I6Ta2
MatHub2d-779-I6Ta2
| Property |
Value |
| Space group |
(189, 'P-62m') |
| Crystal system |
hexagonal |
| Magnetic |
|
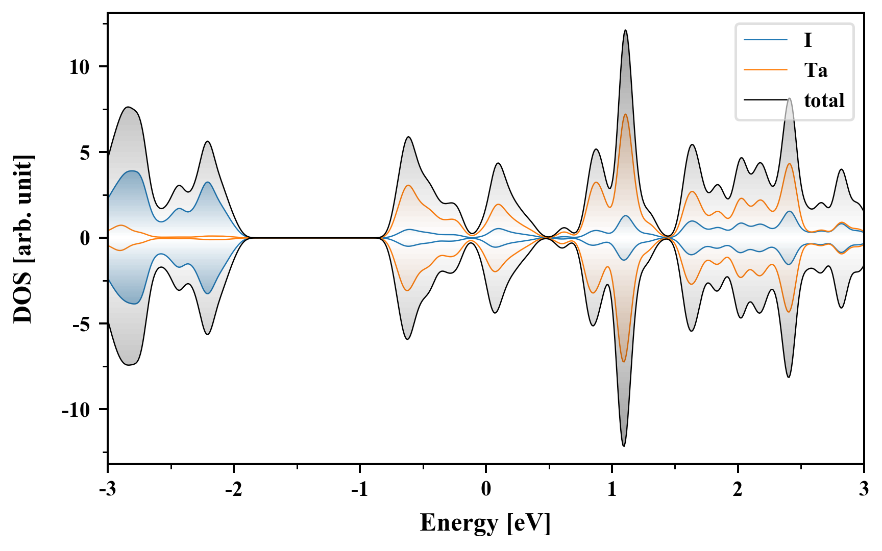
| Band gap (PBE) (eV) |
0.00 |
| Free energy (eV) |
-31.008 |
| Free energy / atom (eV) |
-3.876 |
Lattice Parameters (basic)
| a, b, c (Å): | 6.732 | 6.732 | 30.000 |
| α, β, γ (°): | 90.000 | 90.000 | 120.000 |
Lattice Parameters (computed)
| a, b, c (Å): | 6.794 | 6.794 | 30.000 |
| α, β, γ (°): | 90.000 | 90.000 | 120.000 |
| Property |
Value |
| Band gap |
0.00 eV |
| E-fermi |
-1.826 eV |
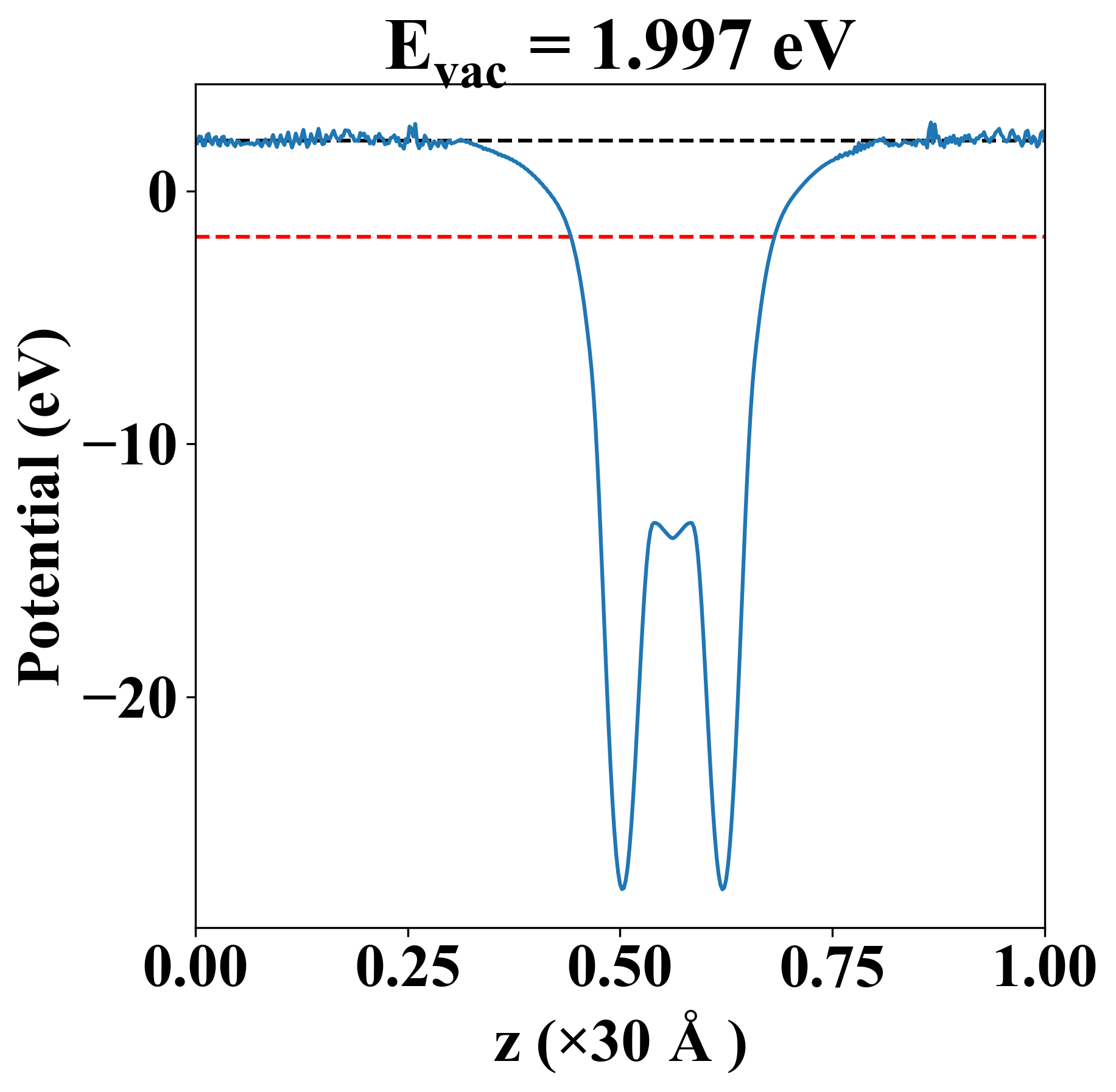
| Vacuum level |
1.997 eV |
| VBM |
-1.827 eV |
| CBM |
-1.826 eV |
| Work function |
3.823 eV |
| Direct gap |
No |
| Property |
Value |
| Band gap |
0.00 eV |
| E-fermi |
-1.826 eV |
| Vacuum level |
1.997 eV |
| VBM |
-1.827 eV |
| CBM |
-1.826 eV |
| Work function |
3.823 eV |
| Cij (N/m) |
xx |
yy |
xy |
| xx |
19.770 |
2.891 |
-0.000 |
| yy |
2.891 |
19.770 |
0.000 |
| xy |
-0.000 |
0.000 |
8.440 |
| Phonon mode at Γ point (THz) |
| -0.002 |
| -0.002 |
| -0.001 |
| 1.248 |
| 1.248 |
| 1.963 |
| 1.963 |
| 2.014 |
| 2.324 |
| 2.530 |
| 2.817 |
| 2.817 |
| 3.140 |
| 3.140 |
| 3.690 |
| 3.690 |
| 4.032 |
| 4.103 |
| 4.613 |
| 4.613 |
| 4.739 |
| 4.739 |
| 4.961 |
| 5.505 |
| Property |
Value |
| from where |
c2db-1321 |