I6Zr2
MatHub2d-790-I6Zr2
| Property |
Value |
| Space group |
(189, 'P-62m') |
| Crystal system |
hexagonal |
| Magnetic |
Yes |
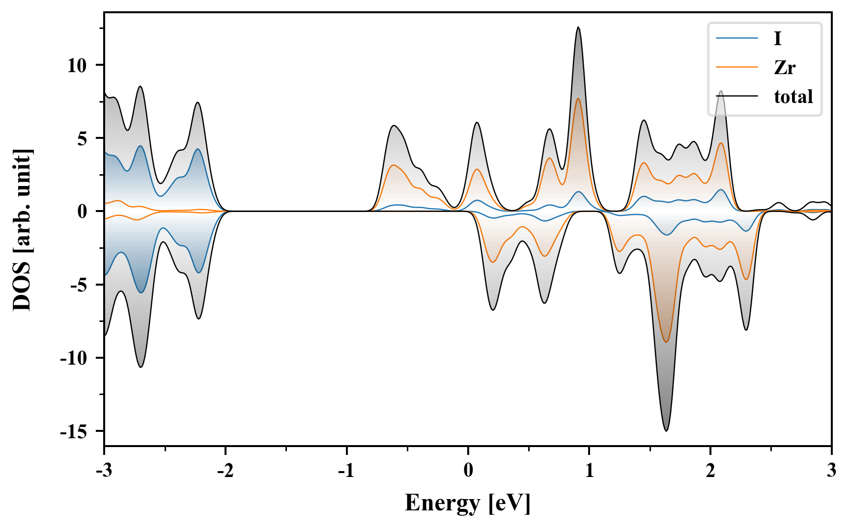
| Band gap (PBE) (eV) |
0.00 |
| Free energy (eV) |
-32.964 |
| Free energy / atom (eV) |
-4.121 |
Lattice Parameters (basic)
| a, b, c (Å): | 7.100 | 7.100 | 30.000 |
| α, β, γ (°): | 90.000 | 90.000 | 120.000 |
Lattice Parameters (computed)
| a, b, c (Å): | 7.099 | 7.099 | 30.000 |
| α, β, γ (°): | 90.000 | 90.000 | 120.000 |
| Property |
Value |
| Band gap |
0.00 eV |
| E-fermi |
-1.940 eV |
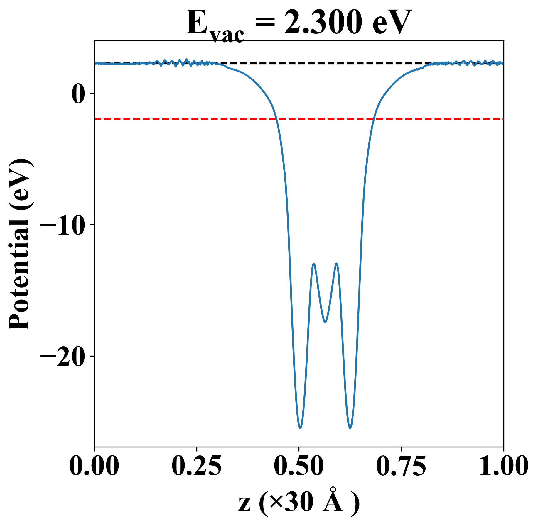
| Vacuum level |
2.300 eV |
| VBM |
-1.942 eV |
| CBM |
-1.936 eV |
| Work function |
4.240 eV |
| Direct gap |
No |
| Property |
Value |
| Band gap |
0.00 eV |
| E-fermi |
-1.940 eV |
| Vacuum level |
2.300 eV |
| VBM |
-1.942 eV |
| CBM |
-1.936 eV |
| Work function |
4.240 eV |
| Cij (N/m) |
xx |
yy |
xy |
| xx |
14.845 |
5.215 |
0.000 |
| yy |
5.215 |
14.845 |
0.000 |
| xy |
0.000 |
0.000 |
4.815 |
| Phonon mode at Γ point (THz) |
| -0.002 |
| -0.001 |
| 0.002 |
| 1.011 |
| 1.011 |
| 1.512 |
| 1.677 |
| 1.677 |
| 1.785 |
| 2.332 |
| 2.339 |
| 2.339 |
| 2.682 |
| 2.682 |
| 3.191 |
| 3.191 |
| 3.593 |
| 3.771 |
| 4.687 |
| 4.687 |
| 4.945 |
| 5.264 |
| 5.264 |
| 6.505 |
| Property |
Value |
| from where |
c2db-1346 |