I6Zr2
MatHub2d-789-I6Zr2
| Property |
Value |
| Space group |
(162, 'P-31m') |
| Crystal system |
hexagonal |
| Magnetic |
Yes |
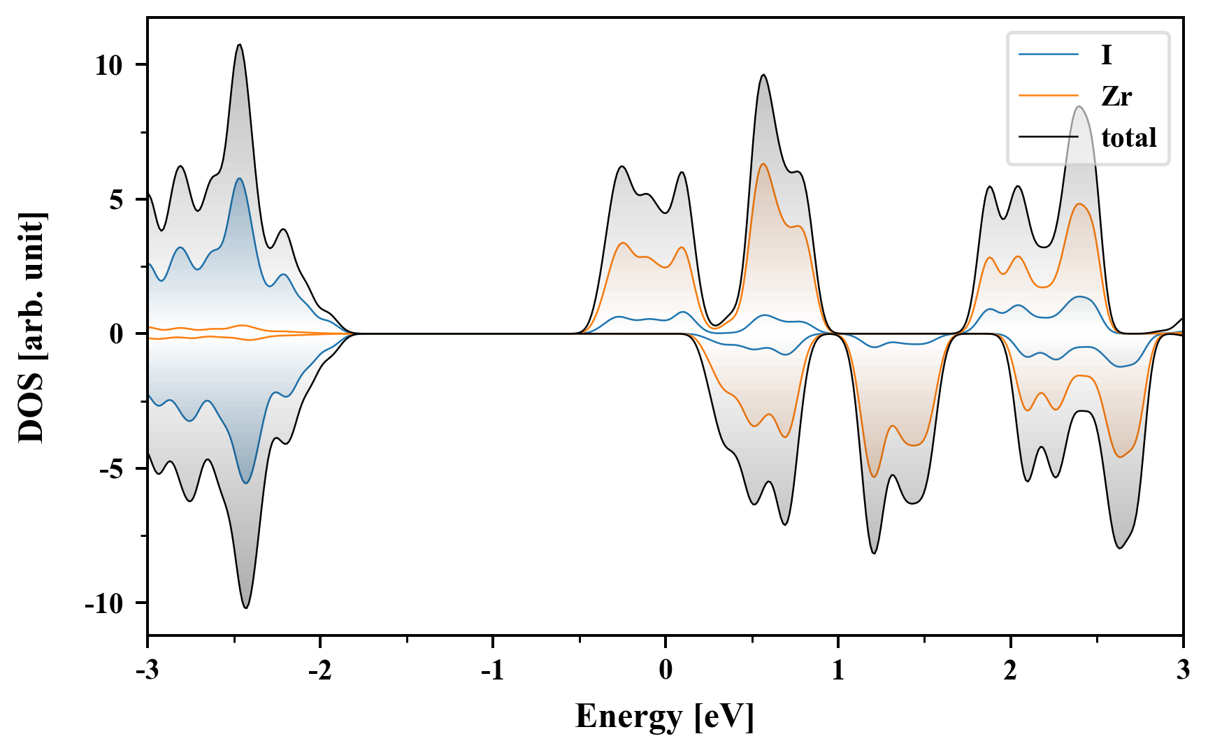
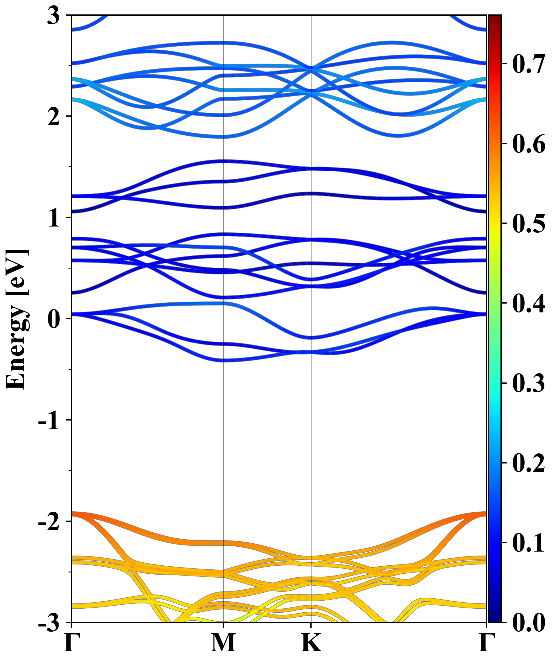
| Band gap (PBE) (eV) |
0.00 |
| Free energy (eV) |
-33.243 |
| Free energy / atom (eV) |
-4.155 |
Lattice Parameters (basic)
| a, b, c (Å): | 7.114 | 7.114 | 30.000 |
| α, β, γ (°): | 90.000 | 90.000 | 120.000 |
Lattice Parameters (computed)
| a, b, c (Å): | 7.114 | 7.114 | 30.000 |
| α, β, γ (°): | 90.000 | 90.000 | 120.000 |
| Property |
Value |
| Band gap |
0.00 eV |
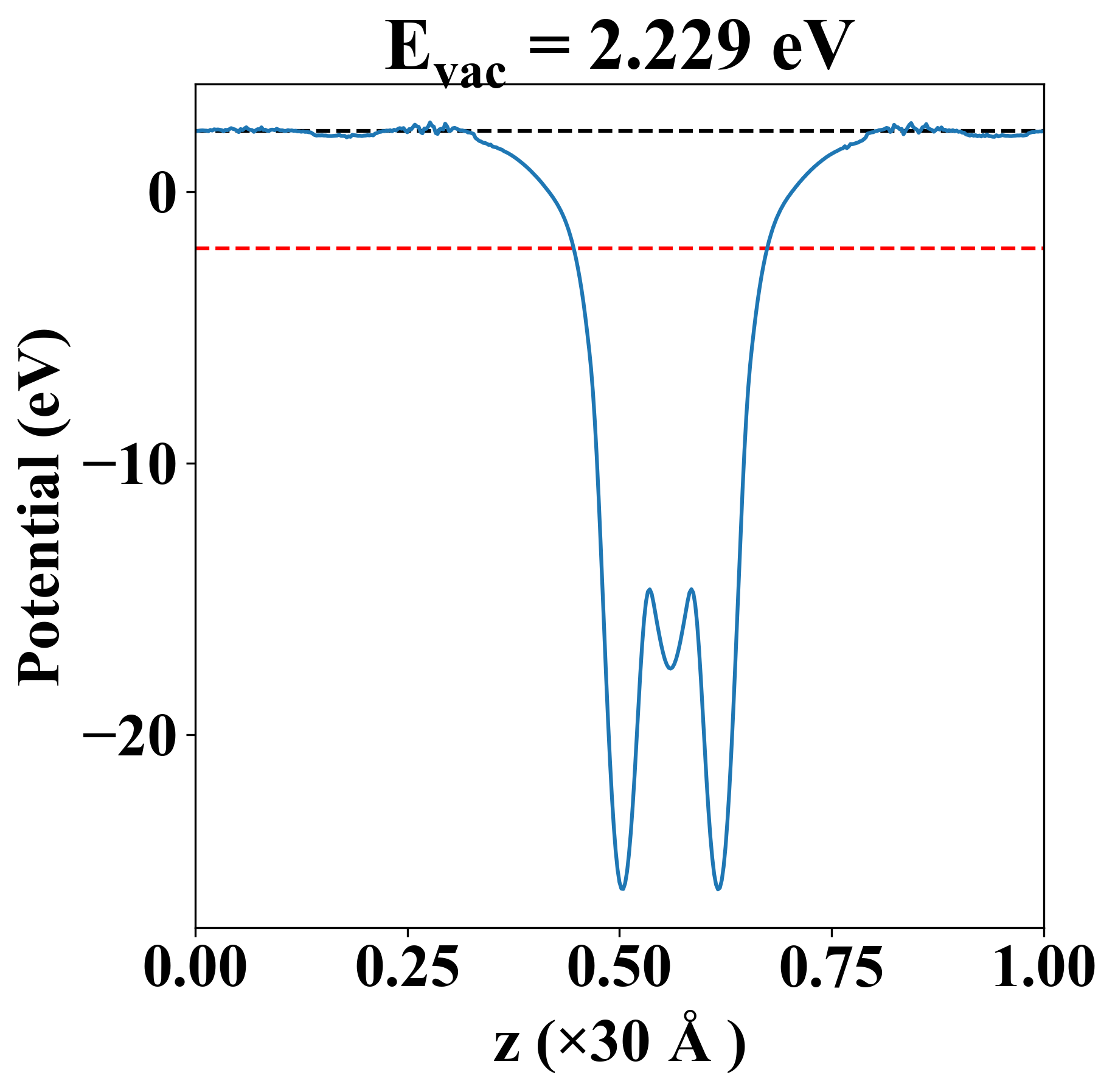
| E-fermi |
-2.086 eV |
| Vacuum level |
2.229 eV |
| VBM |
-2.087 eV |
| CBM |
-2.085 eV |
| Work function |
4.314 eV |
| Direct gap |
No |
| Property |
Value |
| Band gap |
0.00 eV |
| E-fermi |
-2.086 eV |
| Vacuum level |
2.229 eV |
| VBM |
-2.087 eV |
| CBM |
-2.085 eV |
| Work function |
4.314 eV |
| Cij (N/m) |
xx |
yy |
xy |
| xx |
19.743 |
4.362 |
0.000 |
| yy |
4.362 |
19.743 |
-0.000 |
| xy |
0.000 |
-0.000 |
7.690 |
| Phonon mode at Γ point (THz) |
| -2.206 |
| -2.206 |
| -0.003 |
| -0.002 |
| -0.002 |
| 1.222 |
| 1.222 |
| 1.727 |
| 1.741 |
| 1.741 |
| 1.824 |
| 1.947 |
| 2.756 |
| 2.756 |
| 3.214 |
| 3.214 |
| 3.521 |
| 3.636 |
| 4.202 |
| 4.202 |
| 4.285 |
| 4.436 |
| 4.436 |
| 6.199 |
| Property |
Value |
| from where |
c2db-1212 |