I7Se1Ta3
MatHub2d-792-I7Se1Ta3
| Property |
Value |
| Space group |
(156, 'P3m1') |
| Crystal system |
hexagonal |
| Magnetic |
No |
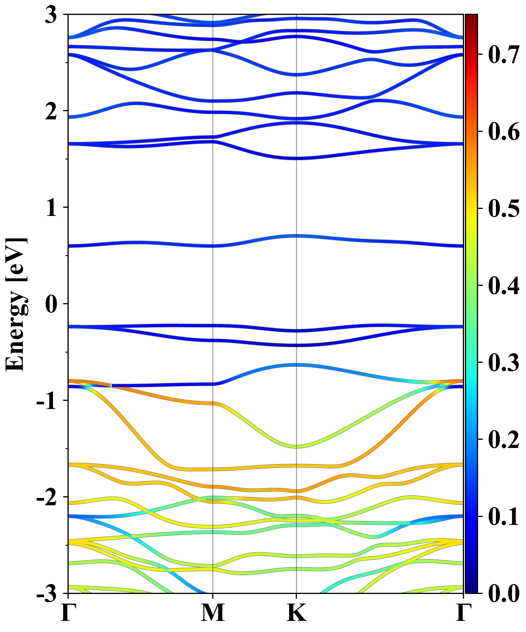
| Band gap (PBE) (eV) |
0.82 |
| Free energy (eV) |
-49.950 |
| Free energy / atom (eV) |
-4.541 |
Lattice Parameters (basic)
| a, b, c (Å): | 7.602 | 7.602 | 30.000 |
| α, β, γ (°): | 90.000 | 90.000 | 120.000 |
Lattice Parameters (computed)
| a, b, c (Å): | 7.662 | 7.662 | 30.000 |
| α, β, γ (°): | 90.000 | 90.000 | 120.000 |
| Property |
Value |
| Band gap |
0.82 eV |
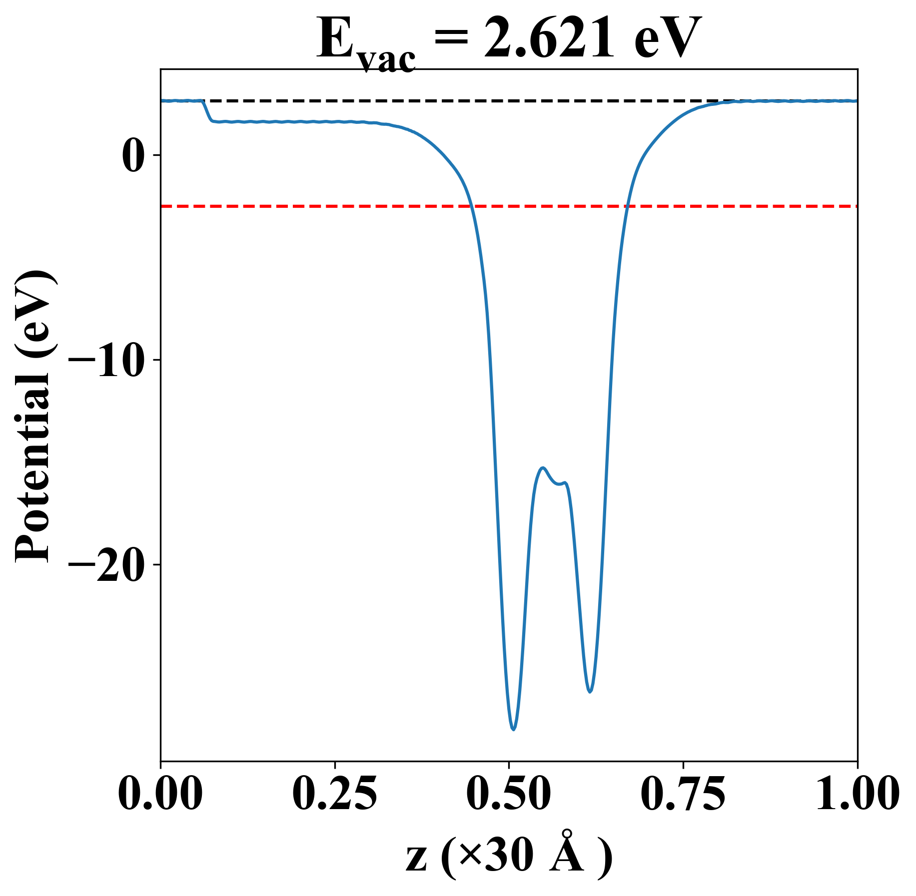
| E-fermi |
-2.522 eV |
| Vacuum level |
2.621 eV |
| VBM |
-2.744 eV |
| CBM |
-1.923 eV |
| Work function |
5.142 eV |
| Direct gap |
No |
| Property |
Value |
| Band gap |
0.78 eV |
| E-fermi |
-2.399 eV |
| VBM |
-2.670 eV |
| CBM |
-1.888 eV |
| Free energy (eV) |
-53.037 |
| Free energy / atom (eV) |
-4.822 |
| Property |
Value |
| Band gap |
0.82 eV |
| E-fermi |
-2.522 eV |
| Vacuum level |
2.621 eV |
| VBM |
-2.744 eV |
| CBM |
-1.923 eV |
| Work function |
5.142 eV |
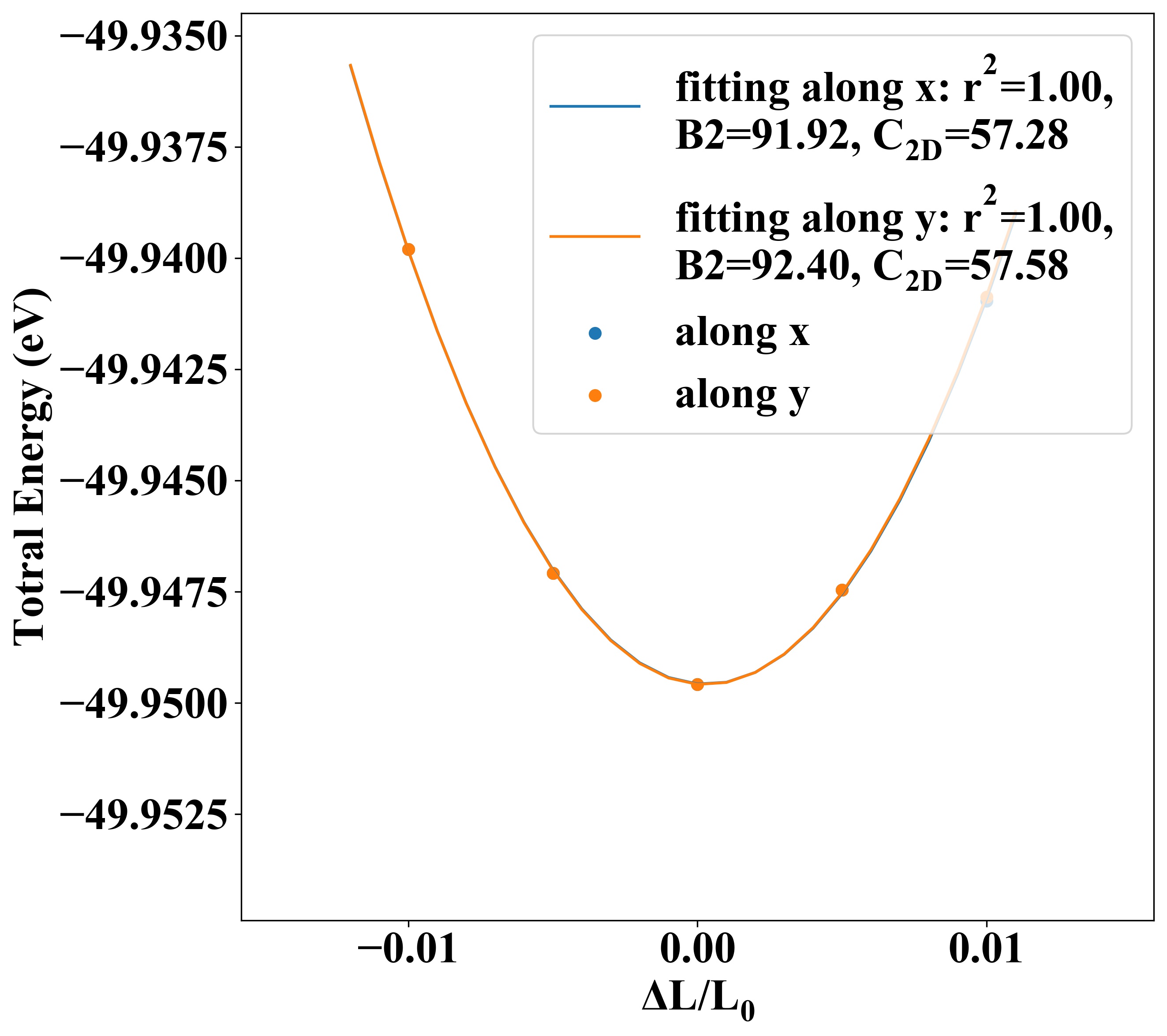
| Cij (N/m) |
xx |
yy |
xy |
| xx |
56.934 |
14.441 |
-0.000 |
| yy |
14.441 |
56.934 |
0.000 |
| xy |
-0.000 |
0.000 |
21.246 |
| Phonon mode at Γ point (THz) |
| -0.002 |
| -0.001 |
| -0.001 |
| 1.466 |
| 1.466 |
| 1.816 |
| 1.816 |
| 1.901 |
| 2.527 |
| 2.527 |
| 2.559 |
| 2.572 |
| 2.844 |
| 2.922 |
| 2.922 |
| 3.009 |
| 3.048 |
| 3.048 |
| 3.228 |
| 3.228 |
| 3.706 |
| 3.706 |
| 3.899 |
| 4.309 |
| 4.325 |
| 4.371 |
| 4.371 |
| 5.040 |
| 5.040 |
| 5.457 |
| 5.948 |
| 5.948 |
| 7.706 |
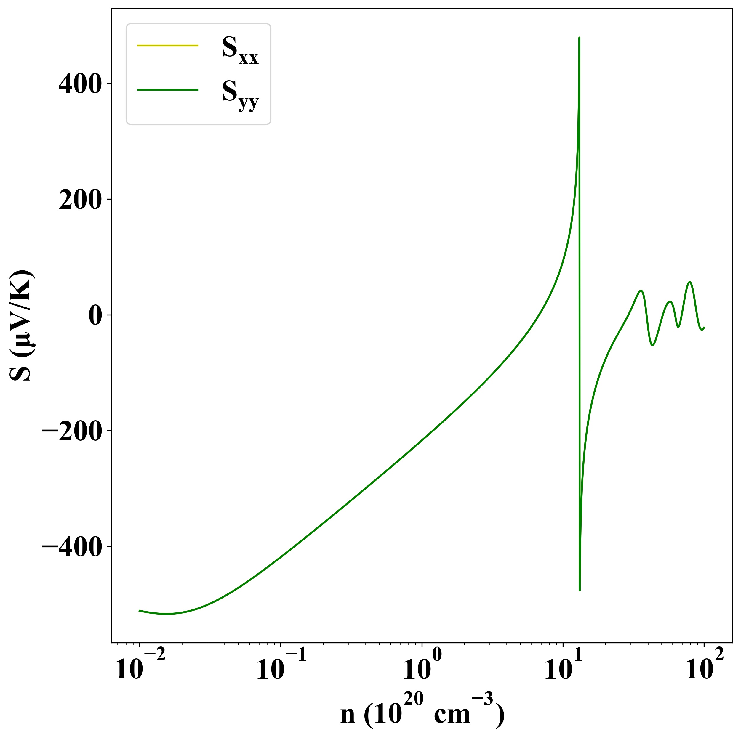
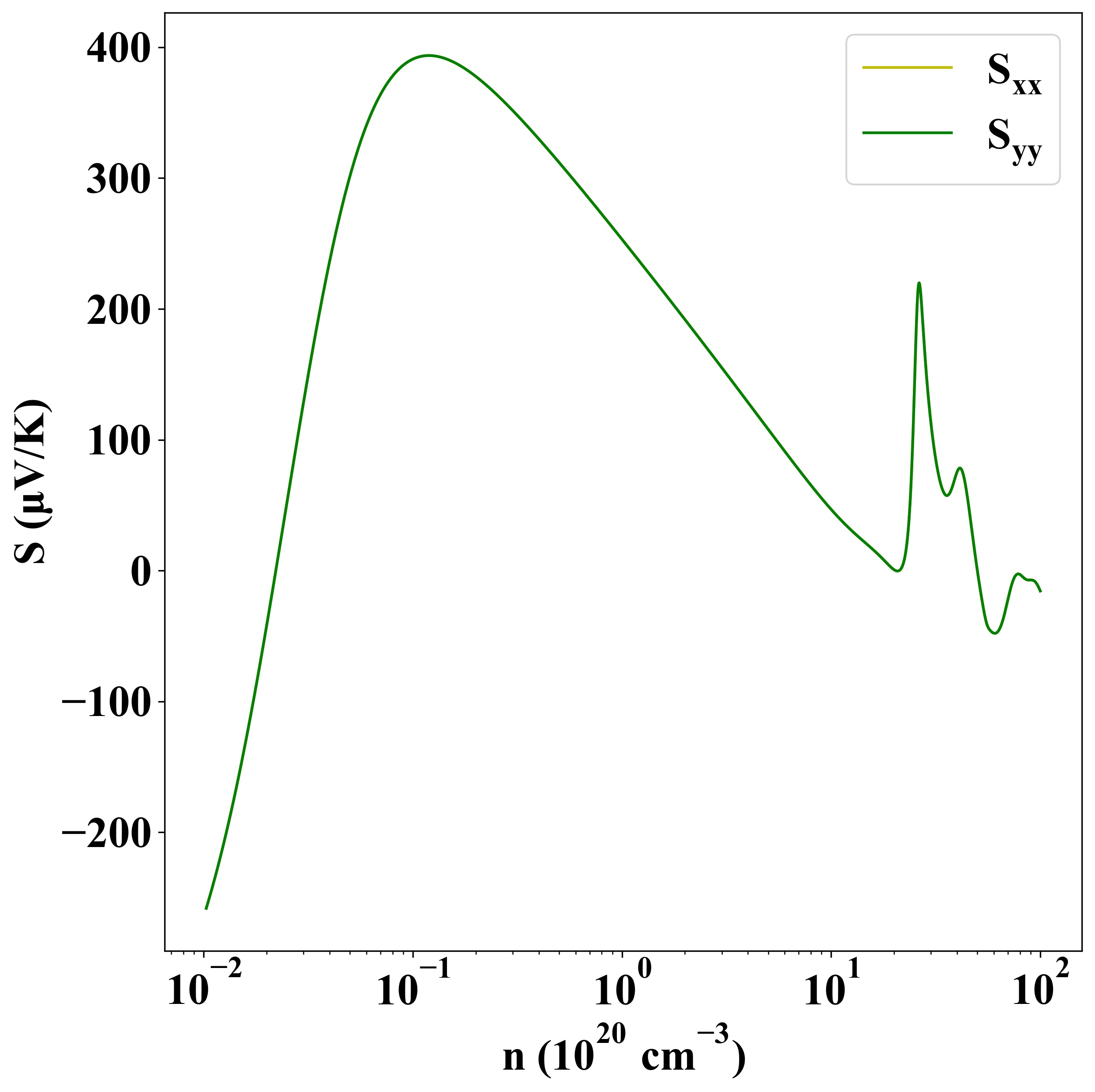
| Carrier type |
C2D (N/m) |
Edef (eV) |
μ (cm2V-1s-1) |
| x |
y |
x |
y |
x |
y |
| hole |
57.28 |
57.58 |
-1.48 |
-2.48 |
-19.32 |
-6.91 |
| electron |
-1.49 |
-1.48 |
96.15 |
97.37 |
| Property |
Value |
| from where |
JVASP-6796 |