I6Y2
MatHub2d-788-I6Y2
| Property |
Value |
| Space group |
(189, 'P-62m') |
| Crystal system |
hexagonal |
| Magnetic |
No |
| Band gap (PBE) (eV) |
2.65 |
| Free energy (eV) |
-33.034 |
| Free energy / atom (eV) |
-4.129 |
Lattice Parameters (basic)
| a, b, c (Å): | 8.082 | 8.082 | 30.000 |
| α, β, γ (°): | 90.000 | 90.000 | 120.000 |
Lattice Parameters (computed)
| a, b, c (Å): | 8.083 | 8.083 | 30.000 |
| α, β, γ (°): | 90.000 | 90.000 | 120.000 |
| Property |
Value |
| Band gap |
2.65 eV |
| E-fermi |
-4.461 eV |
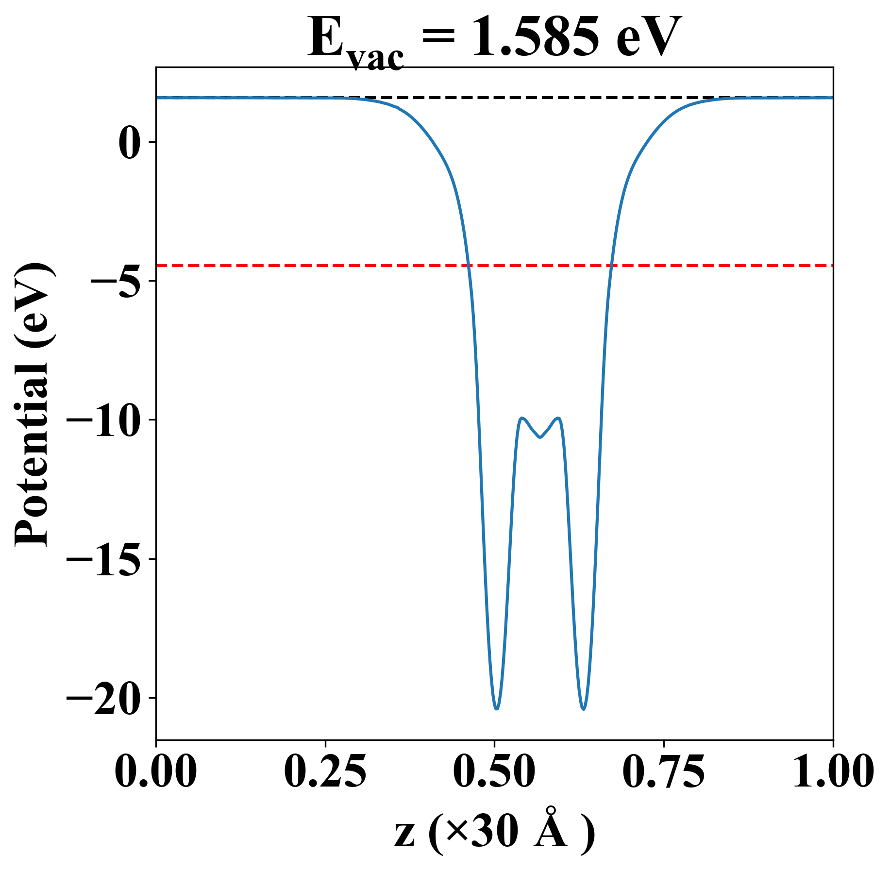
| Vacuum level |
1.585 eV |
| VBM |
-4.770 eV |
| CBM |
-2.124 eV |
| Work function |
6.046 eV |
| Direct gap |
Yes |
| Property |
Value |
| Band gap |
2.61 eV |
| E-fermi |
-4.495 eV |
| VBM |
-4.717 eV |
| CBM |
-2.105 eV |
| Free energy (eV) |
-33.901 |
| Free energy / atom (eV) |
-4.238 |
| Property |
Value |
| Band gap |
2.65 eV |
| E-fermi |
-4.461 eV |
| Vacuum level |
1.585 eV |
| VBM |
-4.770 eV |
| CBM |
-2.124 eV |
| Work function |
6.046 eV |
| Cij (N/m) |
xx |
yy |
xy |
| xx |
7.818 |
-2.503 |
-0.000 |
| yy |
-2.503 |
7.818 |
0.000 |
| xy |
-0.000 |
0.000 |
5.161 |
| Phonon mode at Γ point (THz) |
| -0.629 |
| -0.014 |
| -0.005 |
| -0.005 |
| 0.466 |
| 0.796 |
| 0.796 |
| 1.834 |
| 1.856 |
| 1.856 |
| 2.229 |
| 2.229 |
| 2.362 |
| 2.362 |
| 2.598 |
| 2.598 |
| 3.308 |
| 3.620 |
| 4.163 |
| 4.163 |
| 4.174 |
| 4.979 |
| 4.979 |
| 6.224 |
| Property |
Value |
| from where |
c2db-1343 |