I6Tl2
MatHub2d-782-I6Tl2
| Property |
Value |
| Space group |
(189, 'P-62m') |
| Crystal system |
hexagonal |
| Magnetic |
No |
| Band gap (PBE) (eV) |
0.31 |
| Free energy (eV) |
-14.479 |
| Free energy / atom (eV) |
-1.810 |
Lattice Parameters (basic)
| a, b, c (Å): | 7.791 | 7.791 | 30.000 |
| α, β, γ (°): | 90.000 | 90.000 | 120.000 |
Lattice Parameters (computed)
| a, b, c (Å): | 7.792 | 7.792 | 30.000 |
| α, β, γ (°): | 90.000 | 90.000 | 120.000 |
| Property |
Value |
| Band gap |
0.31 eV |
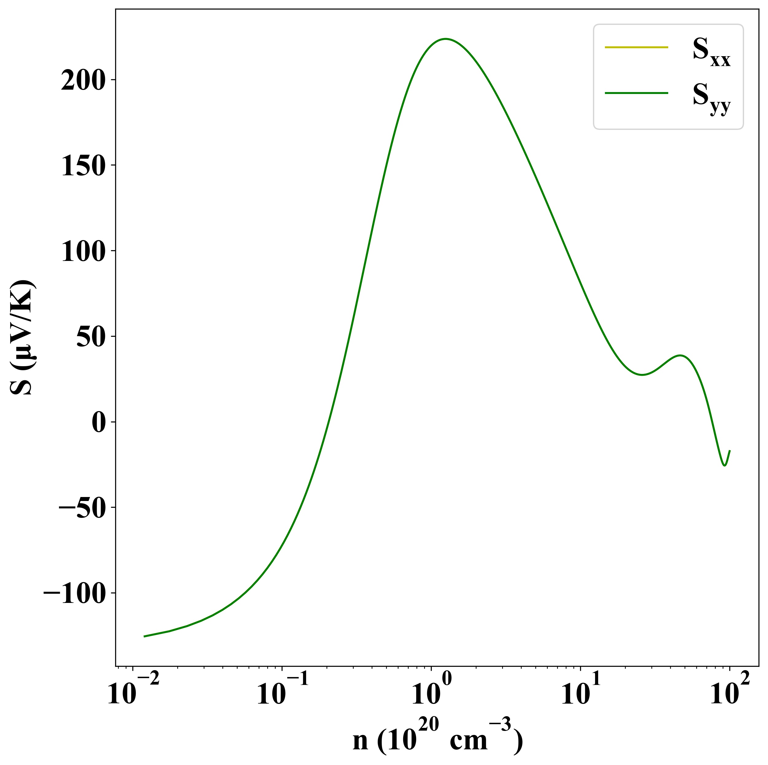
| E-fermi |
-4.386 eV |
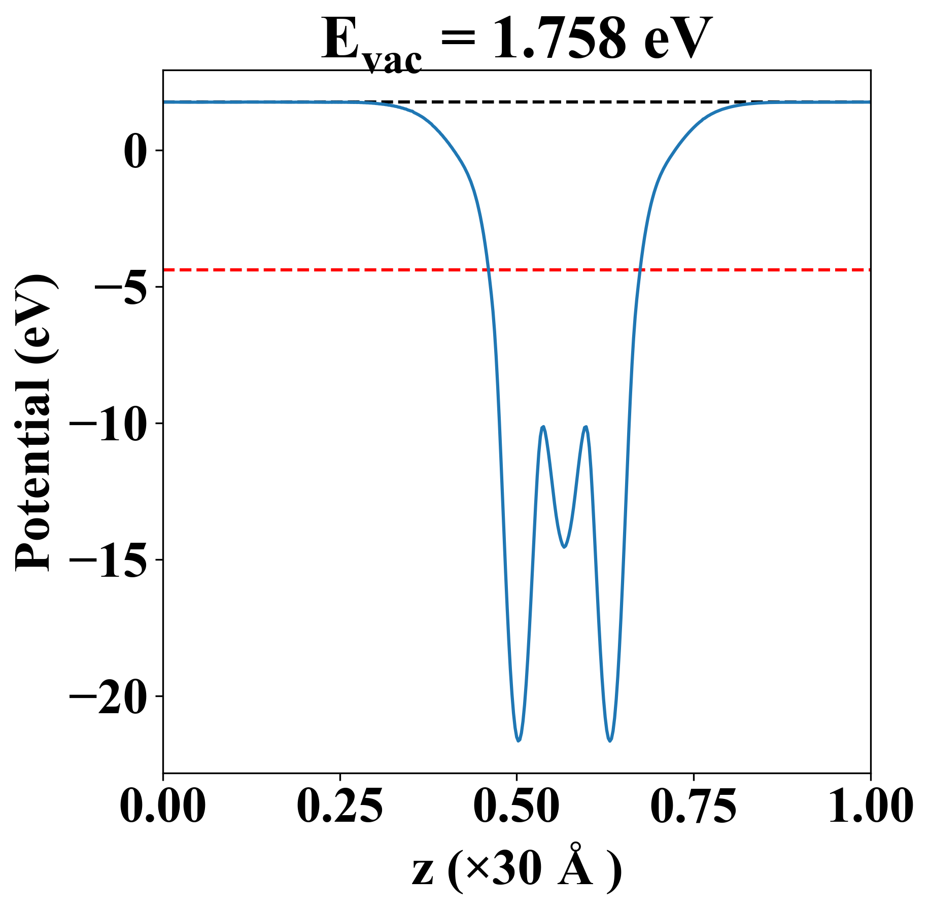
| Vacuum level |
1.758 eV |
| VBM |
-4.543 eV |
| CBM |
-4.236 eV |
| Work function |
6.143 eV |
| Direct gap |
Yes |
| Property |
Value |
| Band gap |
0.11 eV |
| E-fermi |
-4.133 eV |
| VBM |
-4.186 eV |
| CBM |
-4.079 eV |
| Free energy (eV) |
-16.118 |
| Free energy / atom (eV) |
-2.015 |
| Property |
Value |
| Band gap |
0.31 eV |
| E-fermi |
-4.386 eV |
| Vacuum level |
1.758 eV |
| VBM |
-4.543 eV |
| CBM |
-4.236 eV |
| Work function |
6.143 eV |
| Cij (N/m) |
xx |
yy |
xy |
| xx |
6.099 |
-1.901 |
0.000 |
| yy |
-1.901 |
6.099 |
0.000 |
| xy |
0.000 |
0.000 |
4.000 |
| Phonon mode at Γ point (THz) |
| -1.326 |
| -1.326 |
| -0.249 |
| -0.002 |
| -0.002 |
| -0.001 |
| 0.351 |
| 0.855 |
| 0.855 |
| 1.024 |
| 1.246 |
| 1.246 |
| 1.947 |
| 1.947 |
| 1.966 |
| 1.966 |
| 2.238 |
| 2.238 |
| 2.424 |
| 2.738 |
| 2.847 |
| 3.304 |
| 3.304 |
| 3.440 |
| Property |
Value |
| from where |
c2db-1330 |