In2O2
MatHub2d-797-In2O2
| Property |
Value |
| Space group |
(187, 'P-6m2') |
| Crystal system |
hexagonal |
| Magnetic |
No |
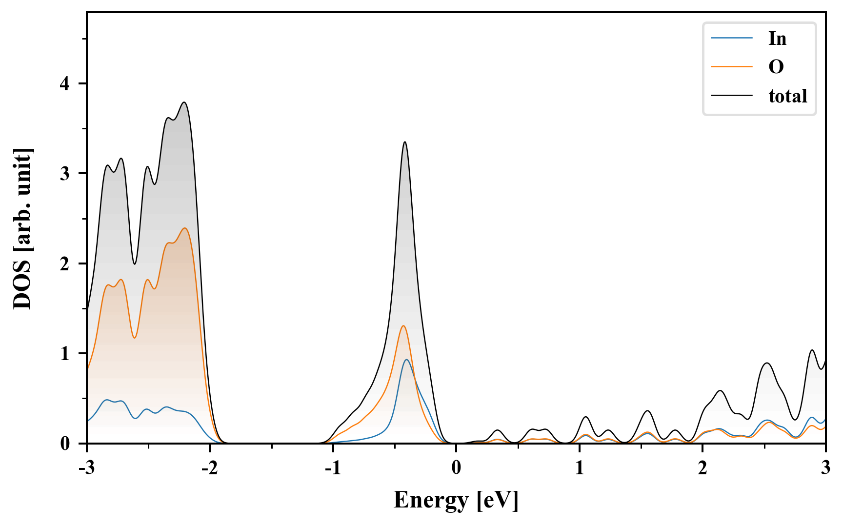
| Band gap (PBE) (eV) |
0.35 |
| Free energy (eV) |
-19.413 |
| Free energy / atom (eV) |
-4.853 |
Lattice Parameters (basic)
| a, b, c (Å): | 3.440 | 3.440 | 30.000 |
| α, β, γ (°): | 90.000 | 90.000 | 120.000 |
Lattice Parameters (computed)
| a, b, c (Å): | 3.434 | 3.434 | 30.000 |
| α, β, γ (°): | 90.000 | 90.000 | 120.000 |
| Property |
Value |
| Band gap |
0.35 eV |
| E-fermi |
-3.619 eV |
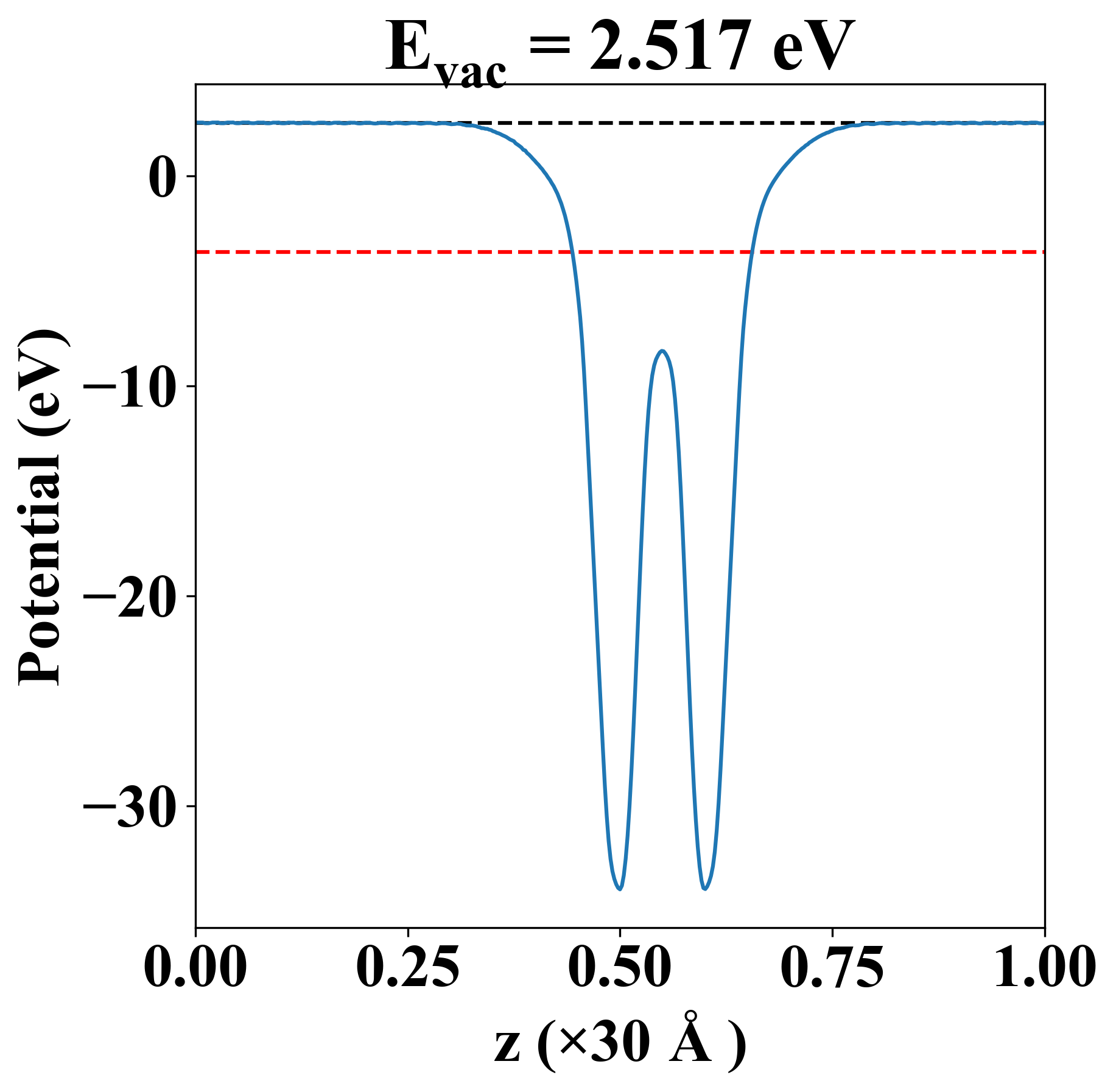
| Vacuum level |
2.517 eV |
| VBM |
-3.796 eV |
| CBM |
-3.449 eV |
| Work function |
6.136 eV |
| Direct gap |
No |
| Property |
Value |
| Band gap |
0.34 eV |
| E-fermi |
-3.627 eV |
| VBM |
-3.802 eV |
| CBM |
-3.457 eV |
| Free energy (eV) |
-19.476 |
| Free energy / atom (eV) |
-4.869 |
| Property |
Value |
| Band gap |
0.35 eV |
| E-fermi |
-3.619 eV |
| Vacuum level |
2.517 eV |
| VBM |
-3.796 eV |
| CBM |
-3.449 eV |
| Work function |
6.136 eV |
| Cij (N/m) |
xx |
yy |
xy |
| xx |
98.932 |
43.106 |
0.000 |
| yy |
43.106 |
98.932 |
-0.000 |
| xy |
0.000 |
-0.000 |
27.913 |
| Phonon mode at Γ point (THz) |
| -0.003 |
| -0.003 |
| -0.001 |
| 1.206 |
| 1.206 |
| 4.062 |
| 11.143 |
| 11.699 |
| 12.589 |
| 12.589 |
| 12.637 |
| 12.637 |
| Property |
Value |
| from where |
c2db-1636 |