I6Ru2
MatHub2d-772-I6Ru2
| Property |
Value |
| Space group |
(162, 'P-31m') |
| Crystal system |
hexagonal |
| Magnetic |
Yes |
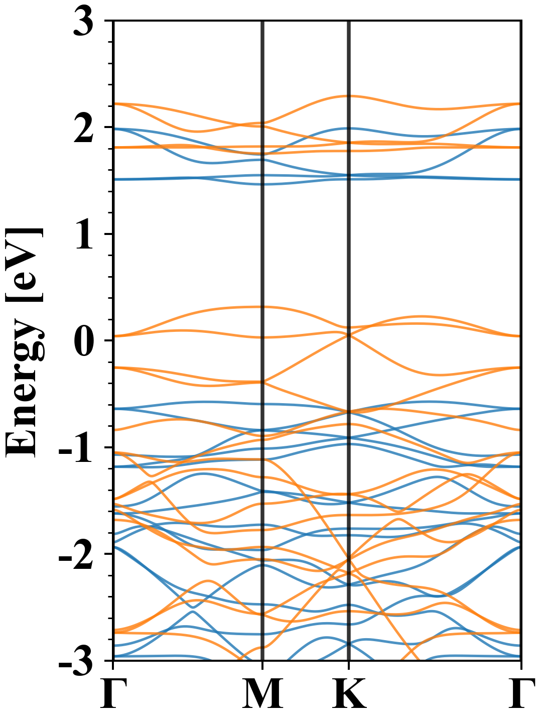
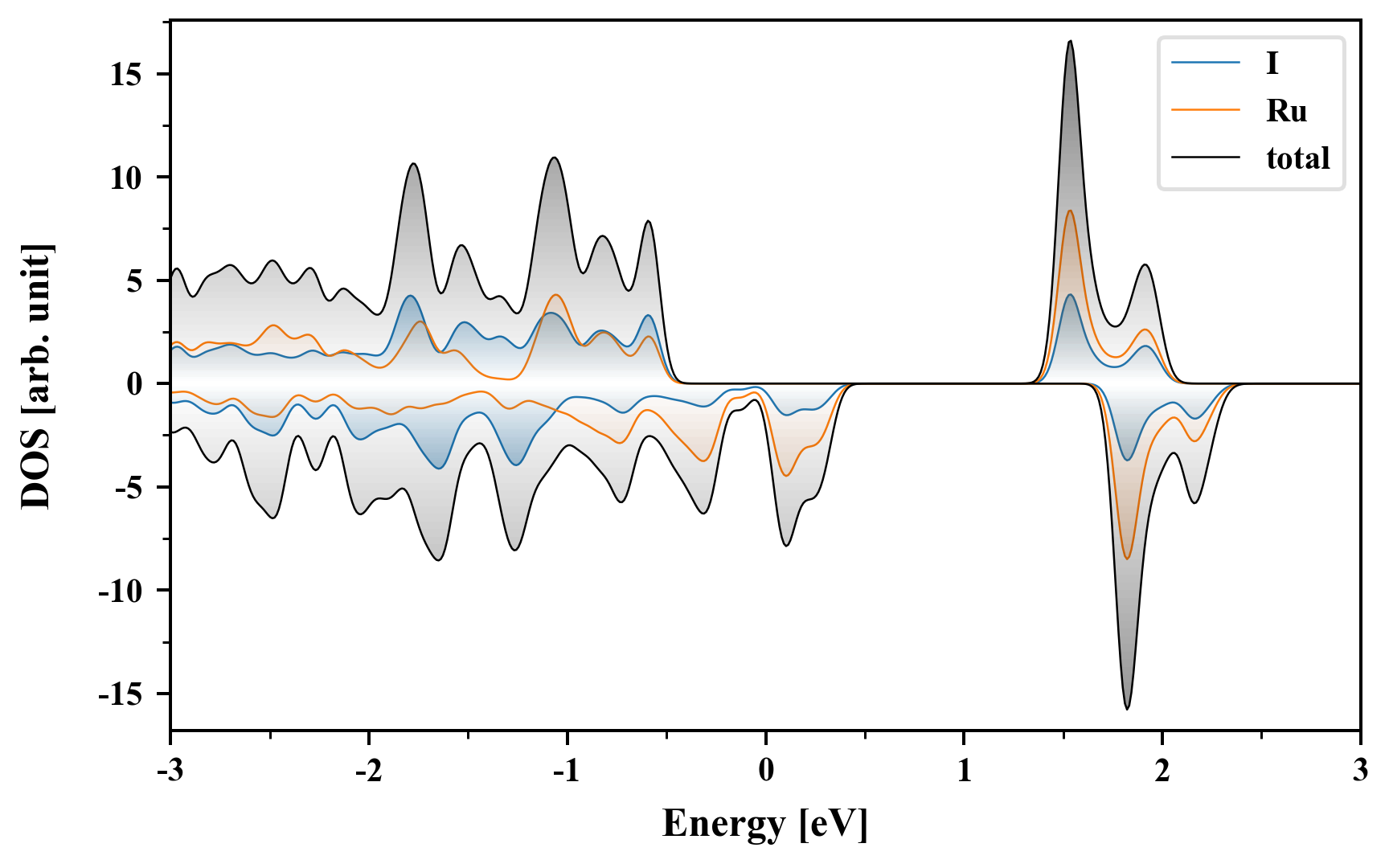
| Band gap (PBE) (eV) |
0.00 |
| Free energy (eV) |
-22.210 |
| Free energy / atom (eV) |
-2.776 |
Lattice Parameters (basic)
| a, b, c (Å): | 7.014 | 7.014 | 30.000 |
| α, β, γ (°): | 90.000 | 90.000 | 120.000 |
Lattice Parameters (computed)
| a, b, c (Å): | 7.046 | 7.046 | 30.000 |
| α, β, γ (°): | 90.000 | 90.000 | 120.000 |
| Property |
Value |
| Band gap |
0.00 eV |
| E-fermi |
-3.213 eV |
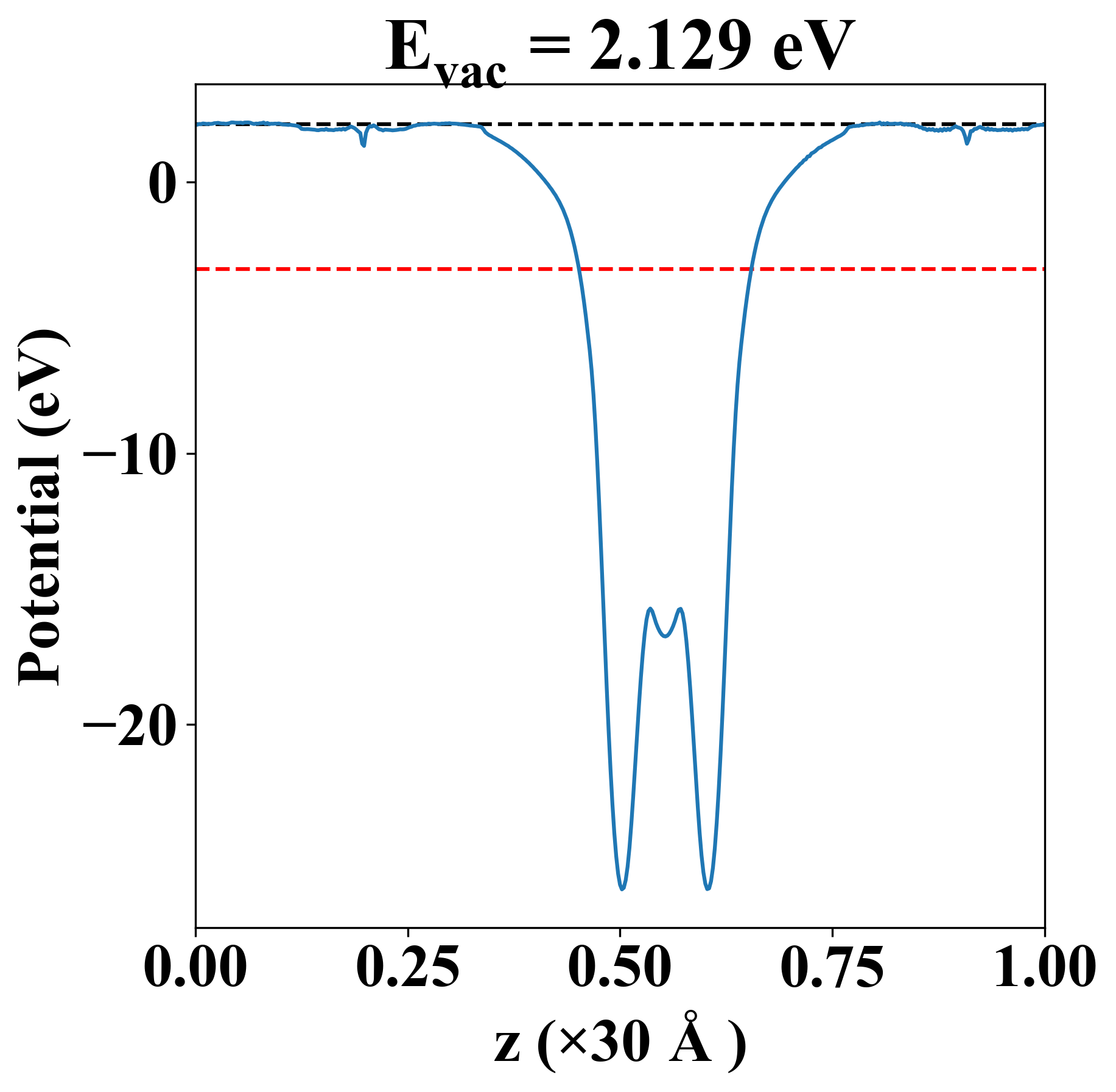
| Vacuum level |
2.129 eV |
| VBM |
-3.215 eV |
| CBM |
-3.211 eV |
| Work function |
5.341 eV |
| Direct gap |
No |
| Property |
Value |
| Band gap |
0.00 eV |
| E-fermi |
-3.213 eV |
| Vacuum level |
2.129 eV |
| VBM |
-3.215 eV |
| CBM |
-3.211 eV |
| Work function |
5.341 eV |
| Cij (N/m) |
xx |
yy |
xy |
| xx |
23.771 |
9.336 |
0.000 |
| yy |
9.336 |
23.771 |
0.000 |
| xy |
0.000 |
0.000 |
7.218 |
| Phonon mode at Γ point (THz) |
| -0.002 |
| -0.001 |
| -0.001 |
| 1.511 |
| 1.511 |
| 1.519 |
| 1.957 |
| 2.290 |
| 2.290 |
| 2.586 |
| 2.964 |
| 2.964 |
| 3.148 |
| 3.148 |
| 3.352 |
| 3.352 |
| 4.007 |
| 4.231 |
| 4.678 |
| 4.678 |
| 5.299 |
| 5.299 |
| 5.357 |
| 5.648 |
| Property |
Value |
| from where |
c2db-1183 |