I6W2
MatHub2d-786-I6W2
| Property |
Value |
| Space group |
(189, 'P-62m') |
| Crystal system |
hexagonal |
| Magnetic |
No |
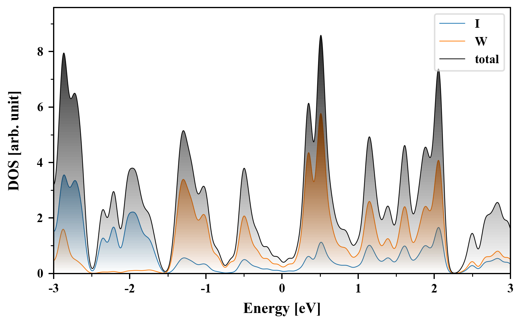
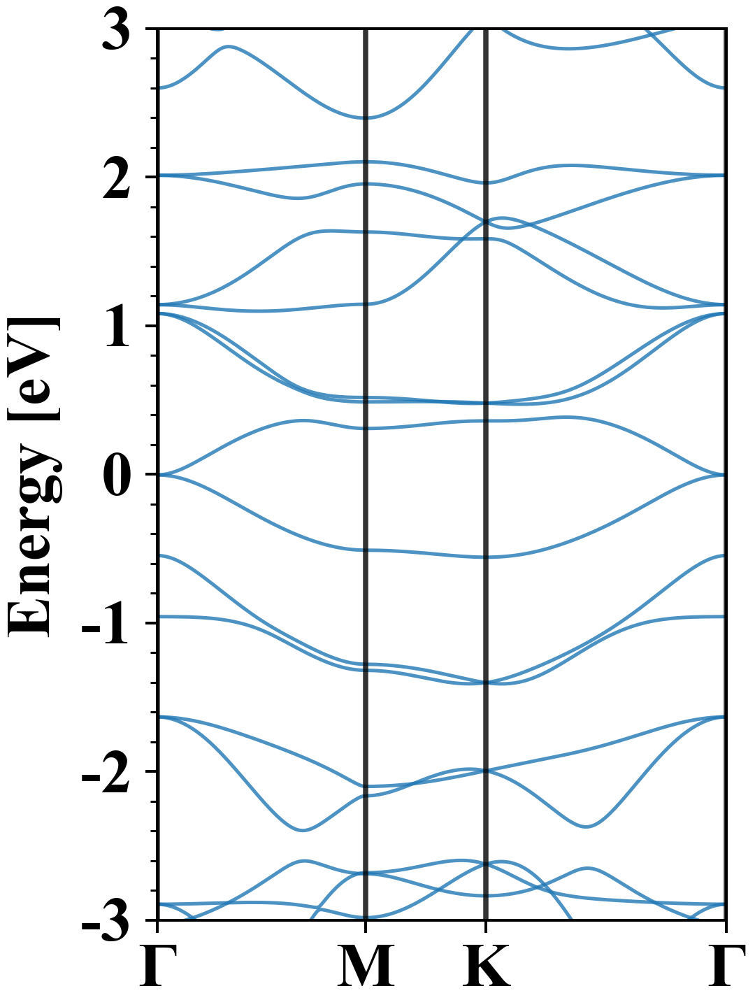
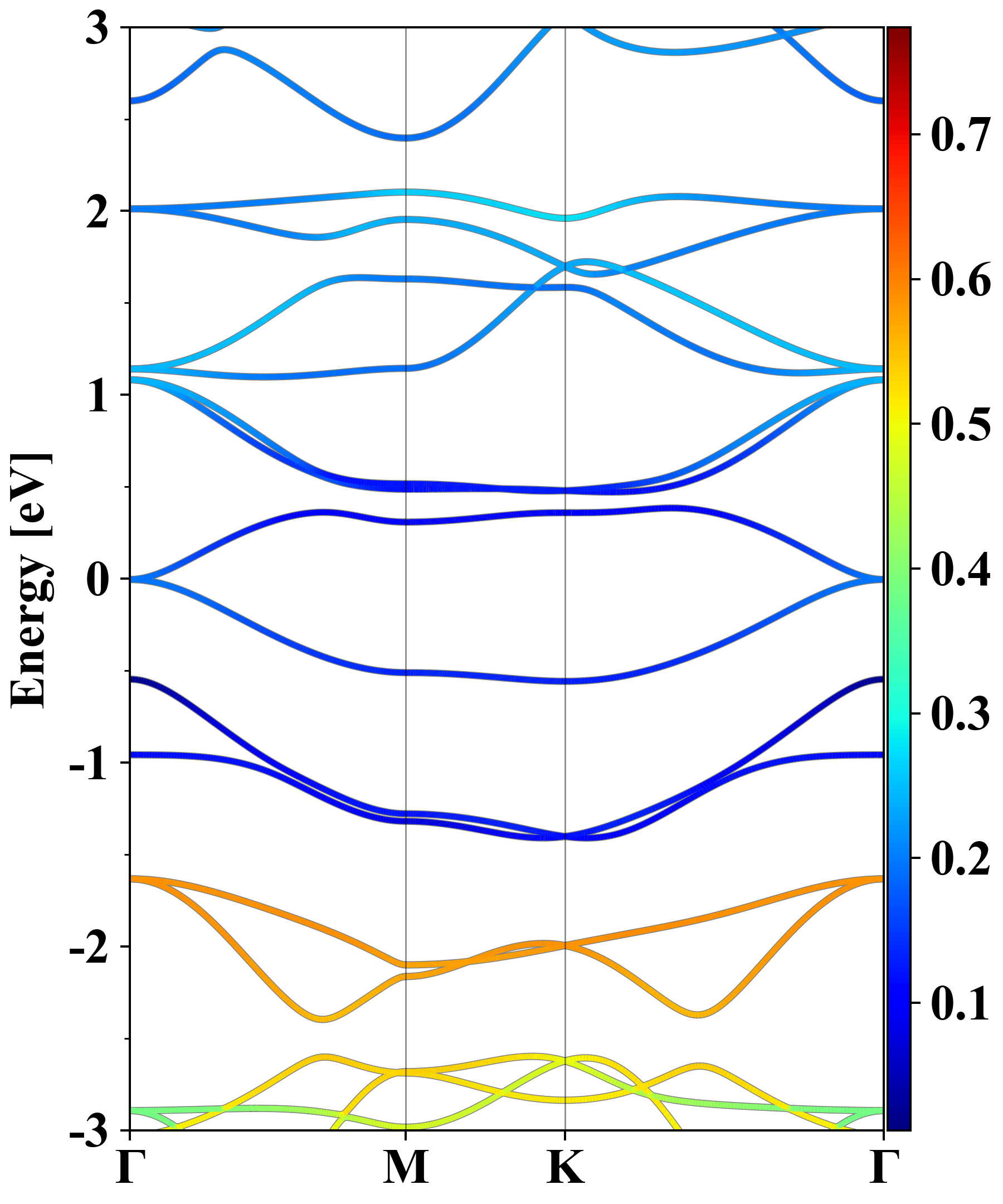
| Band gap (PBE) (eV) |
0.00 |
| Free energy (eV) |
-28.389 |
| Free energy / atom (eV) |
-3.549 |
Lattice Parameters (basic)
| a, b, c (Å): | 6.508 | 6.508 | 30.000 |
| α, β, γ (°): | 90.000 | 90.000 | 120.000 |
Lattice Parameters (computed)
| a, b, c (Å): | 6.519 | 6.519 | 30.000 |
| α, β, γ (°): | 90.000 | 90.000 | 120.000 |
| Property |
Value |
| Band gap |
0.00 eV |
| E-fermi |
-1.743 eV |
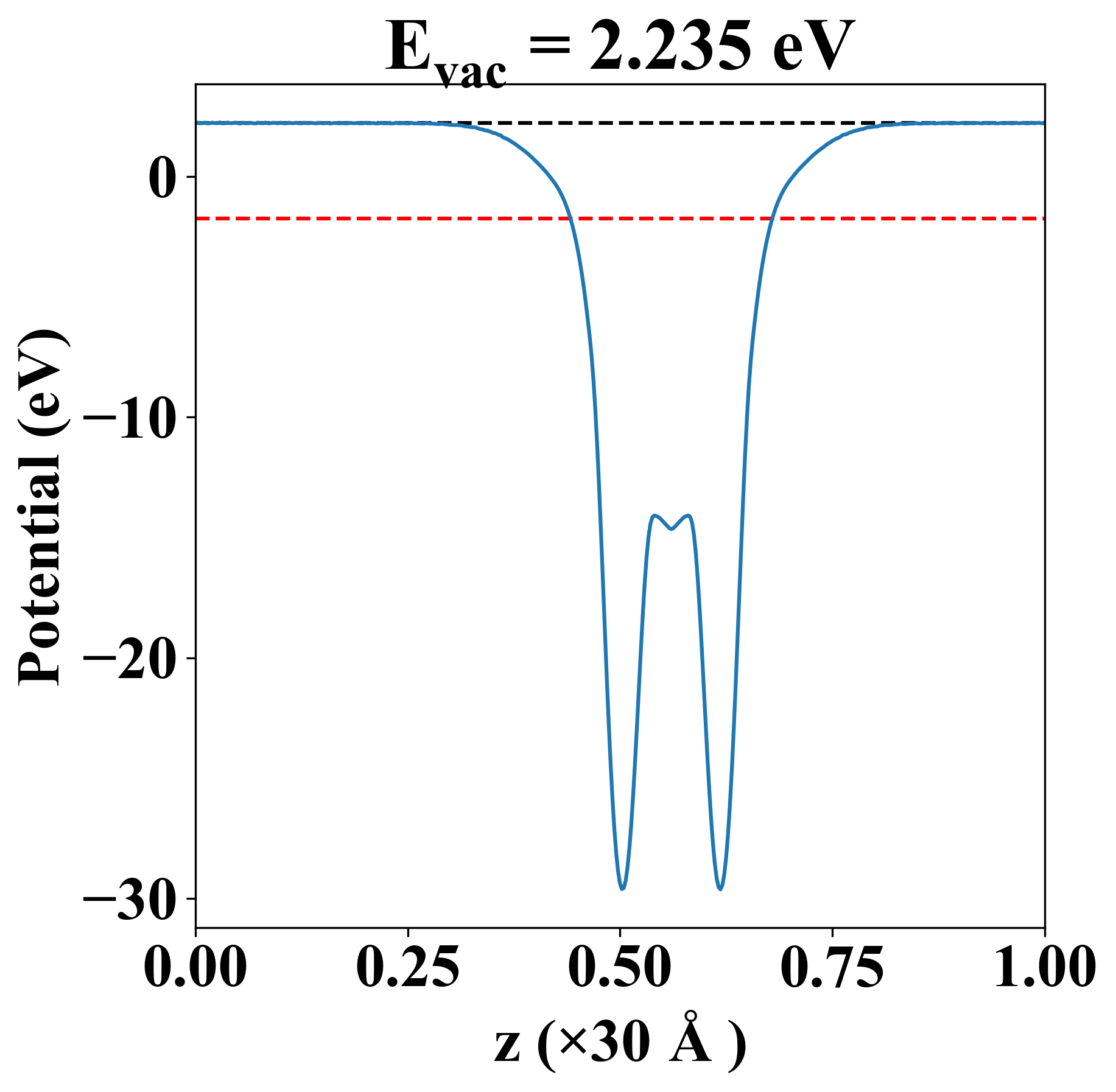
| Vacuum level |
2.235 eV |
| VBM |
-1.744 eV |
| CBM |
-1.742 eV |
| Work function |
3.978 eV |
| Direct gap |
No |
| Property |
Value |
| Band gap |
0.00 eV |
| E-fermi |
-1.743 eV |
| Vacuum level |
2.235 eV |
| VBM |
-1.744 eV |
| CBM |
-1.742 eV |
| Work function |
3.978 eV |
| Cij (N/m) |
xx |
yy |
xy |
| xx |
42.833 |
10.596 |
-0.000 |
| yy |
10.596 |
42.833 |
0.000 |
| xy |
-0.000 |
0.000 |
16.118 |
| Phonon mode at Γ point (THz) |
| -0.002 |
| -0.002 |
| 0.000 |
| 1.372 |
| 1.372 |
| 1.896 |
| 1.896 |
| 2.361 |
| 2.778 |
| 2.858 |
| 2.999 |
| 2.999 |
| 3.360 |
| 3.360 |
| 3.900 |
| 3.900 |
| 4.237 |
| 4.408 |
| 5.009 |
| 5.009 |
| 5.134 |
| 5.134 |
| 5.334 |
| 5.548 |
| Property |
Value |
| from where |
c2db-1339 |