I6Y2
MatHub2d-787-I6Y2
| Property |
Value |
| Space group |
(162, 'P-31m') |
| Crystal system |
hexagonal |
| Magnetic |
No |
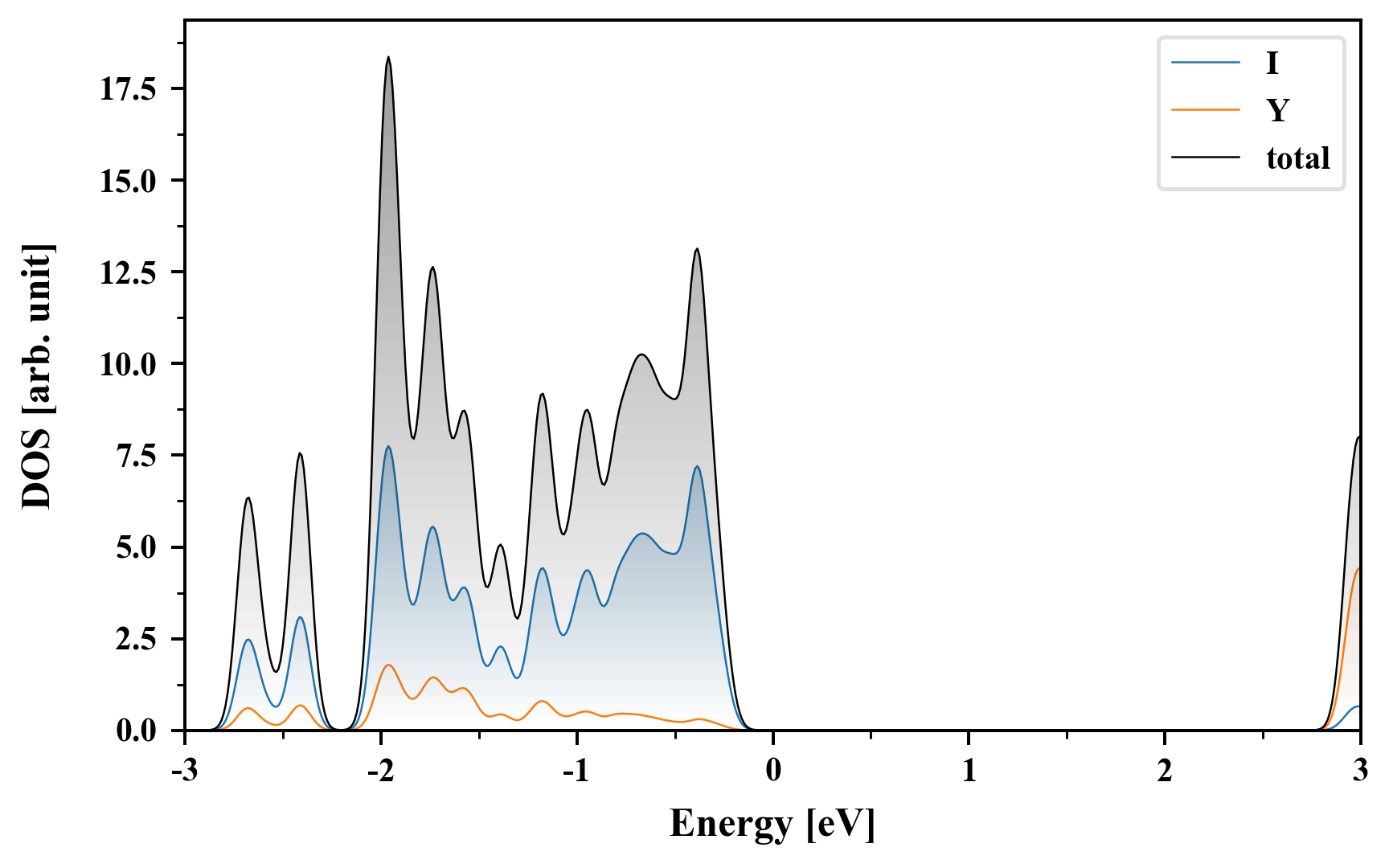
| Band gap (PBE) (eV) |
3.14 |
| Free energy (eV) |
-33.541 |
| Free energy / atom (eV) |
-4.193 |
Lattice Parameters (basic)
| a, b, c (Å): | 7.512 | 7.512 | 30.000 |
| α, β, γ (°): | 90.000 | 90.000 | 120.000 |
Lattice Parameters (computed)
| a, b, c (Å): | 7.734 | 7.734 | 30.000 |
| α, β, γ (°): | 90.000 | 90.000 | 120.000 |
| Property |
Value |
| Band gap |
3.14 eV |
| E-fermi |
-4.634 eV |
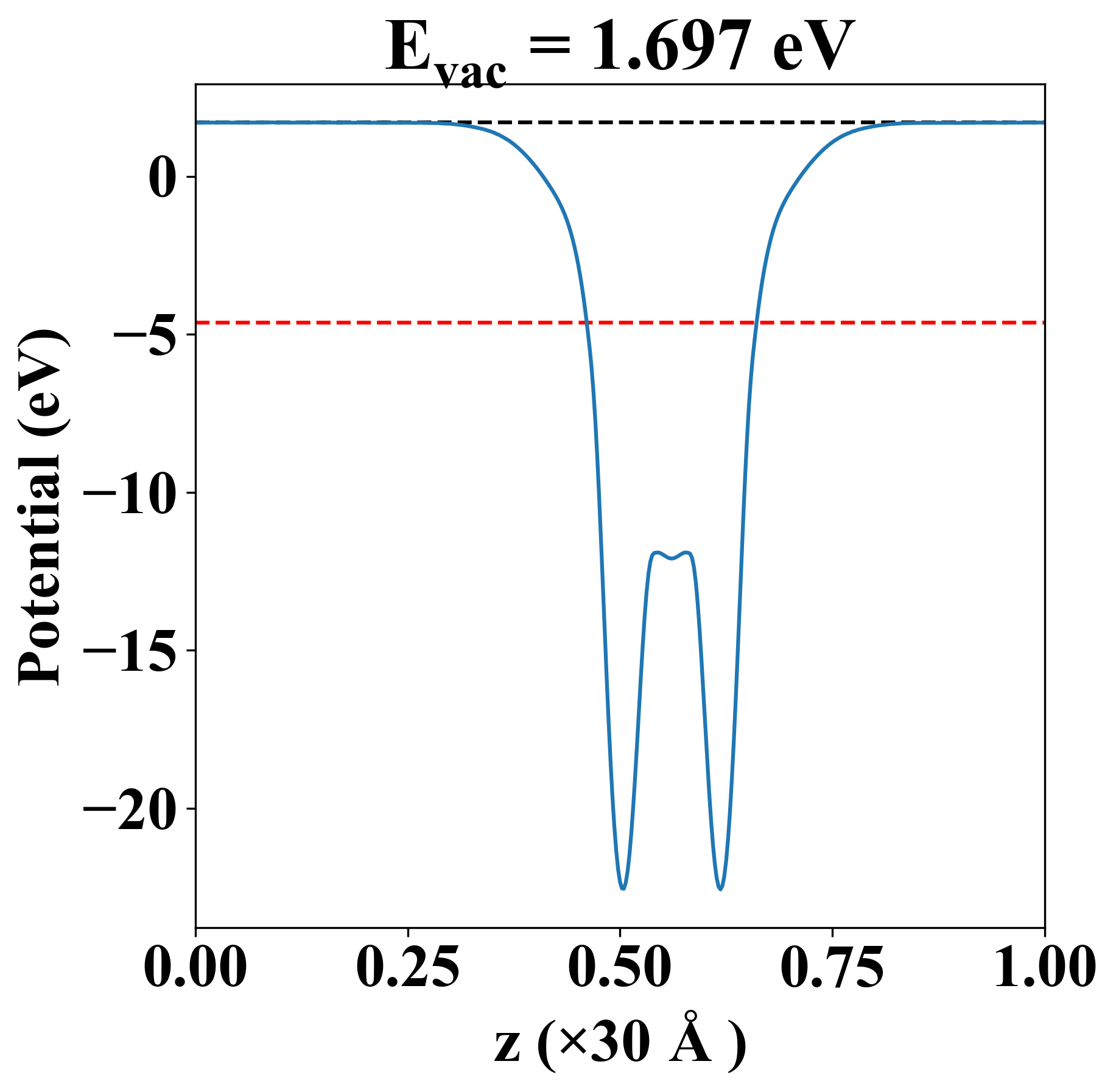
| Vacuum level |
1.697 eV |
| VBM |
-4.908 eV |
| CBM |
-1.764 eV |
| Work function |
6.331 eV |
| Direct gap |
No |
| Property |
Value |
| Band gap |
3.14 eV |
| E-fermi |
-4.634 eV |
| Vacuum level |
1.697 eV |
| VBM |
-4.908 eV |
| CBM |
-1.764 eV |
| Work function |
6.331 eV |
| Cij (N/m) |
xx |
yy |
xy |
| xx |
12.427 |
4.172 |
-0.000 |
| yy |
4.172 |
12.427 |
0.000 |
| xy |
-0.000 |
0.000 |
4.127 |
| Phonon mode at Γ point (THz) |
| -0.018 |
| -0.002 |
| -0.000 |
| 0.853 |
| 0.853 |
| 0.994 |
| 1.189 |
| 1.439 |
| 1.448 |
| 1.448 |
| 2.080 |
| 2.080 |
| 2.564 |
| 2.564 |
| 2.692 |
| 2.692 |
| 3.189 |
| 3.330 |
| 3.786 |
| 4.044 |
| 4.044 |
| 4.881 |
| 4.881 |
| 5.858 |
| Property |
Value |
| from where |
JVASP-14427 |