I6V2
MatHub2d-783-I6V2
| Property |
Value |
| Space group |
(162, 'P-31m') |
| Crystal system |
hexagonal |
| Magnetic |
Yes |
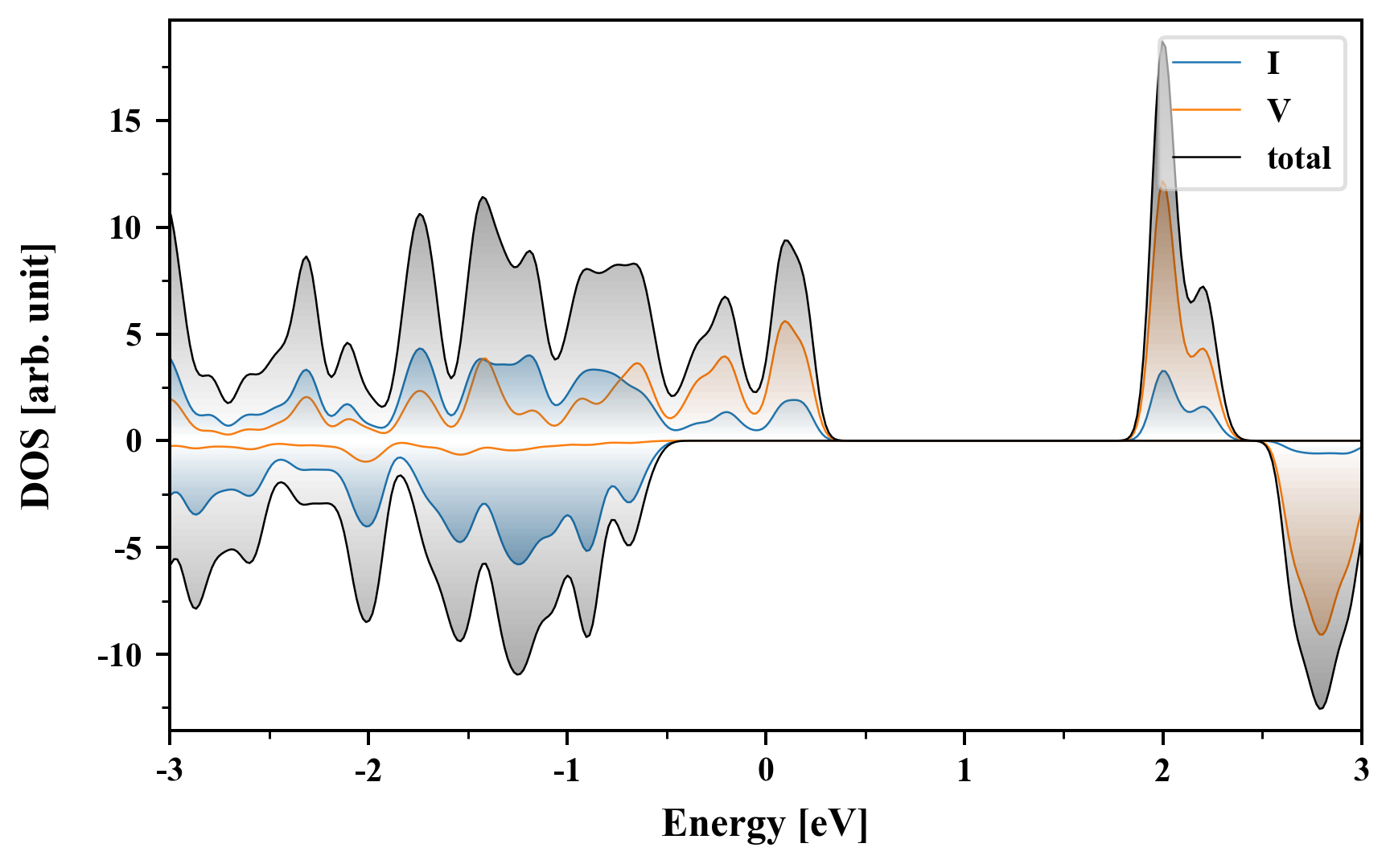
| Band gap (PBE) (eV) |
0.00 |
| Free energy (eV) |
-27.293 |
| Free energy / atom (eV) |
-3.412 |
Lattice Parameters (basic)
| a, b, c (Å): | 7.153 | 7.153 | 30.000 |
| α, β, γ (°): | 90.000 | 90.000 | 120.000 |
Lattice Parameters (computed)
| a, b, c (Å): | 7.198 | 7.198 | 30.000 |
| α, β, γ (°): | 90.000 | 90.000 | 120.000 |
| Property |
Value |
| Band gap |
0.00 eV |
| E-fermi |
-3.796 eV |
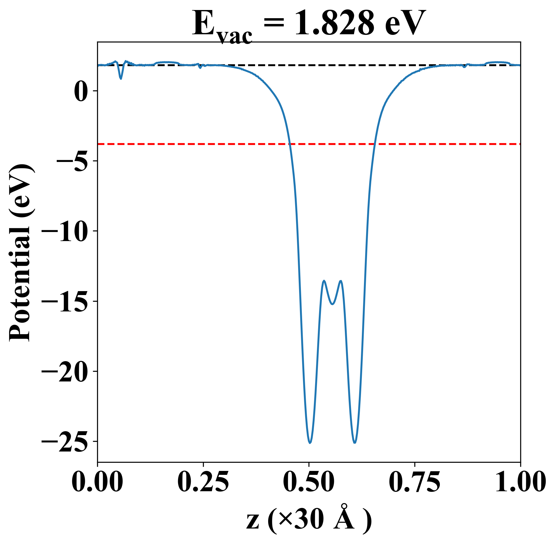
| Vacuum level |
1.828 eV |
| VBM |
-3.797 eV |
| CBM |
-3.795 eV |
| Work function |
5.624 eV |
| Direct gap |
No |
| Property |
Value |
| Band gap |
0.00 eV |
| E-fermi |
-3.796 eV |
| Vacuum level |
1.828 eV |
| VBM |
-3.797 eV |
| CBM |
-3.795 eV |
| Work function |
5.624 eV |
| Cij (N/m) |
xx |
yy |
xy |
| xx |
15.763 |
0.635 |
-0.000 |
| yy |
0.635 |
15.763 |
0.000 |
| xy |
-0.000 |
0.000 |
7.564 |
| Phonon mode at Γ point (THz) |
| -0.008 |
| -0.008 |
| -0.007 |
| 1.052 |
| 1.052 |
| 1.464 |
| 1.731 |
| 2.004 |
| 2.004 |
| 2.034 |
| 2.034 |
| 2.544 |
| 2.650 |
| 2.650 |
| 2.750 |
| 2.750 |
| 3.175 |
| 3.466 |
| 4.666 |
| 4.863 |
| 4.863 |
| 4.944 |
| 4.944 |
| 5.851 |
| Property |
Value |
| from where |
c2db-1201 |