I7Ta3Te1
MatHub2d-793-I7Ta3Te1
| Property |
Value |
| Space group |
(156, 'P3m1') |
| Crystal system |
hexagonal |
| Magnetic |
No |
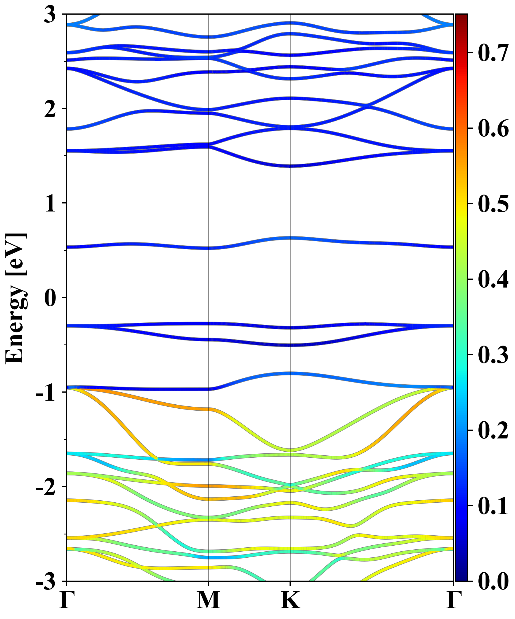
| Band gap (PBE) (eV) |
0.80 |
| Free energy (eV) |
-48.962 |
| Free energy / atom (eV) |
-4.451 |
Lattice Parameters (basic)
| a, b, c (Å): | 7.646 | 7.646 | 30.000 |
| α, β, γ (°): | 90.000 | 90.000 | 120.000 |
Lattice Parameters (computed)
| a, b, c (Å): | 7.705 | 7.705 | 30.000 |
| α, β, γ (°): | 90.000 | 90.000 | 120.000 |
| Property |
Value |
| Band gap |
0.80 eV |
| E-fermi |
-2.333 eV |
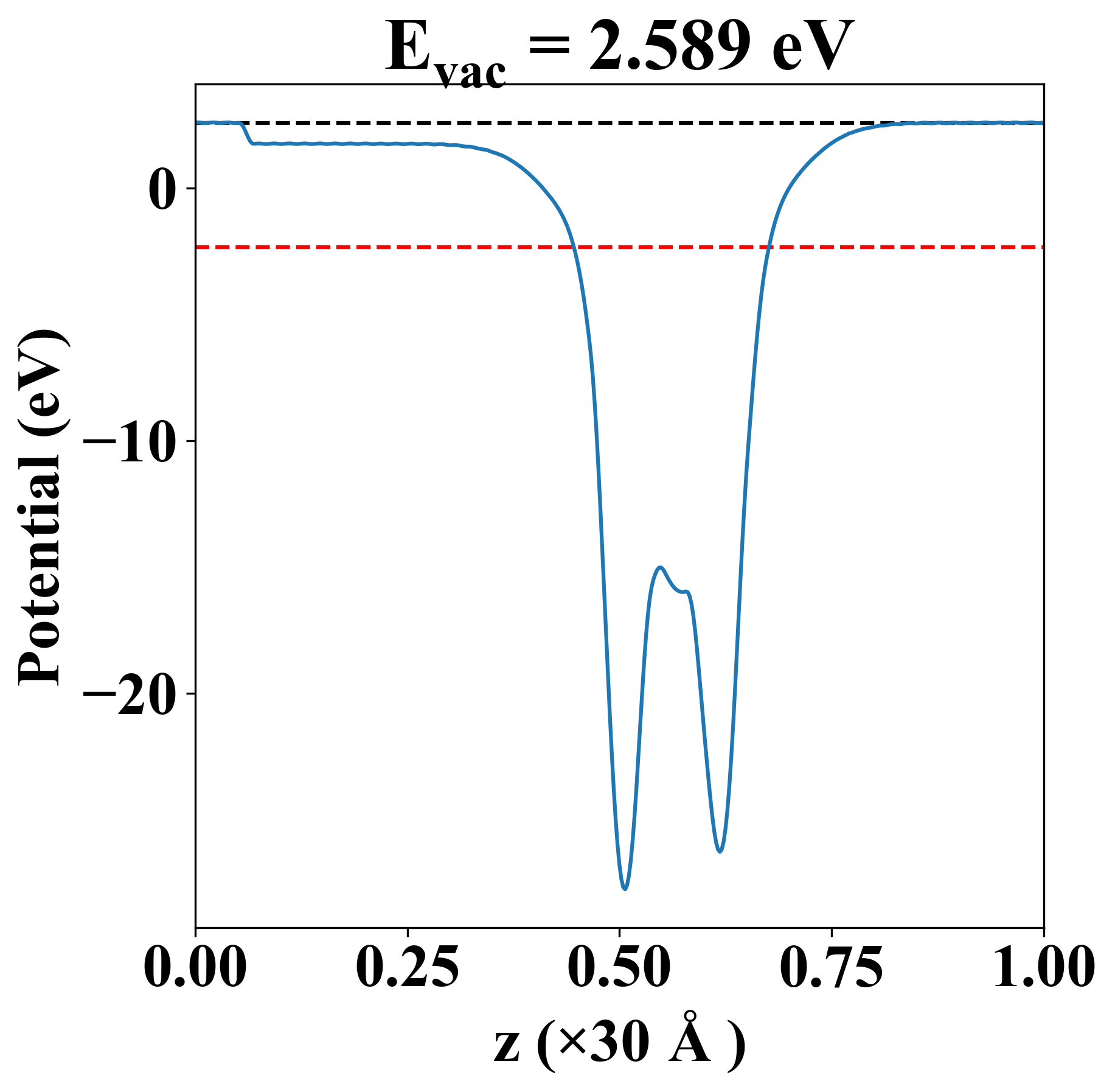
| Vacuum level |
2.589 eV |
| VBM |
-2.608 eV |
| CBM |
-1.811 eV |
| Work function |
4.921 eV |
| Direct gap |
Yes |
| Property |
Value |
| Band gap |
0.76 eV |
| E-fermi |
-2.326 eV |
| VBM |
-2.579 eV |
| CBM |
-1.820 eV |
| Free energy (eV) |
-52.186 |
| Free energy / atom (eV) |
-4.744 |
| Property |
Value |
| Band gap |
0.80 eV |
| E-fermi |
-2.333 eV |
| Vacuum level |
2.589 eV |
| VBM |
-2.608 eV |
| CBM |
-1.811 eV |
| Work function |
4.921 eV |
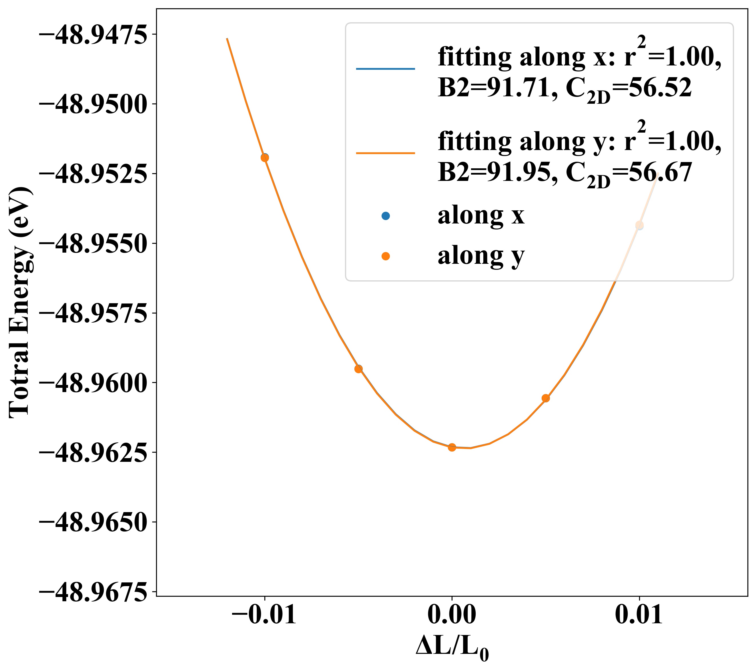
| Cij (N/m) |
xx |
yy |
xy |
| xx |
55.916 |
14.105 |
-0.000 |
| yy |
14.105 |
55.916 |
0.000 |
| xy |
-0.000 |
0.000 |
20.905 |
| Phonon mode at Γ point (THz) |
| -0.002 |
| -0.002 |
| -0.002 |
| 1.469 |
| 1.469 |
| 1.811 |
| 1.811 |
| 1.897 |
| 2.443 |
| 2.443 |
| 2.512 |
| 2.739 |
| 2.739 |
| 2.769 |
| 2.794 |
| 2.939 |
| 3.010 |
| 3.010 |
| 3.204 |
| 3.204 |
| 3.743 |
| 3.743 |
| 3.805 |
| 3.960 |
| 4.126 |
| 4.126 |
| 4.308 |
| 4.769 |
| 4.769 |
| 5.263 |
| 5.372 |
| 5.372 |
| 6.470 |
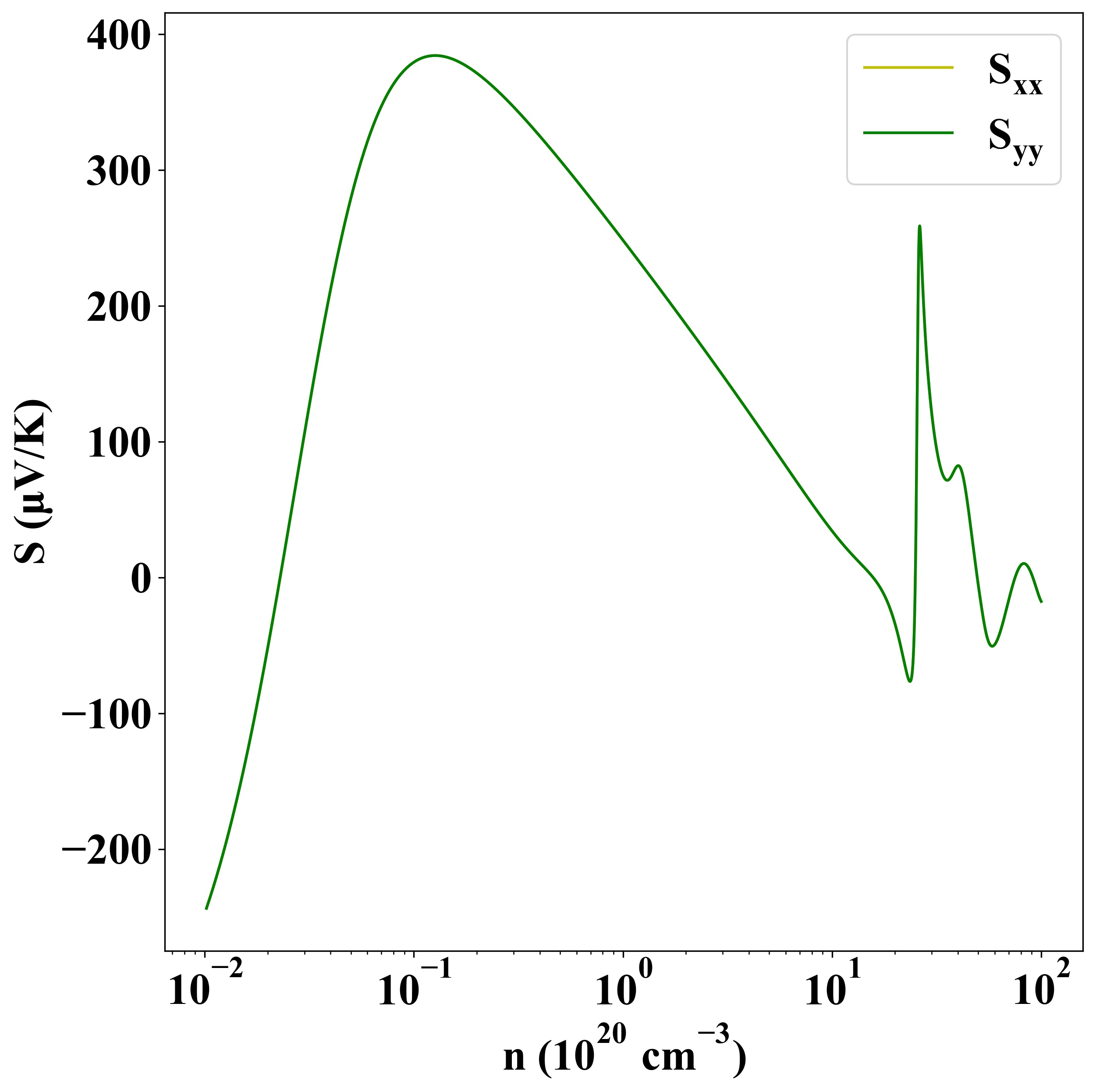
| Carrier type |
C2D (N/m) |
Edef (eV) |
μ (cm2V-1s-1) |
| x |
y |
x |
y |
x |
y |
| hole |
56.52 |
56.67 |
-2.12 |
-1.20 |
-10.73 |
-33.35 |
| electron |
-1.11 |
-1.00 |
179.77 |
222.77 |
| Property |
Value |
| from where |
JVASP-6799 |