In1N1
MatHub2d-794-In1N1
| Property |
Value |
| Space group |
(187, 'P-6m2') |
| Crystal system |
hexagonal |
| Magnetic |
No |
| Band gap (PBE) (eV) |
0.69 |
| Free energy (eV) |
-9.870 |
| Free energy / atom (eV) |
-4.935 |
Lattice Parameters (basic)
| a, b, c (Å): | 3.575 | 3.575 | 30.000 |
| α, β, γ (°): | 90.000 | 90.000 | 120.000 |
Lattice Parameters (computed)
| a, b, c (Å): | 3.564 | 3.564 | 30.000 |
| α, β, γ (°): | 90.000 | 90.000 | 120.000 |
| Property |
Value |
| Band gap |
0.69 eV |
| E-fermi |
-3.569 eV |
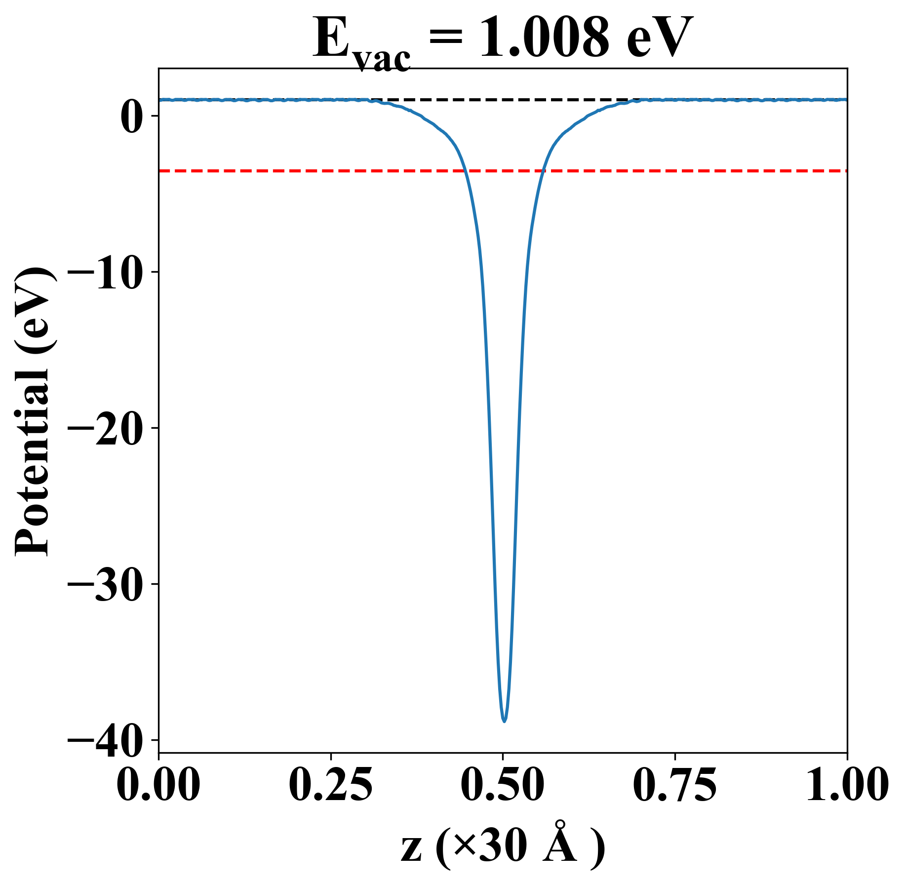
| Vacuum level |
1.008 eV |
| VBM |
-3.813 eV |
| CBM |
-3.124 eV |
| Work function |
4.577 eV |
| Direct gap |
No |
| Property |
Value |
| Band gap |
0.69 eV |
| E-fermi |
-3.555 eV |
| VBM |
-3.848 eV |
| CBM |
-3.162 eV |
| Free energy (eV) |
-9.903 |
| Free energy / atom (eV) |
-4.951 |
| Property |
Value |
| Band gap |
0.69 eV |
| E-fermi |
-3.569 eV |
| Vacuum level |
1.008 eV |
| VBM |
-3.813 eV |
| CBM |
-3.124 eV |
| Work function |
4.577 eV |
| Cij (N/m) |
xx |
yy |
xy |
| xx |
98.123 |
58.412 |
-0.000 |
| yy |
58.412 |
98.123 |
0.000 |
| xy |
-0.000 |
0.000 |
19.855 |
| Phonon mode at Γ point (THz) |
| -0.009 |
| 0.001 |
| 0.001 |
| 4.783 |
| 17.698 |
| 17.698 |
| Property |
Value |
| from where |
c2db-686 |