I6W2
MatHub2d-785-I6W2
| Property |
Value |
| Space group |
(162, 'P-31m') |
| Crystal system |
hexagonal |
| Magnetic |
Yes |
| Band gap (PBE) (eV) |
0.00 |
| Free energy (eV) |
-31.504 |
| Free energy / atom (eV) |
-3.938 |
Lattice Parameters (basic)
| a, b, c (Å): | 7.201 | 7.201 | 30.000 |
| α, β, γ (°): | 90.000 | 90.000 | 120.000 |
Lattice Parameters (computed)
| a, b, c (Å): | 7.225 | 7.225 | 30.000 |
| α, β, γ (°): | 90.000 | 90.000 | 120.000 |
| Property |
Value |
| Band gap |
0.00 eV |
| E-fermi |
-3.429 eV |
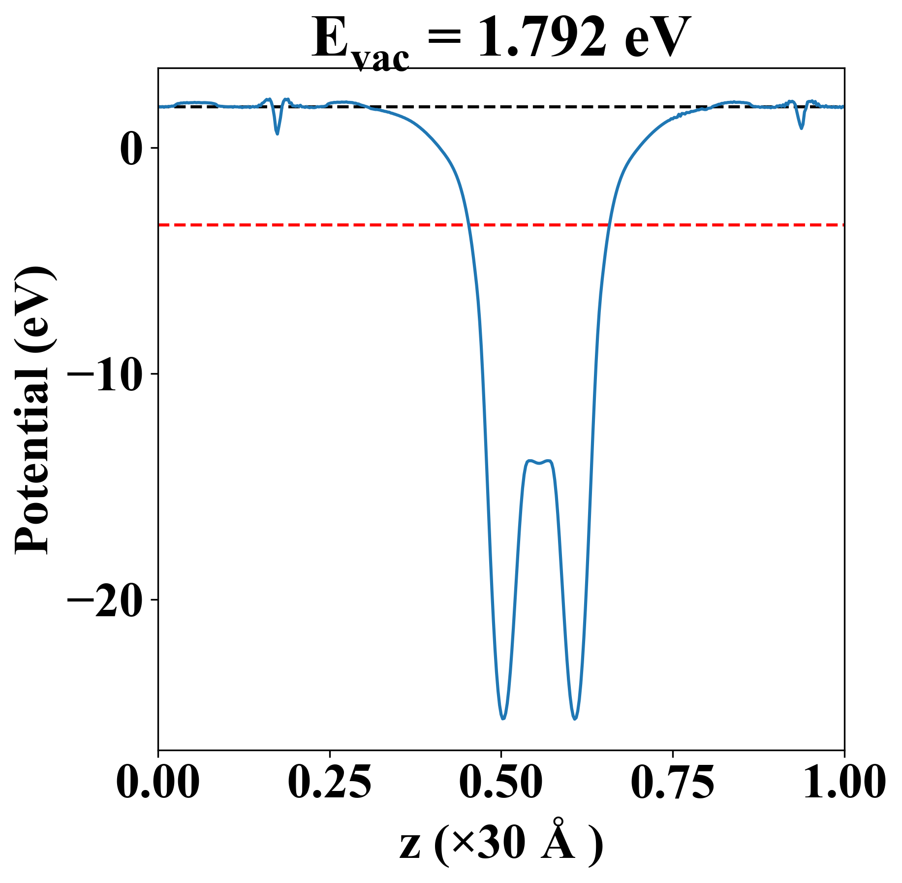
| Vacuum level |
1.792 eV |
| VBM |
-3.660 eV |
| CBM |
-1.600 eV |
| Work function |
5.220 eV |
| Direct gap |
No |
| Property |
Value |
| Band gap |
0.00 eV |
| E-fermi |
-3.429 eV |
| Vacuum level |
1.792 eV |
| VBM |
-3.660 eV |
| CBM |
-1.600 eV |
| Work function |
5.220 eV |
| Cij (N/m) |
xx |
yy |
xy |
| xx |
-4.315 |
-17.835 |
0.000 |
| yy |
-17.835 |
-4.315 |
0.000 |
| xy |
0.000 |
0.000 |
6.760 |
| Phonon mode at Γ point (THz) |
| -1.260 |
| -1.260 |
| -0.001 |
| -0.001 |
| 0.001 |
| 1.536 |
| 1.536 |
| 1.645 |
| 1.764 |
| 2.076 |
| 2.265 |
| 2.265 |
| 2.946 |
| 2.946 |
| 3.007 |
| 3.007 |
| 3.286 |
| 3.313 |
| 3.387 |
| 3.387 |
| 3.643 |
| 3.679 |
| 3.883 |
| 3.883 |
| Property |
Value |
| from where |
c2db-1205 |