I6Ta2
MatHub2d-778-I6Ta2
| Property |
Value |
| Space group |
(162, 'P-31m') |
| Crystal system |
hexagonal |
| Magnetic |
Yes |
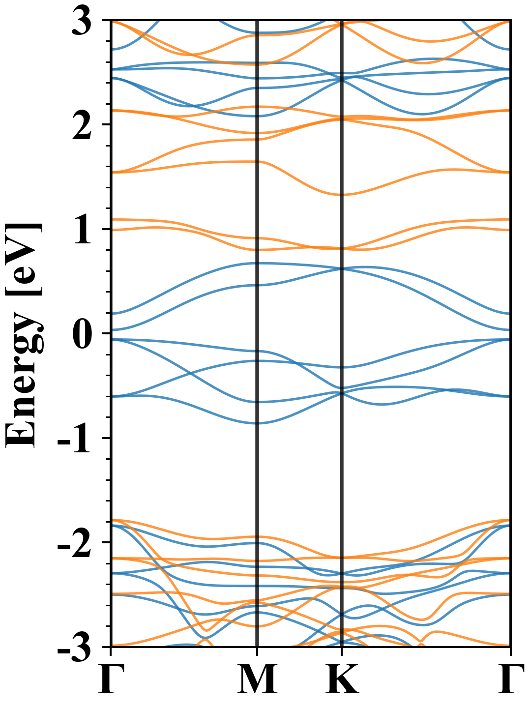
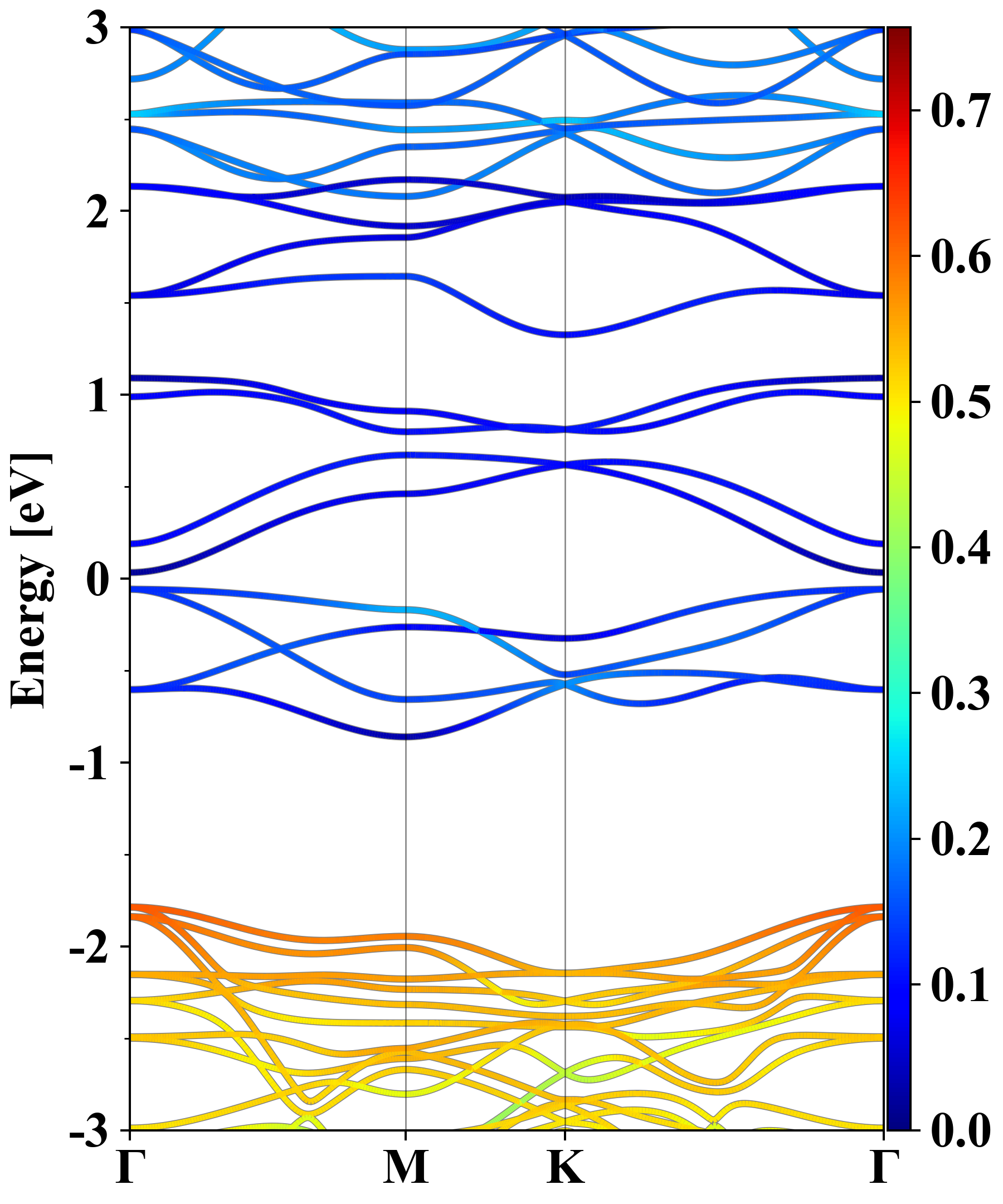
| Band gap (PBE) (eV) |
0.09 |
| Free energy (eV) |
-31.745 |
| Free energy / atom (eV) |
-3.968 |
Lattice Parameters (basic)
| a, b, c (Å): | 6.743 | 6.743 | 30.000 |
| α, β, γ (°): | 90.000 | 90.000 | 120.000 |
Lattice Parameters (computed)
| a, b, c (Å): | 7.176 | 7.176 | 30.000 |
| α, β, γ (°): | 90.000 | 90.000 | 120.000 |
| Property |
Value |
| Band gap |
0.09 eV |
| E-fermi |
-2.518 eV |
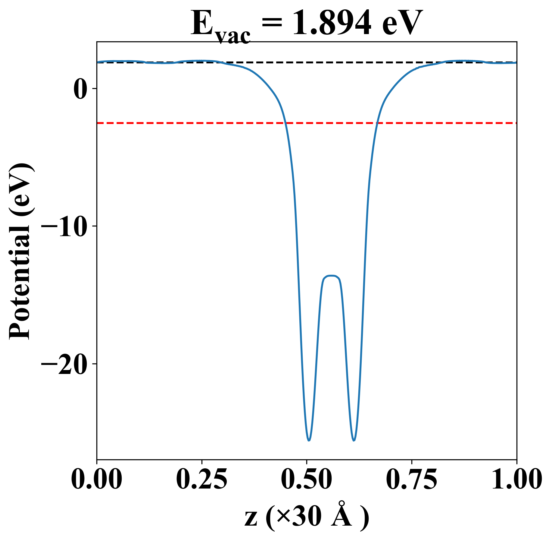
| Vacuum level |
1.894 eV |
| VBM |
-2.575 eV |
| CBM |
-2.484 eV |
| Work function |
4.412 eV |
| Direct gap |
Yes |
| Property |
Value |
| Band gap |
0.09 eV |
| E-fermi |
-2.518 eV |
| Vacuum level |
1.894 eV |
| VBM |
-2.575 eV |
| CBM |
-2.484 eV |
| Work function |
4.412 eV |
| Cij (N/m) |
xx |
yy |
xy |
| xx |
8.654 |
-4.065 |
0.000 |
| yy |
-4.065 |
8.654 |
0.000 |
| xy |
0.000 |
0.000 |
6.359 |
| Phonon mode at Γ point (THz) |
| -2.151 |
| -2.151 |
| -0.002 |
| -0.002 |
| 0.001 |
| 1.336 |
| 1.336 |
| 1.632 |
| 1.857 |
| 1.999 |
| 2.030 |
| 2.030 |
| 2.881 |
| 2.881 |
| 3.308 |
| 3.308 |
| 3.514 |
| 3.554 |
| 3.593 |
| 3.756 |
| 3.756 |
| 3.757 |
| 3.757 |
| 4.444 |
| Property |
Value |
| from where |
c2db-1192 |