I7Nb3Te1
MatHub2d-791-I7Nb3Te1
| Property |
Value |
| Space group |
(156, 'P3m1') |
| Crystal system |
hexagonal |
| Magnetic |
No |
| Band gap (PBE) (eV) |
0.79 |
| Free energy (eV) |
-45.012 |
| Free energy / atom (eV) |
-4.092 |
Lattice Parameters (basic)
| a, b, c (Å): | 7.693 | 7.693 | 30.000 |
| α, β, γ (°): | 90.000 | 90.000 | 120.000 |
Lattice Parameters (computed)
| a, b, c (Å): | 7.739 | 7.739 | 30.000 |
| α, β, γ (°): | 90.000 | 90.000 | 120.000 |
| Property |
Value |
| Band gap |
0.79 eV |
| E-fermi |
-2.287 eV |
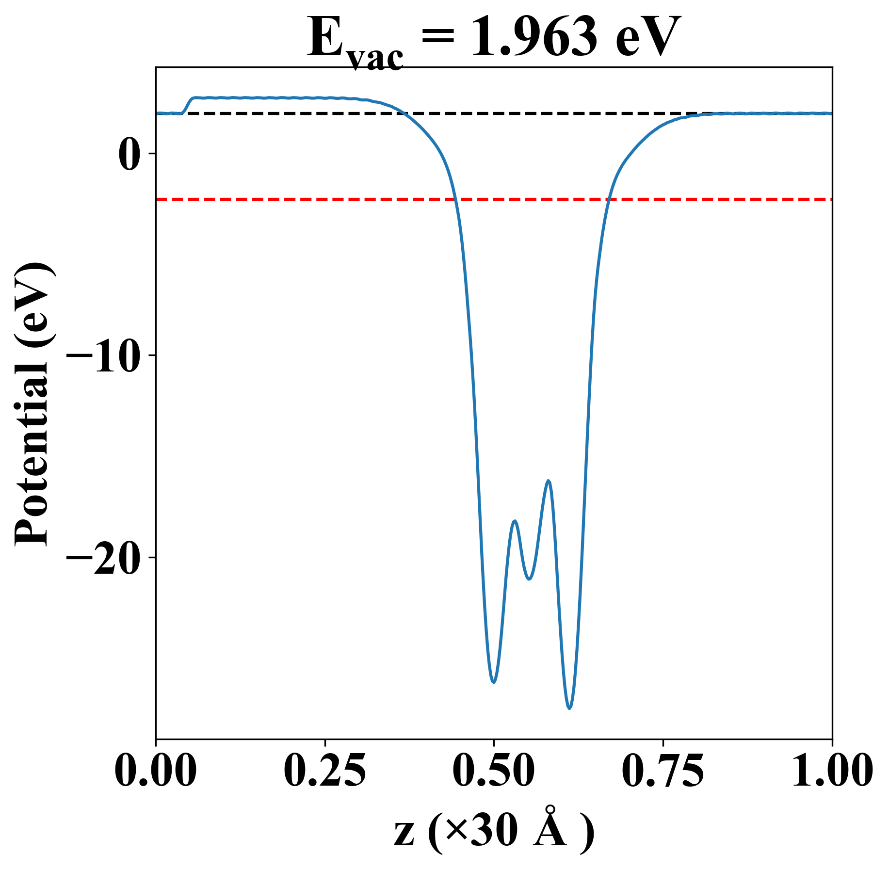
| Vacuum level |
1.963 eV |
| VBM |
-2.680 eV |
| CBM |
-1.889 eV |
| Work function |
4.250 eV |
| Direct gap |
No |
| Property |
Value |
| Band gap |
0.73 eV |
| E-fermi |
-2.177 eV |
| VBM |
-2.576 eV |
| CBM |
-1.842 eV |
| Free energy (eV) |
-46.307 |
| Free energy / atom (eV) |
-4.210 |
| Property |
Value |
| Band gap |
0.79 eV |
| E-fermi |
-2.287 eV |
| Vacuum level |
1.963 eV |
| VBM |
-2.680 eV |
| CBM |
-1.889 eV |
| Work function |
4.250 eV |
| Cij (N/m) |
xx |
yy |
xy |
| xx |
50.538 |
12.985 |
0.000 |
| yy |
12.985 |
50.538 |
0.000 |
| xy |
0.000 |
0.000 |
18.776 |
| Phonon mode at Γ point (THz) |
| -0.002 |
| -0.002 |
| -0.001 |
| 1.464 |
| 1.464 |
| 1.802 |
| 1.802 |
| 2.002 |
| 2.431 |
| 2.486 |
| 2.486 |
| 2.647 |
| 2.771 |
| 2.796 |
| 2.796 |
| 2.912 |
| 3.092 |
| 3.092 |
| 3.138 |
| 3.138 |
| 3.680 |
| 3.786 |
| 3.786 |
| 4.230 |
| 4.900 |
| 4.900 |
| 5.358 |
| 5.816 |
| 5.816 |
| 6.353 |
| 6.624 |
| 6.624 |
| 7.639 |
| Property |
Value |
| from where |
JVASP-6379 |