In1P1
MatHub2d-795-In1P1
| Property |
Value |
| Space group |
(156, 'P3m1') |
| Crystal system |
hexagonal |
| Magnetic |
No |
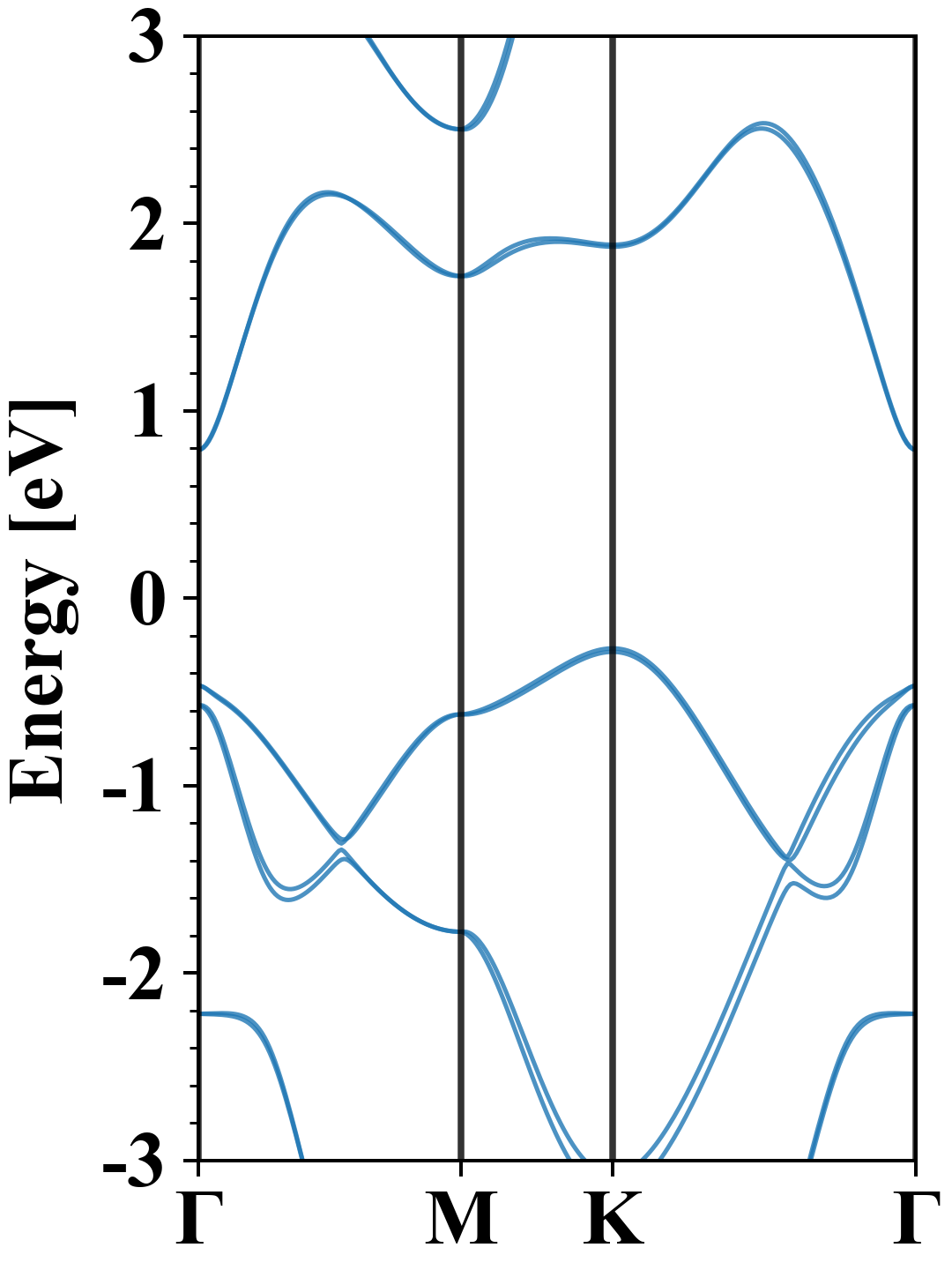
| Band gap (PBE) (eV) |
1.07 |
| Free energy (eV) |
-7.463 |
| Free energy / atom (eV) |
-3.732 |
Lattice Parameters (basic)
| a, b, c (Å): | 4.215 | 4.215 | 30.000 |
| α, β, γ (°): | 90.000 | 90.000 | 120.000 |
Lattice Parameters (computed)
| a, b, c (Å): | 4.215 | 4.215 | 30.000 |
| α, β, γ (°): | 90.000 | 90.000 | 120.000 |
| Property |
Value |
| Band gap |
1.07 eV |
| E-fermi |
-3.794 eV |
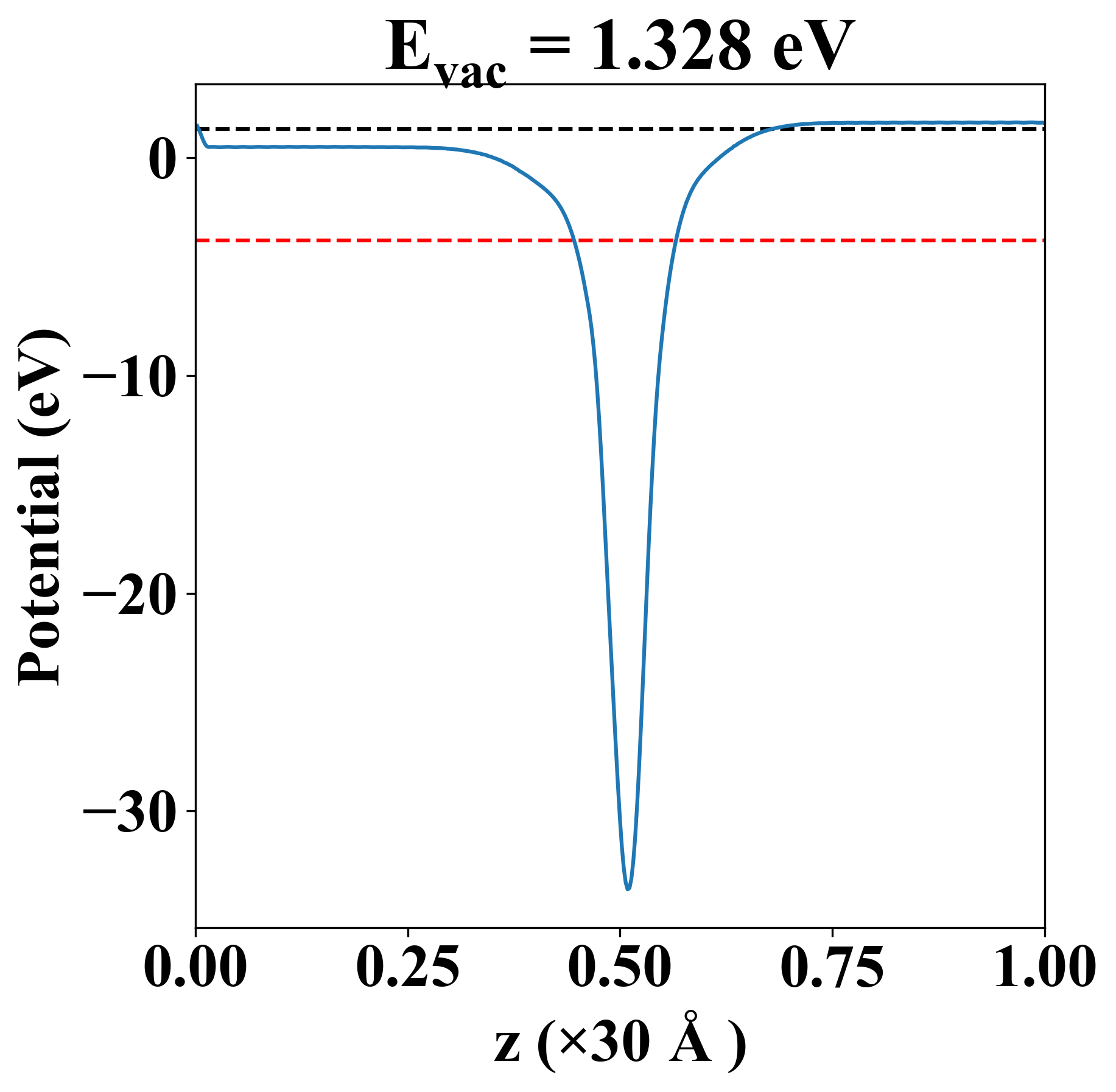
| Vacuum level |
1.328 eV |
| VBM |
-4.056 eV |
| CBM |
-2.991 eV |
| Work function |
5.122 eV |
| Direct gap |
No |
| Property |
Value |
| Band gap |
1.06 eV |
| E-fermi |
-3.746 eV |
| VBM |
-4.014 eV |
| CBM |
-2.955 eV |
| Free energy (eV) |
-7.499 |
| Free energy / atom (eV) |
-3.750 |
| Property |
Value |
| Band gap |
1.07 eV |
| E-fermi |
-3.794 eV |
| Vacuum level |
1.328 eV |
| VBM |
-4.056 eV |
| CBM |
-2.991 eV |
| Work function |
5.122 eV |
| Cij (N/m) |
xx |
yy |
xy |
| xx |
47.294 |
19.086 |
0.000 |
| yy |
19.086 |
47.294 |
0.000 |
| xy |
0.000 |
0.000 |
14.104 |
| Phonon mode at Γ point (THz) |
| -0.004 |
| -0.004 |
| -0.001 |
| 3.801 |
| 10.053 |
| 10.053 |
| Property |
Value |
| from where |
c2db-687 |