In1Sb1
MatHub2d-796-In1Sb1
| Property |
Value |
| Space group |
(156, 'P3m1') |
| Crystal system |
hexagonal |
| Magnetic |
No |
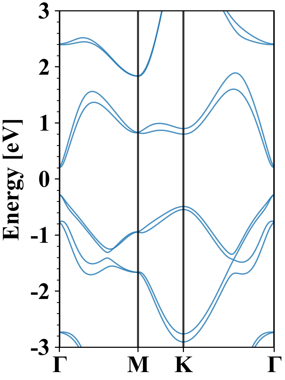
| Band gap (PBE) (eV) |
0.71 |
| Free energy (eV) |
-6.084 |
| Free energy / atom (eV) |
-3.042 |
Lattice Parameters (basic)
| a, b, c (Å): | 4.663 | 4.663 | 30.000 |
| α, β, γ (°): | 90.000 | 90.000 | 120.000 |
Lattice Parameters (computed)
| a, b, c (Å): | 4.668 | 4.668 | 30.000 |
| α, β, γ (°): | 90.000 | 90.000 | 120.000 |
| Property |
Value |
| Band gap |
0.71 eV |
| E-fermi |
-3.440 eV |
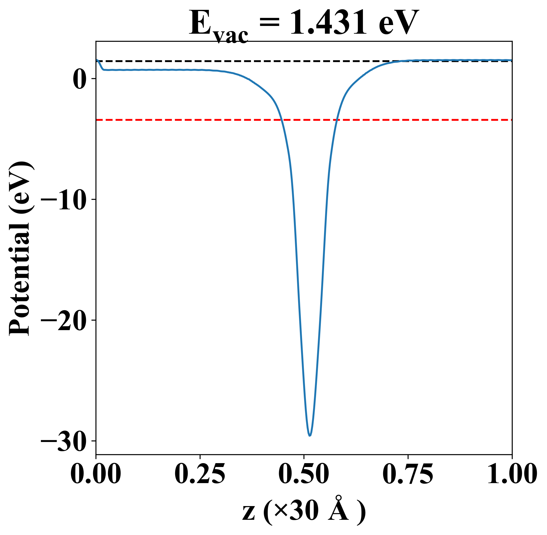
| Vacuum level |
1.431 eV |
| VBM |
-3.713 eV |
| CBM |
-3.001 eV |
| Work function |
4.871 eV |
| Direct gap |
Yes |
| Property |
Value |
| Band gap |
0.49 eV |
| E-fermi |
-3.155 eV |
| VBM |
-3.437 eV |
| CBM |
-2.945 eV |
| Free energy (eV) |
-6.190 |
| Free energy / atom (eV) |
-3.095 |
| Property |
Value |
| Band gap |
0.71 eV |
| E-fermi |
-3.440 eV |
| Vacuum level |
1.431 eV |
| VBM |
-3.713 eV |
| CBM |
-3.001 eV |
| Work function |
4.871 eV |
| Cij (N/m) |
xx |
yy |
xy |
| xx |
29.353 |
11.686 |
-0.000 |
| yy |
11.686 |
29.353 |
0.000 |
| xy |
-0.000 |
0.000 |
8.833 |
| Phonon mode at Γ point (THz) |
| -0.006 |
| -0.006 |
| -0.002 |
| 3.047 |
| 5.390 |
| 5.390 |
| Property |
Value |
| from where |
c2db-688 |