I6Sc2
MatHub2d-777-I6Sc2
| Property |
Value |
| Space group |
(189, 'P-62m') |
| Crystal system |
hexagonal |
| Magnetic |
No |
| Band gap (PBE) (eV) |
2.39 |
| Free energy (eV) |
-28.784 |
| Free energy / atom (eV) |
-3.598 |
Lattice Parameters (basic)
| a, b, c (Å): | 7.556 | 7.556 | 30.000 |
| α, β, γ (°): | 90.000 | 90.000 | 120.000 |
Lattice Parameters (computed)
| a, b, c (Å): | 7.632 | 7.632 | 30.000 |
| α, β, γ (°): | 90.000 | 90.000 | 120.000 |
| Property |
Value |
| Band gap |
2.39 eV |
| E-fermi |
-4.265 eV |
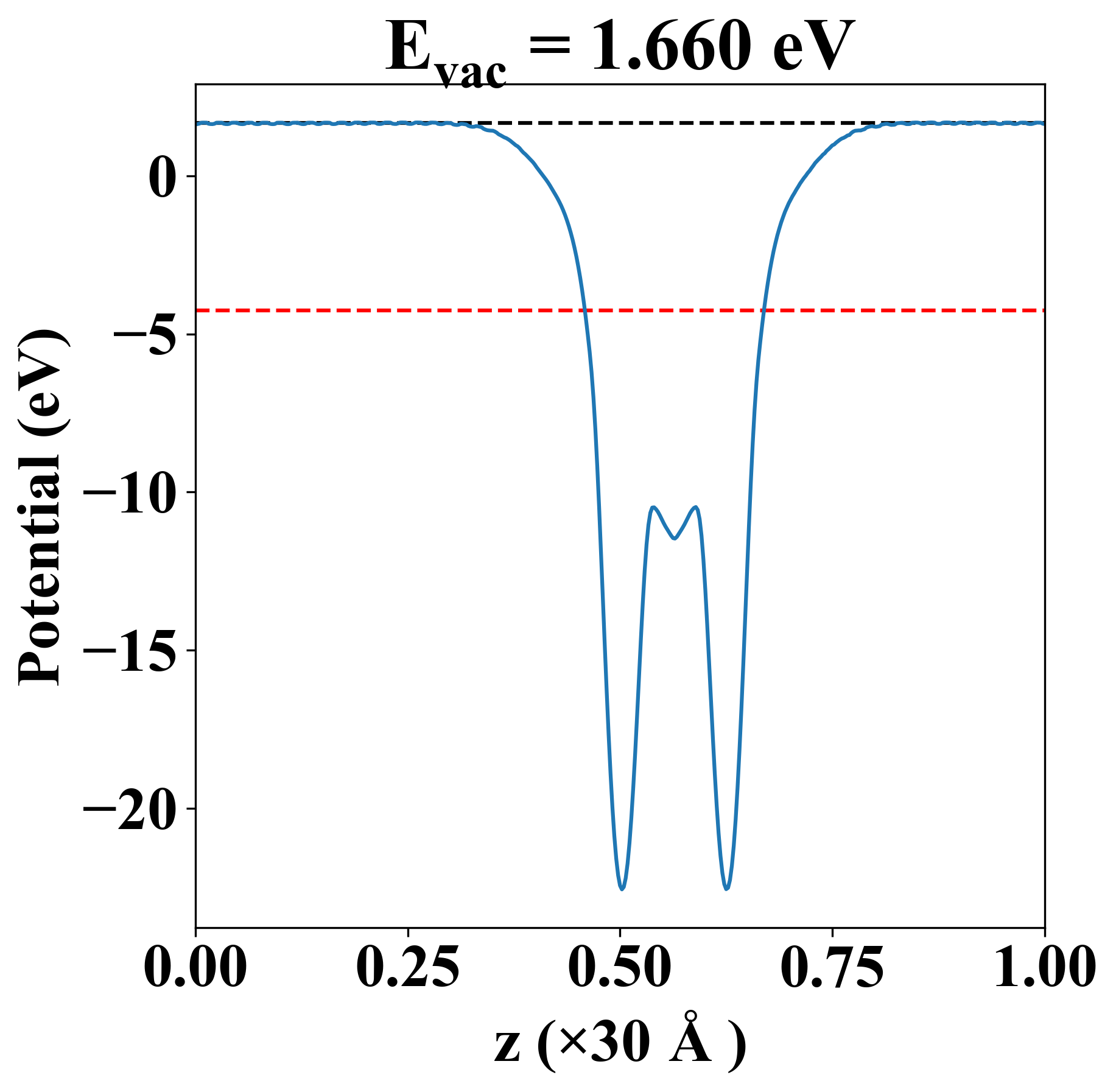
| Vacuum level |
1.660 eV |
| VBM |
-4.589 eV |
| CBM |
-2.199 eV |
| Work function |
5.925 eV |
| Direct gap |
No |
| Property |
Value |
| Band gap |
2.39 eV |
| E-fermi |
-4.265 eV |
| Vacuum level |
1.660 eV |
| VBM |
-4.589 eV |
| CBM |
-2.199 eV |
| Work function |
5.925 eV |
| Cij (N/m) |
xx |
yy |
xy |
| xx |
12.040 |
-1.998 |
-0.000 |
| yy |
-1.998 |
12.040 |
-0.000 |
| xy |
-0.000 |
-0.000 |
7.019 |
| Phonon mode at Γ point (THz) |
| -0.003 |
| -0.003 |
| -0.002 |
| 0.382 |
| 0.838 |
| 0.838 |
| 1.082 |
| 2.057 |
| 2.057 |
| 2.227 |
| 2.227 |
| 2.320 |
| 2.514 |
| 2.514 |
| 2.644 |
| 2.644 |
| 3.429 |
| 3.516 |
| 4.239 |
| 4.879 |
| 4.879 |
| 6.216 |
| 6.216 |
| 7.789 |
| Property |
Value |
| from where |
c2db-1316 |