I6Rh2
MatHub2d-770-I6Rh2
| Property |
Value |
| Space group |
(162, 'P-31m') |
| Crystal system |
hexagonal |
| Magnetic |
No |
| Band gap (PBE) (eV) |
1.57 |
| Free energy (eV) |
-20.404 |
| Free energy / atom (eV) |
-2.551 |
Lattice Parameters (basic)
| a, b, c (Å): | 6.934 | 6.934 | 30.000 |
| α, β, γ (°): | 90.000 | 90.000 | 120.000 |
Lattice Parameters (computed)
| a, b, c (Å): | 6.911 | 6.911 | 30.000 |
| α, β, γ (°): | 90.000 | 90.000 | 120.000 |
| Property |
Value |
| Band gap |
1.57 eV |
| E-fermi |
-3.428 eV |
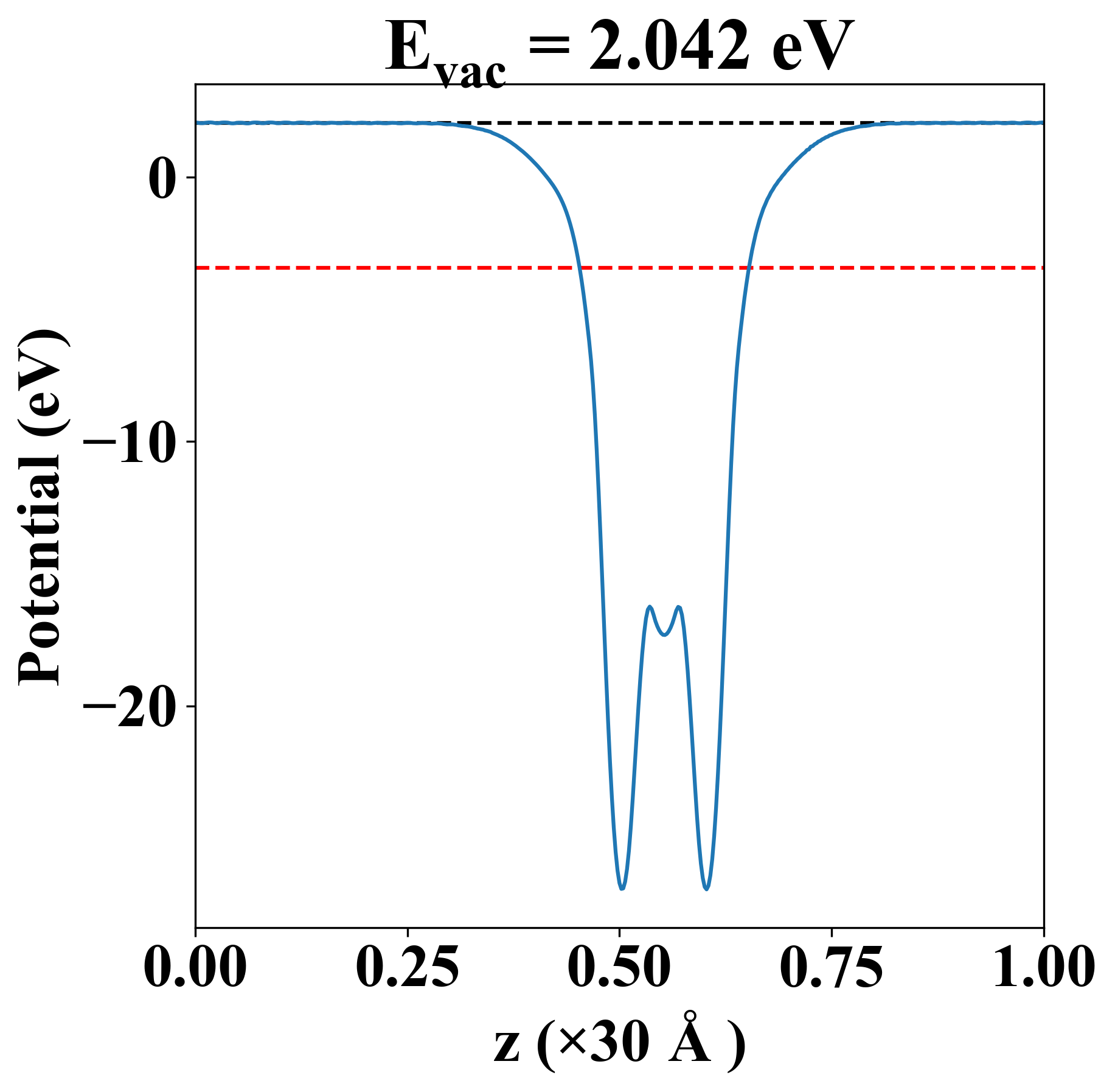
| Vacuum level |
2.042 eV |
| VBM |
-3.729 eV |
| CBM |
-2.160 eV |
| Work function |
5.470 eV |
| Direct gap |
No |
| Property |
Value |
| Band gap |
1.57 eV |
| E-fermi |
-3.428 eV |
| Vacuum level |
2.042 eV |
| VBM |
-3.729 eV |
| CBM |
-2.160 eV |
| Work function |
5.470 eV |
| Cij (N/m) |
xx |
yy |
xy |
| xx |
30.410 |
9.361 |
-0.000 |
| yy |
9.361 |
30.410 |
0.000 |
| xy |
-0.000 |
0.000 |
10.525 |
| Phonon mode at Γ point (THz) |
| -0.003 |
| -0.002 |
| -0.002 |
| 1.542 |
| 1.542 |
| 1.672 |
| 2.274 |
| 2.274 |
| 2.290 |
| 2.458 |
| 3.142 |
| 3.142 |
| 3.453 |
| 3.453 |
| 3.522 |
| 3.522 |
| 4.036 |
| 4.086 |
| 5.655 |
| 5.778 |
| 5.778 |
| 6.003 |
| 6.003 |
| 6.185 |
| Property |
Value |
| from where |
c2db-1180 |