
2.664 eV |
| VBM |
-3.603 eV |
| CBM |
-1.967 eV |
| Work function |
6.041 eV |
| Cij (N/m) |
xx |
yy |
xy |
| xx |
55.808 |
17.438 |
-0.006 |
| yy |
17.438 |
55.861 |
0.007 |
| xy |
-0.006 |
0.007 |
19.246 |
| Phonon mode at Γ point (THz) |
| -0.003 |
| -0.003 |
| -0.001 |
| 1.277 |
| 1.285 |
| 3.866 |
| 7.211 |
| 7.213 |
| 7.251 |
| 7.252 |
| 8.080 |
| 8.384 |
| Property |
Value |
| from where |
sz.tsinghua-49 |