I6Ti2
MatHub2d-780-I6Ti2
| Property |
Value |
| Space group |
(189, 'P-62m') |
| Crystal system |
hexagonal |
| Magnetic |
Yes |
| Band gap (PBE) (eV) |
1.48 |
| Free energy (eV) |
-25.799 |
| Free energy / atom (eV) |
-3.225 |
Lattice Parameters (basic)
| a, b, c (Å): | 7.154 | 7.154 | 30.000 |
| α, β, γ (°): | 90.000 | 90.000 | 120.000 |
Lattice Parameters (computed)
| a, b, c (Å): | 7.709 | 7.709 | 30.000 |
| α, β, γ (°): | 90.000 | 90.000 | 120.000 |
| Property |
Value |
| Band gap |
1.48 eV |
| E-fermi |
-4.021 eV |
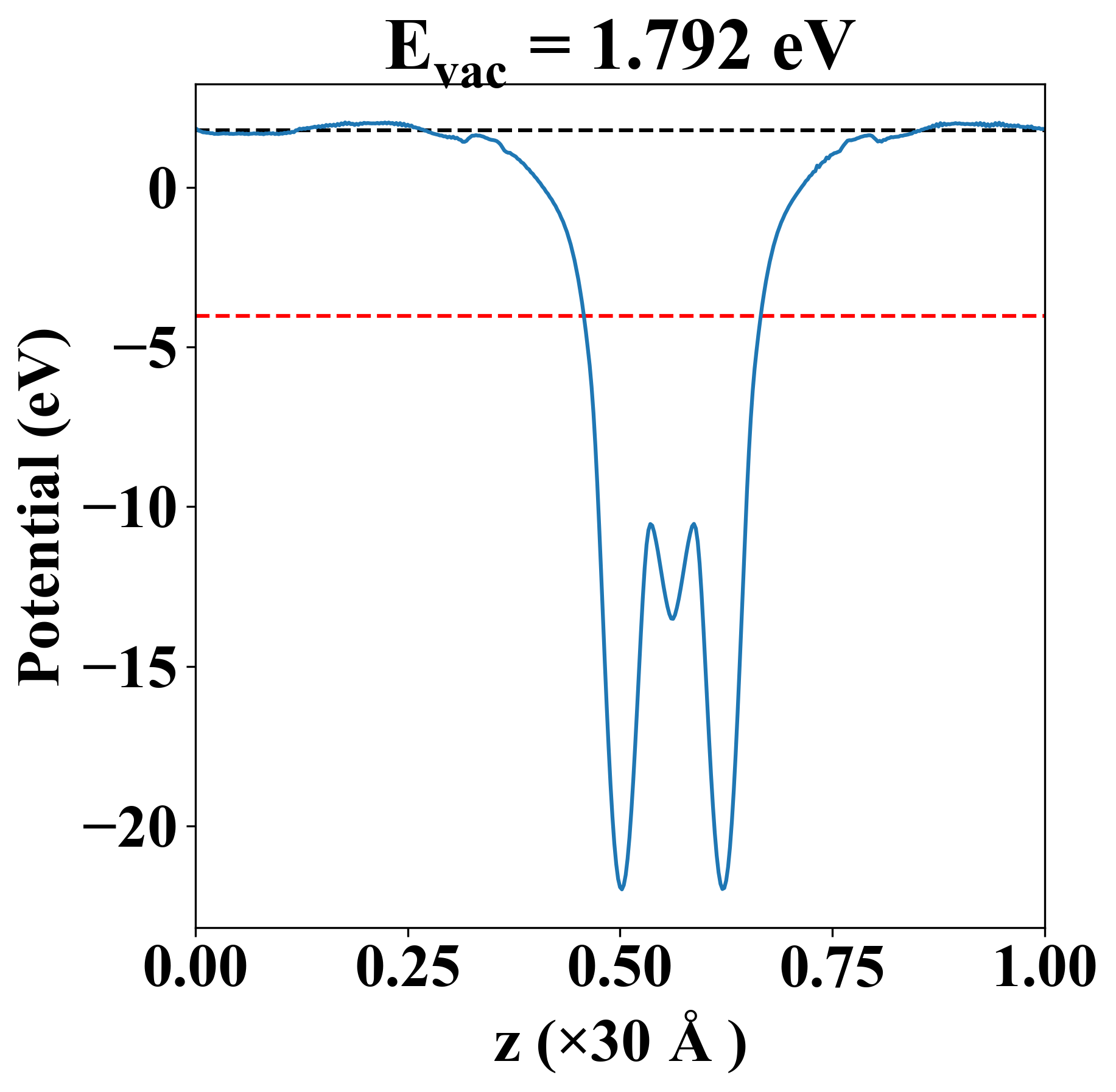
| Vacuum level |
1.792 eV |
| VBM |
-4.329 eV |
| CBM |
-2.844 eV |
| Work function |
5.813 eV |
| Direct gap |
No |
| Property |
Value |
| Band gap |
1.47 eV |
| E-fermi |
-4.022 eV |
| VBM |
-4.293 eV |
| CBM |
-2.821 eV |
| Free energy (eV) |
-26.605 |
| Free energy / atom (eV) |
-3.326 |
| Property |
Value |
| Band gap |
1.48 eV |
| E-fermi |
-4.021 eV |
| Vacuum level |
1.792 eV |
| VBM |
-4.329 eV |
| CBM |
-2.844 eV |
| Work function |
5.813 eV |
| Cij (N/m) |
xx |
yy |
xy |
| xx |
17.931 |
1.186 |
-0.000 |
| yy |
1.186 |
17.931 |
0.000 |
| xy |
-0.000 |
0.000 |
8.373 |
| Phonon mode at Γ point (THz) |
| -0.007 |
| -0.007 |
| -0.002 |
| 0.473 |
| 0.724 |
| 1.036 |
| 1.036 |
| 1.991 |
| 1.991 |
| 2.295 |
| 2.295 |
| 2.467 |
| 2.467 |
| 2.635 |
| 2.635 |
| 2.761 |
| 3.457 |
| 3.464 |
| 4.472 |
| 4.937 |
| 4.937 |
| 5.906 |
| 5.906 |
| 7.174 |
| Property |
Value |
| from where |
c2db-1326 |