I6Rh2
MatHub2d-771-I6Rh2
| Property |
Value |
| Space group |
(189, 'P-62m') |
| Crystal system |
hexagonal |
| Magnetic |
No |
| Band gap (PBE) (eV) |
0.36 |
| Free energy (eV) |
-17.723 |
| Free energy / atom (eV) |
-2.215 |
Lattice Parameters (basic)
| a, b, c (Å): | 7.071 | 7.071 | 30.000 |
| α, β, γ (°): | 90.000 | 90.000 | 120.000 |
Lattice Parameters (computed)
| a, b, c (Å): | 6.987 | 6.987 | 30.000 |
| α, β, γ (°): | 90.000 | 90.000 | 120.000 |
| Property |
Value |
| Band gap |
0.36 eV |
| E-fermi |
-2.641 eV |
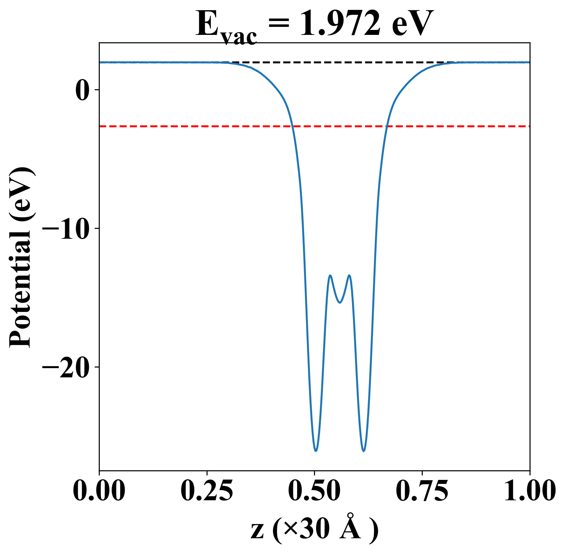
| Vacuum level |
1.972 eV |
| VBM |
-2.819 eV |
| CBM |
-2.458 eV |
| Work function |
4.613 eV |
| Direct gap |
No |
| Property |
Value |
| Band gap |
0.36 eV |
| E-fermi |
-2.641 eV |
| Vacuum level |
1.972 eV |
| VBM |
-2.819 eV |
| CBM |
-2.458 eV |
| Work function |
4.613 eV |
| Cij (N/m) |
xx |
yy |
xy |
| xx |
9.782 |
1.790 |
-0.000 |
| yy |
1.790 |
9.782 |
0.000 |
| xy |
-0.000 |
0.000 |
3.996 |
| Phonon mode at Γ point (THz) |
| -1.766 |
| -0.006 |
| -0.006 |
| -0.001 |
| 1.266 |
| 1.266 |
| 1.548 |
| 1.891 |
| 1.891 |
| 2.077 |
| 2.250 |
| 2.250 |
| 2.487 |
| 2.487 |
| 2.702 |
| 2.702 |
| 3.224 |
| 3.258 |
| 3.258 |
| 3.578 |
| 3.605 |
| 3.632 |
| 3.632 |
| 3.788 |
| Property |
Value |
| from where |
c2db-1309 |