I6Sb2
MatHub2d-775-I6Sb2
| Property |
Value |
| Space group |
(162, 'P-31m') |
| Crystal system |
hexagonal |
| Magnetic |
No |
| Band gap (PBE) (eV) |
2.23 |
| Free energy (eV) |
-20.265 |
| Free energy / atom (eV) |
-2.533 |
Lattice Parameters (basic)
| a, b, c (Å): | 7.460 | 7.460 | 30.000 |
| α, β, γ (°): | 90.000 | 90.000 | 120.000 |
Lattice Parameters (computed)
| a, b, c (Å): | 7.545 | 7.545 | 30.000 |
| α, β, γ (°): | 90.000 | 90.000 | 120.000 |
| Property |
Value |
| Band gap |
2.23 eV |
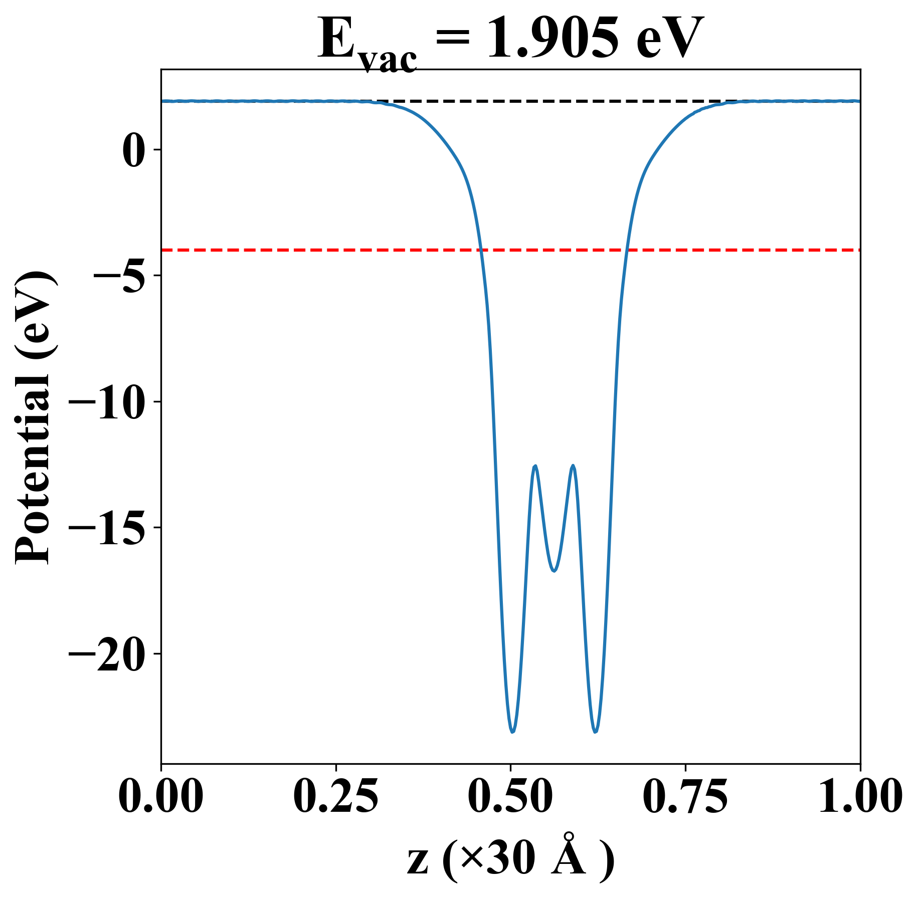
| E-fermi |
-3.998 eV |
| Vacuum level |
1.905 eV |
| VBM |
-4.221 eV |
| CBM |
-1.987 eV |
| Work function |
5.903 eV |
| Direct gap |
No |
| Property |
Value |
| Band gap |
2.23 eV |
| E-fermi |
-3.998 eV |
| Vacuum level |
1.905 eV |
| VBM |
-4.221 eV |
| CBM |
-1.987 eV |
| Work function |
5.903 eV |
| Cij (N/m) |
xx |
yy |
xy |
| xx |
13.262 |
4.264 |
-0.000 |
| yy |
4.264 |
13.262 |
0.000 |
| xy |
-0.000 |
0.000 |
4.499 |
| Phonon mode at Γ point (THz) |
| -0.001 |
| -0.000 |
| 0.001 |
| 0.847 |
| 0.847 |
| 0.926 |
| 1.255 |
| 1.294 |
| 1.311 |
| 1.311 |
| 1.561 |
| 1.806 |
| 1.806 |
| 2.506 |
| 2.506 |
| 2.727 |
| 2.727 |
| 3.079 |
| 3.125 |
| 3.125 |
| 3.137 |
| 4.001 |
| 4.001 |
| 5.236 |
| Property |
Value |
| from where |
JVASP-5968 |