In2P6
MatHub2d-798-In2P6
| Property |
Value |
| Space group |
(164, 'P-3m1') |
| Crystal system |
hexagonal |
| Magnetic |
|
| Band gap (PBE) (eV) |
0.76 |
| Free energy (eV) |
-35.797 |
| Free energy / atom (eV) |
-4.475 |
Lattice Parameters (basic)
| a, b, c (Å): | 7.522 | 7.522 | 30.000 |
| α, β, γ (°): | 90.000 | 90.000 | 120.000 |
Lattice Parameters (computed)
| a, b, c (Å): | 7.522 | 7.522 | 30.000 |
| α, β, γ (°): | 90.000 | 90.000 | 120.000 |
| Property |
Value |
| Band gap |
0.76 eV |
| E-fermi |
-3.650 eV |
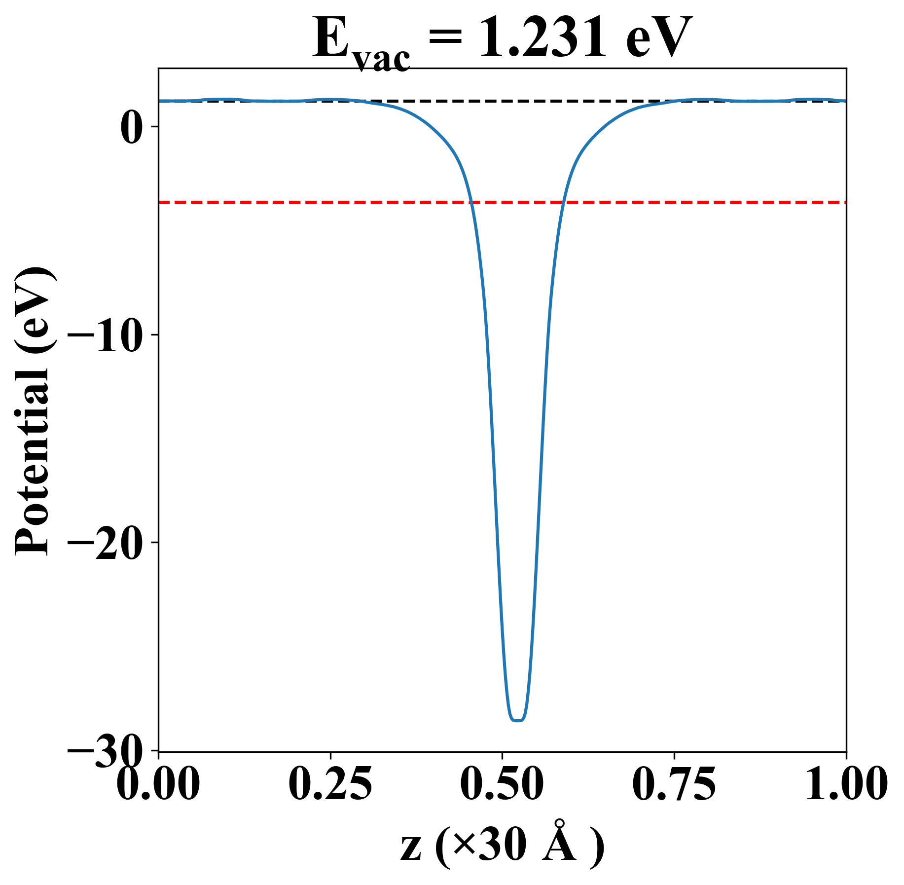
| Vacuum level |
1.231 eV |
| VBM |
-3.900 eV |
| CBM |
-3.143 eV |
| Work function |
4.881 eV |
| Direct gap |
No |
| Property |
Value |
| Band gap |
0.76 eV |
| E-fermi |
-3.650 eV |
| Vacuum level |
1.231 eV |
| VBM |
-3.900 eV |
| CBM |
-3.143 eV |
| Work function |
4.881 eV |
| Cij (N/m) |
xx |
yy |
xy |
| xx |
52.055 |
19.009 |
-0.000 |
| yy |
19.009 |
52.055 |
0.000 |
| xy |
-0.000 |
0.000 |
16.523 |
| Phonon mode at Γ point (THz) |
| -0.004 |
| -0.003 |
| -0.002 |
| 1.928 |
| 2.046 |
| 2.046 |
| 2.363 |
| 2.363 |
| 2.891 |
| 3.178 |
| 3.723 |
| 3.723 |
| 7.785 |
| 7.785 |
| 8.281 |
| 8.281 |
| 8.534 |
| 9.260 |
| 11.344 |
| 12.374 |
| 12.374 |
| 12.914 |
| 12.914 |
| 13.478 |
| Property |
Value |
| from where |
sz.tsinghua-47 |