I6V2
MatHub2d-784-I6V2
| Property |
Value |
| Space group |
(189, 'P-62m') |
| Crystal system |
hexagonal |
| Magnetic |
Yes |
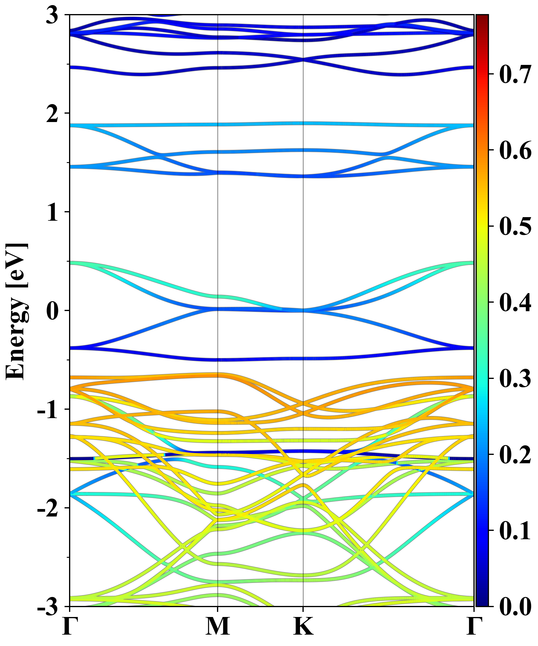
| Band gap (PBE) (eV) |
0.00 |
| Free energy (eV) |
-26.435 |
| Free energy / atom (eV) |
-3.304 |
Lattice Parameters (basic)
| a, b, c (Å): | 7.347 | 7.347 | 30.000 |
| α, β, γ (°): | 90.000 | 90.000 | 120.000 |
Lattice Parameters (computed)
| a, b, c (Å): | 7.384 | 7.384 | 30.000 |
| α, β, γ (°): | 90.000 | 90.000 | 120.000 |
| Property |
Value |
| Band gap |
0.00 eV |
| E-fermi |
-3.629 eV |
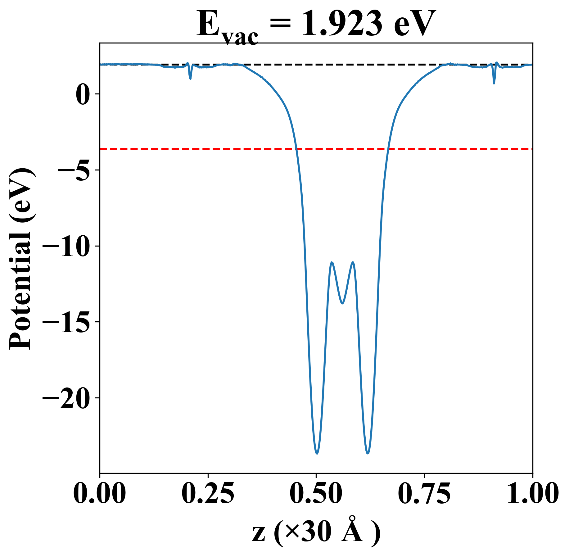
| Vacuum level |
1.923 eV |
| VBM |
-3.629 eV |
| CBM |
-3.629 eV |
| Work function |
5.552 eV |
| Direct gap |
No |
| Property |
Value |
| Band gap |
0.00 eV |
| E-fermi |
-3.629 eV |
| Vacuum level |
1.923 eV |
| VBM |
-3.629 eV |
| CBM |
-3.629 eV |
| Work function |
5.552 eV |
| Cij (N/m) |
xx |
yy |
xy |
| xx |
14.907 |
-3.199 |
0.000 |
| yy |
-3.199 |
14.907 |
0.000 |
| xy |
0.000 |
0.000 |
9.053 |
| Phonon mode at Γ point (THz) |
| -0.007 |
| -0.002 |
| -0.002 |
| 1.050 |
| 1.213 |
| 1.232 |
| 1.232 |
| 1.966 |
| 1.966 |
| 2.545 |
| 2.545 |
| 2.713 |
| 2.713 |
| 2.887 |
| 2.887 |
| 3.107 |
| 3.456 |
| 3.608 |
| 5.071 |
| 5.114 |
| 5.114 |
| 5.703 |
| 5.703 |
| 6.448 |
| Property |
Value |
| from where |
c2db-1335 |