I6Sb2
MatHub2d-774-I6Sb2
| Property |
Value |
| Space group |
(150, 'P321') |
| Crystal system |
hexagonal |
| Magnetic |
No |
| Band gap (PBE) (eV) |
2.43 |
| Free energy (eV) |
-19.735 |
| Free energy / atom (eV) |
-2.467 |
Lattice Parameters (basic)
| a, b, c (Å): | 8.125 | 8.125 | 30.000 |
| α, β, γ (°): | 90.000 | 90.000 | 120.000 |
Lattice Parameters (computed)
| a, b, c (Å): | 8.127 | 8.127 | 30.000 |
| α, β, γ (°): | 90.000 | 90.000 | 120.000 |
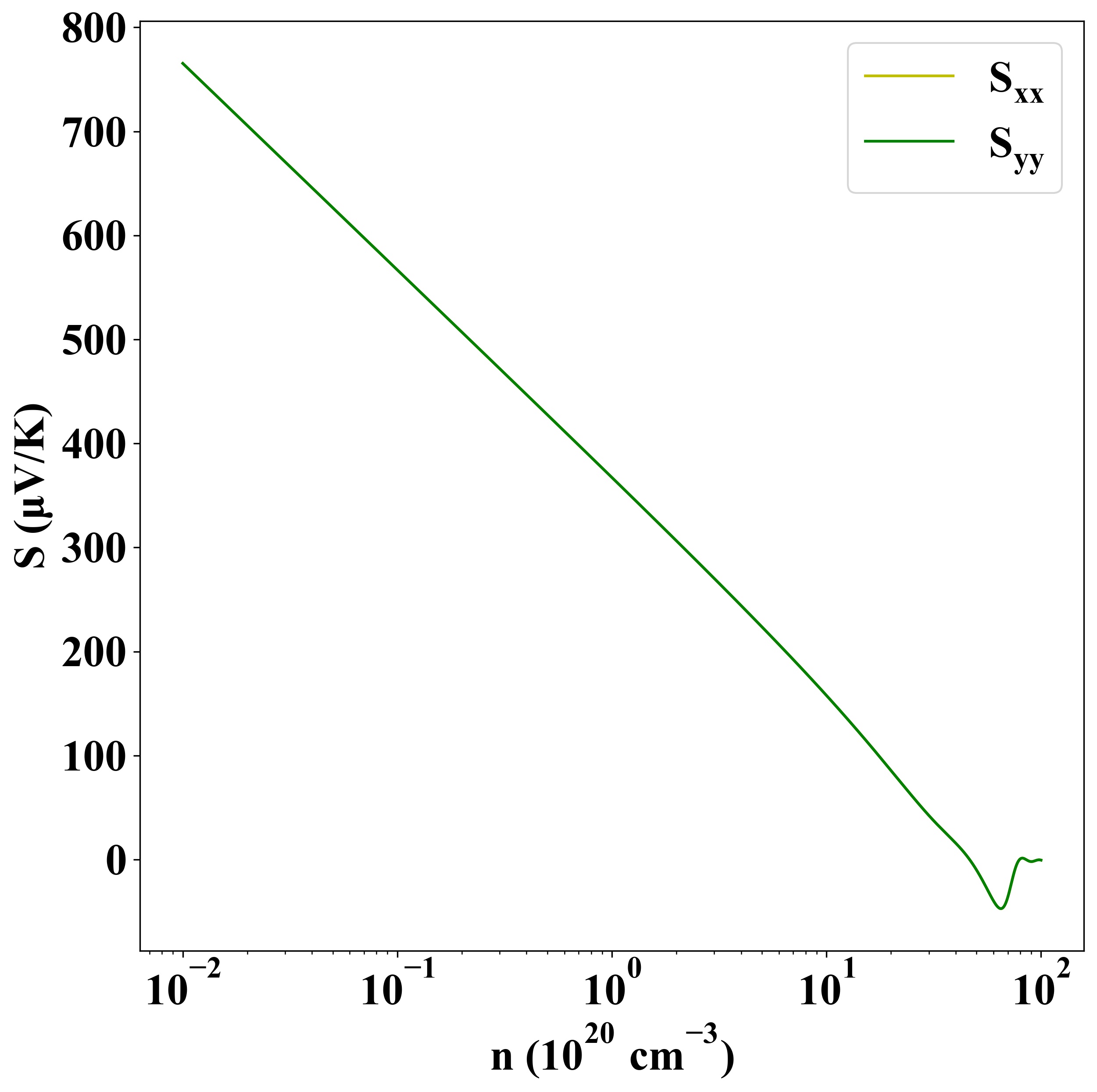
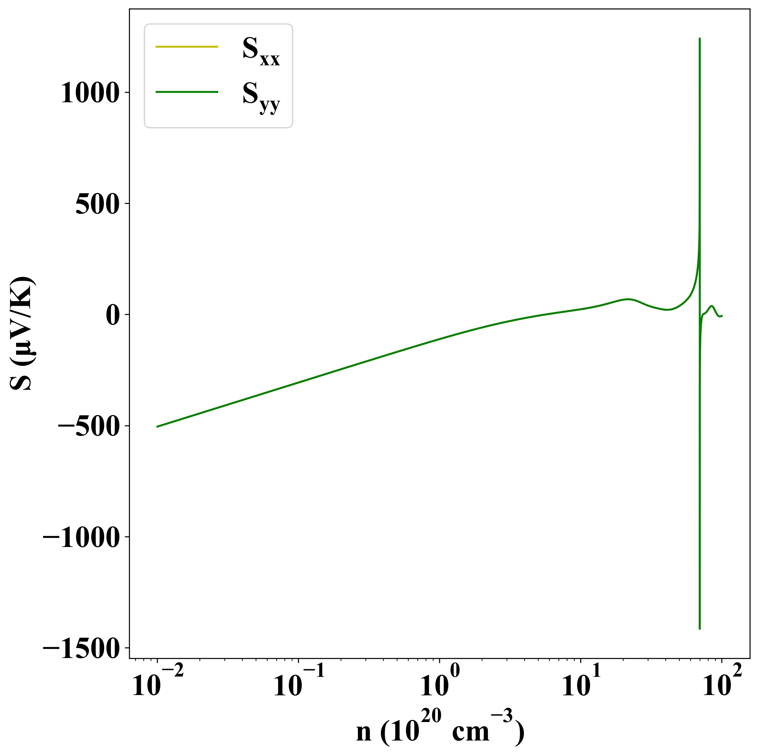
| Property |
Value |
| Band gap |
2.43 eV |
| E-fermi |
-4.591 eV |
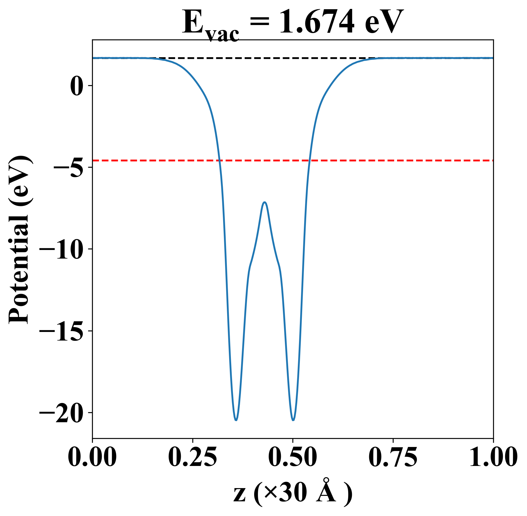
| Vacuum level |
1.674 eV |
| VBM |
-4.866 eV |
| CBM |
-2.438 eV |
| Work function |
6.265 eV |
| Direct gap |
No |
| Property |
Value |
| Band gap |
2.43 eV |
| E-fermi |
-4.591 eV |
| Vacuum level |
1.674 eV |
| VBM |
-4.866 eV |
| CBM |
-2.438 eV |
| Work function |
6.265 eV |
| Cij (N/m) |
xx |
yy |
xy |
| xx |
2.396 |
0.331 |
0.000 |
| yy |
0.331 |
2.396 |
0.000 |
| xy |
0.000 |
0.000 |
1.032 |
| Phonon mode at Γ point (THz) |
| -0.002 |
| -0.002 |
| -0.001 |
| 0.374 |
| 0.398 |
| 0.398 |
| 0.530 |
| 0.683 |
| 0.683 |
| 0.844 |
| 1.165 |
| 1.165 |
| 1.561 |
| 1.561 |
| 1.624 |
| 1.624 |
| 1.982 |
| 2.309 |
| 4.792 |
| 4.792 |
| 4.863 |
| 5.144 |
| 5.144 |
| 5.536 |
| Property |
Value |
| from where |
c2db-1263 |