I6Sc2
MatHub2d-776-I6Sc2
| Property |
Value |
| Space group |
(162, 'P-31m') |
| Crystal system |
hexagonal |
| Magnetic |
No |
| Band gap (PBE) (eV) |
2.63 |
| Free energy (eV) |
-29.589 |
| Free energy / atom (eV) |
-3.699 |
Lattice Parameters (basic)
| a, b, c (Å): | 7.353 | 7.353 | 30.000 |
| α, β, γ (°): | 90.000 | 90.000 | 120.000 |
Lattice Parameters (computed)
| a, b, c (Å): | 7.421 | 7.421 | 30.000 |
| α, β, γ (°): | 90.000 | 90.000 | 120.000 |
| Property |
Value |
| Band gap |
2.63 eV |
| E-fermi |
-4.204 eV |
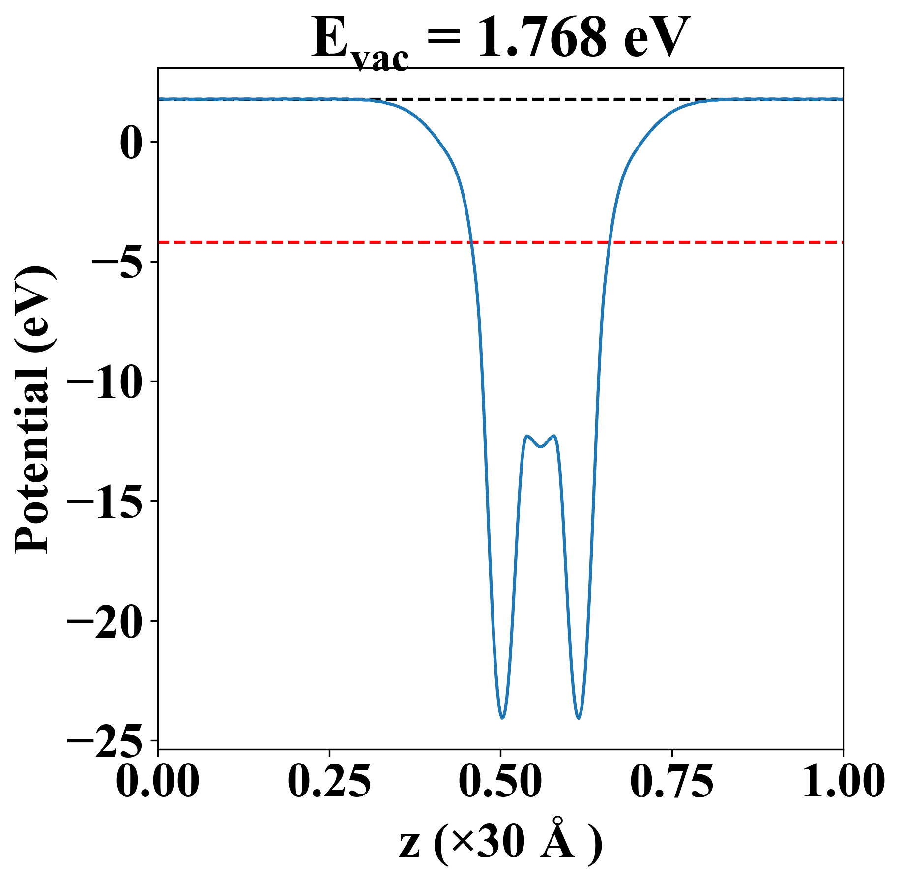
| Vacuum level |
1.768 eV |
| VBM |
-4.593 eV |
| CBM |
-1.965 eV |
| Work function |
5.972 eV |
| Direct gap |
No |
| Property |
Value |
| Band gap |
2.63 eV |
| E-fermi |
-4.204 eV |
| Vacuum level |
1.768 eV |
| VBM |
-4.593 eV |
| CBM |
-1.965 eV |
| Work function |
5.972 eV |
| Cij (N/m) |
xx |
yy |
xy |
| xx |
16.508 |
3.960 |
0.000 |
| yy |
3.960 |
16.508 |
-0.000 |
| xy |
0.000 |
-0.000 |
6.274 |
| Phonon mode at Γ point (THz) |
| -0.002 |
| 0.001 |
| 0.001 |
| 1.103 |
| 1.103 |
| 1.278 |
| 1.504 |
| 1.750 |
| 1.750 |
| 2.020 |
| 2.379 |
| 2.379 |
| 2.400 |
| 2.400 |
| 2.606 |
| 2.606 |
| 3.228 |
| 3.364 |
| 4.112 |
| 4.676 |
| 4.676 |
| 6.008 |
| 6.008 |
| 7.515 |
| Property |
Value |
| from where |
c2db-1187 |