I6Ru2
MatHub2d-773-I6Ru2
| Property |
Value |
| Space group |
(189, 'P-62m') |
| Crystal system |
hexagonal |
| Magnetic |
Yes |
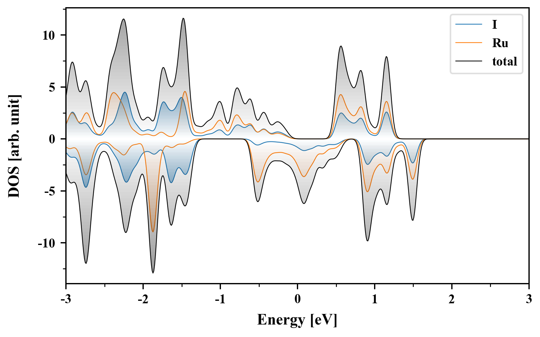
| Band gap (PBE) (eV) |
0.00 |
| Free energy (eV) |
-20.379 |
| Free energy / atom (eV) |
-2.547 |
Lattice Parameters (basic)
| a, b, c (Å): | 6.959 | 6.959 | 30.000 |
| α, β, γ (°): | 90.000 | 90.000 | 120.000 |
Lattice Parameters (computed)
| a, b, c (Å): | 7.111 | 7.111 | 30.000 |
| α, β, γ (°): | 90.000 | 90.000 | 120.000 |
| Property |
Value |
| Band gap |
0.00 eV |
| E-fermi |
-2.699 eV |
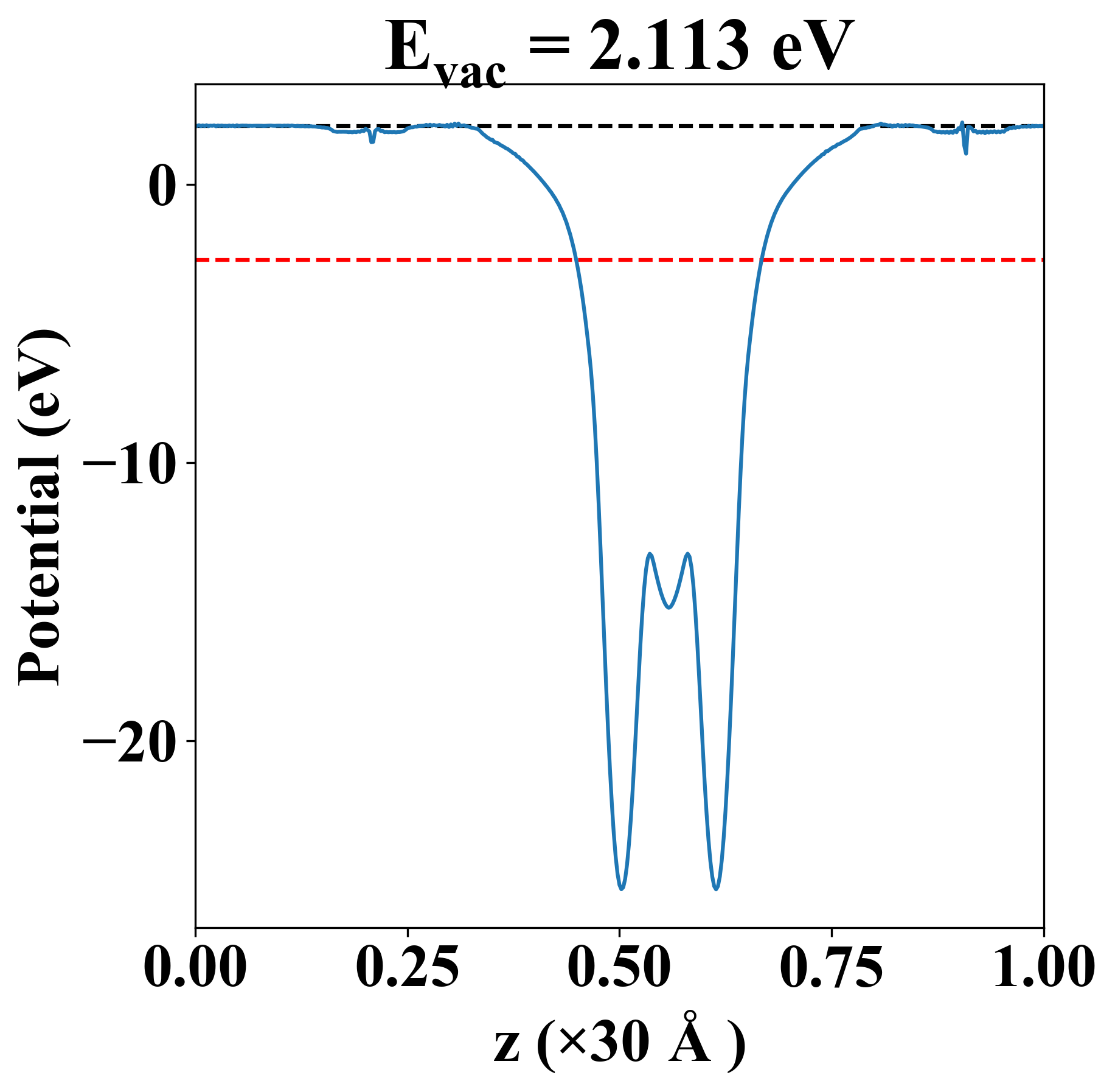
| Vacuum level |
2.113 eV |
| VBM |
-2.699 eV |
| CBM |
-2.699 eV |
| Work function |
4.811 eV |
| Direct gap |
No |
| Property |
Value |
| Band gap |
0.00 eV |
| E-fermi |
-2.699 eV |
| Vacuum level |
2.113 eV |
| VBM |
-2.699 eV |
| CBM |
-2.699 eV |
| Work function |
4.811 eV |
| Cij (N/m) |
xx |
yy |
xy |
| xx |
11.934 |
-1.541 |
-0.000 |
| yy |
-1.541 |
11.934 |
0.000 |
| xy |
-0.000 |
0.000 |
6.737 |
| Phonon mode at Γ point (THz) |
| -1.363 |
| -0.008 |
| -0.008 |
| -0.005 |
| 1.466 |
| 1.466 |
| 1.528 |
| 2.351 |
| 2.351 |
| 2.400 |
| 2.400 |
| 2.617 |
| 3.003 |
| 3.003 |
| 3.074 |
| 3.074 |
| 3.941 |
| 4.146 |
| 4.319 |
| 4.553 |
| 4.921 |
| 4.921 |
| 5.424 |
| 5.424 |
| Property |
Value |
| from where |
c2db-1313 |