I6Tl2
MatHub2d-781-I6Tl2
| Property |
Value |
| Space group |
(162, 'P-31m') |
| Crystal system |
hexagonal |
| Magnetic |
No |
| Band gap (PBE) (eV) |
1.02 |
| Free energy (eV) |
-15.303 |
| Free energy / atom (eV) |
-1.913 |
Lattice Parameters (basic)
| a, b, c (Å): | 7.631 | 7.631 | 30.000 |
| α, β, γ (°): | 90.000 | 90.000 | 120.000 |
Lattice Parameters (computed)
| a, b, c (Å): | 7.637 | 7.637 | 30.000 |
| α, β, γ (°): | 90.000 | 90.000 | 120.000 |
| Property |
Value |
| Band gap |
1.02 eV |
| E-fermi |
-4.363 eV |
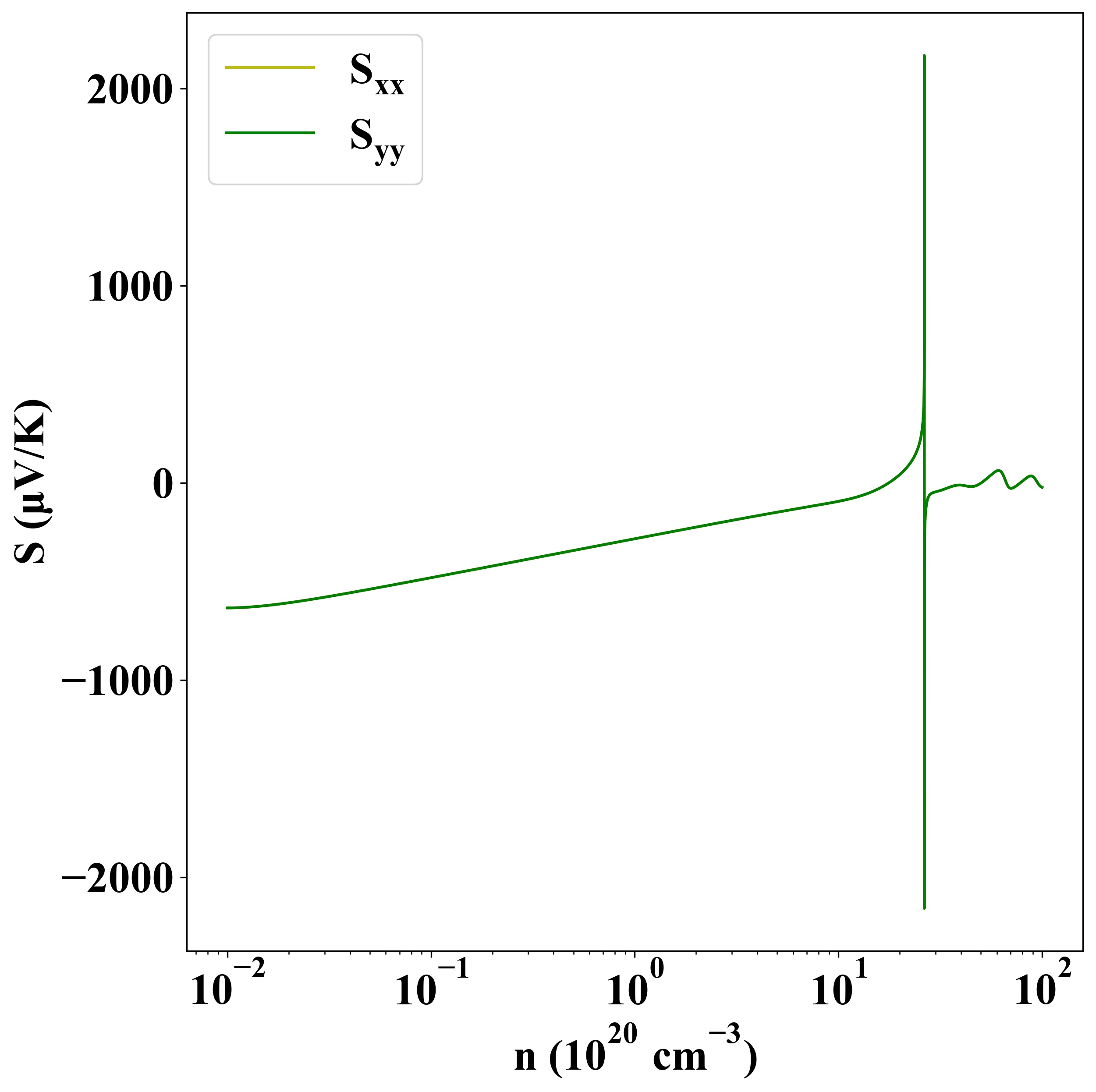
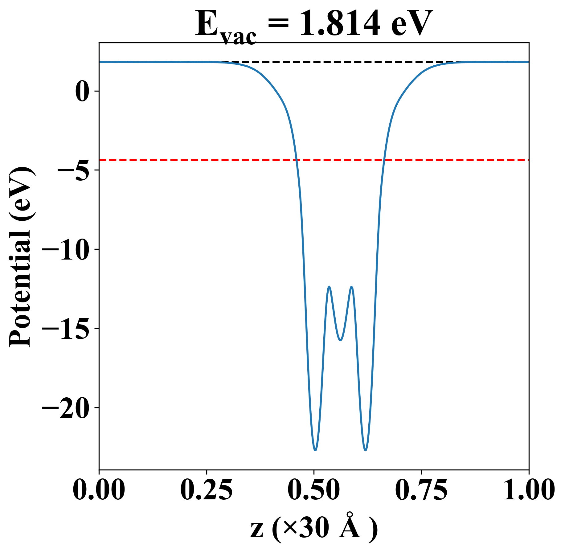
| Vacuum level |
1.814 eV |
| VBM |
-4.627 eV |
| CBM |
-3.610 eV |
| Work function |
6.178 eV |
| Direct gap |
No |
| Property |
Value |
| Band gap |
1.02 eV |
| E-fermi |
-4.363 eV |
| Vacuum level |
1.814 eV |
| VBM |
-4.627 eV |
| CBM |
-3.610 eV |
| Work function |
6.178 eV |
| Cij (N/m) |
xx |
yy |
xy |
| xx |
9.815 |
5.297 |
-0.000 |
| yy |
5.297 |
9.815 |
0.000 |
| xy |
-0.000 |
0.000 |
2.259 |
| Phonon mode at Γ point (THz) |
| -0.005 |
| -0.005 |
| -0.002 |
| 0.629 |
| 0.822 |
| 0.822 |
| 1.044 |
| 1.064 |
| 1.064 |
| 1.351 |
| 1.351 |
| 1.369 |
| 1.737 |
| 1.737 |
| 2.233 |
| 2.233 |
| 2.618 |
| 2.618 |
| 2.648 |
| 2.748 |
| 2.829 |
| 3.332 |
| 3.332 |
| 3.702 |
| Property |
Value |
| from where |
c2db-1198 |