I6Re2
MatHub2d-769-I6Re2
| Property |
Value |
| Space group |
(162, 'P-31m') |
| Crystal system |
hexagonal |
| Magnetic |
Yes |
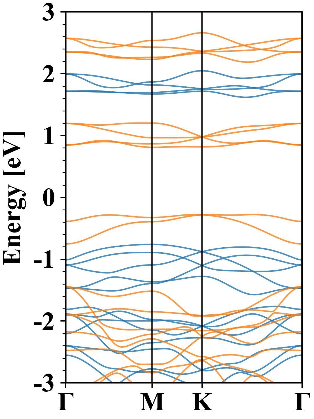
| Band gap (PBE) (eV) |
1.09 |
| Free energy (eV) |
-28.021 |
| Free energy / atom (eV) |
-3.503 |
Lattice Parameters (basic)
| a, b, c (Å): | 6.987 | 6.987 | 30.000 |
| α, β, γ (°): | 90.000 | 90.000 | 120.000 |
Lattice Parameters (computed)
| a, b, c (Å): | 7.045 | 7.045 | 30.000 |
| α, β, γ (°): | 90.000 | 90.000 | 120.000 |
| Property |
Value |
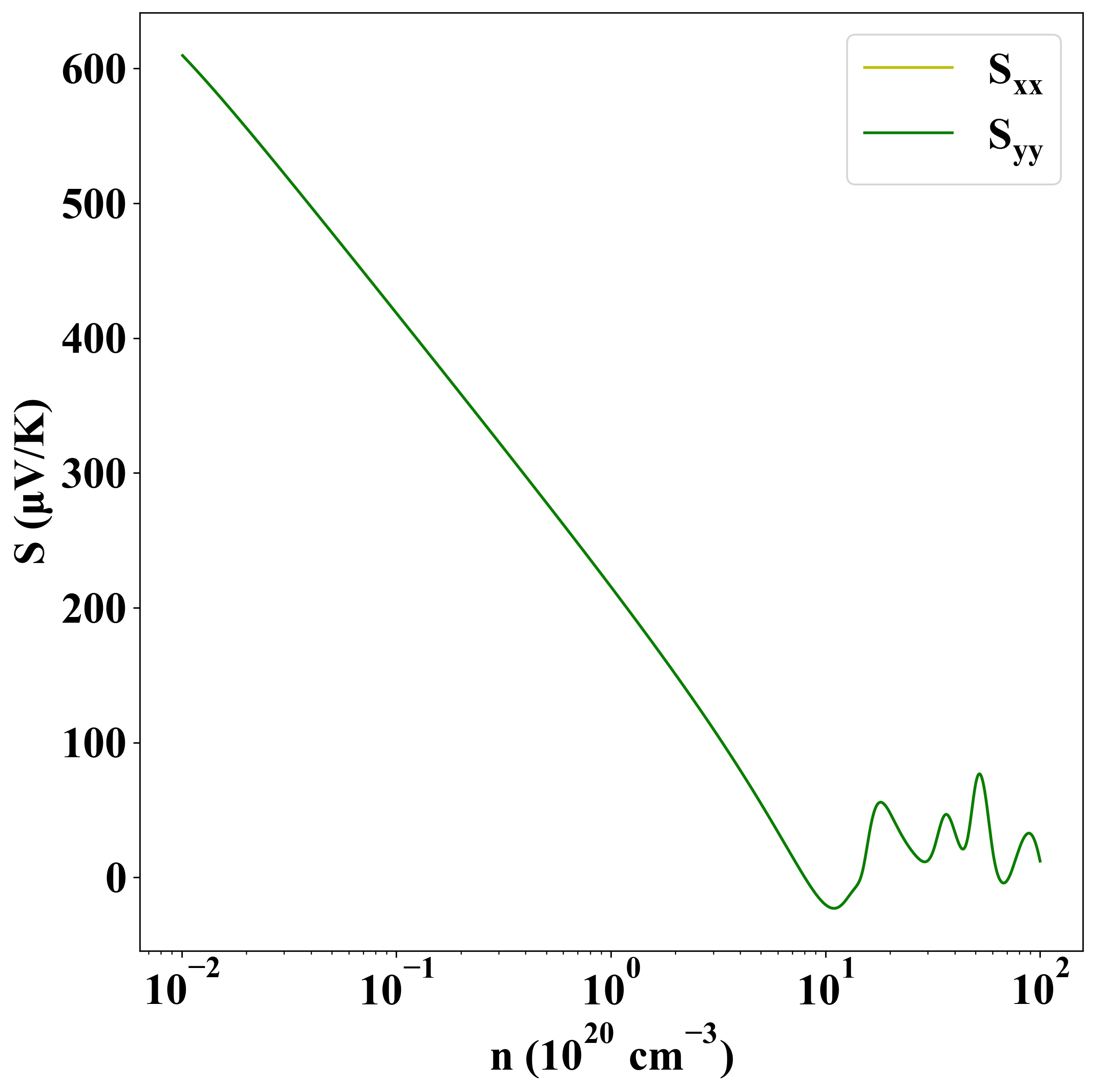
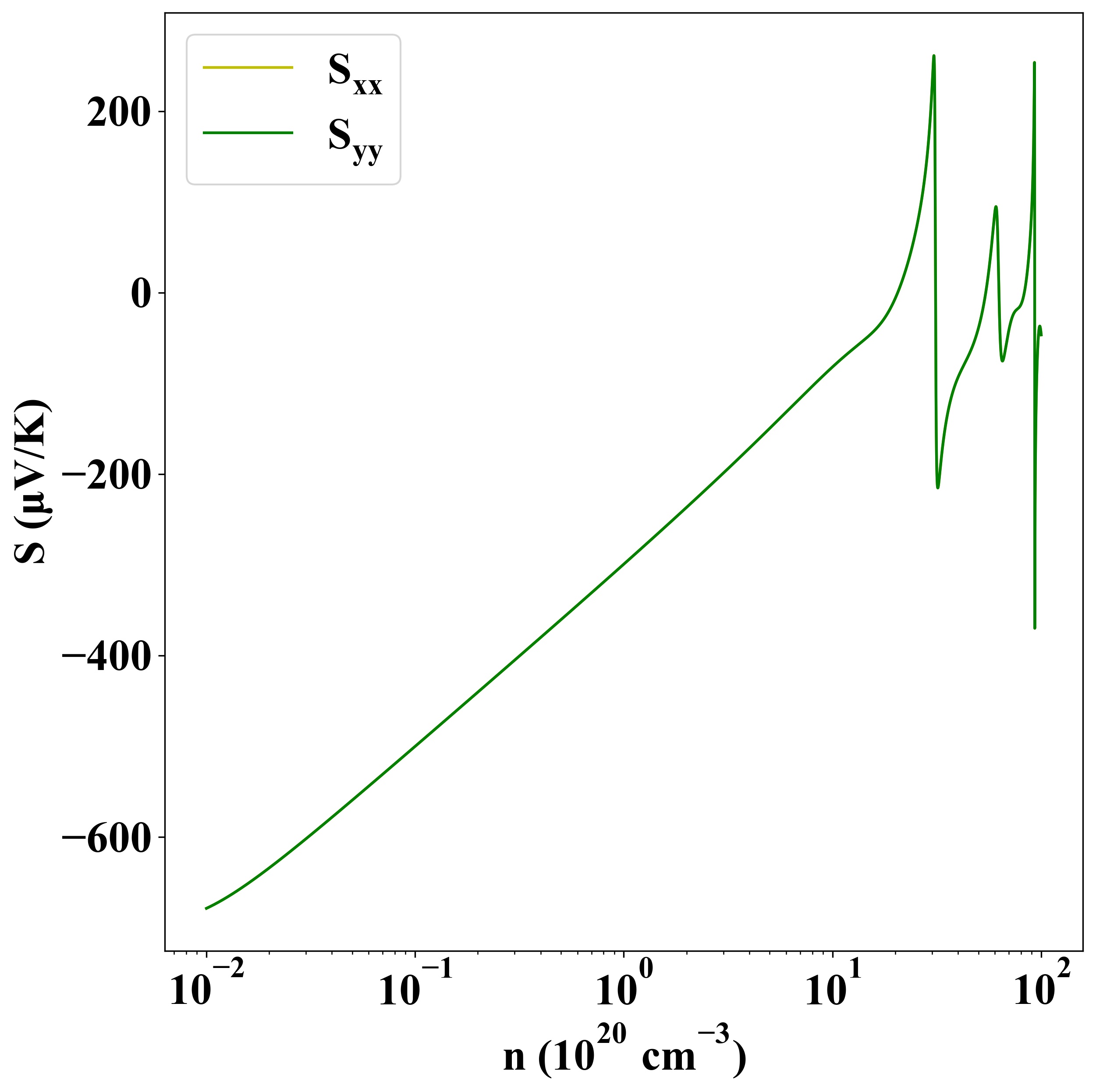
| Band gap |
1.09 eV |
| E-fermi |
-2.791 eV |
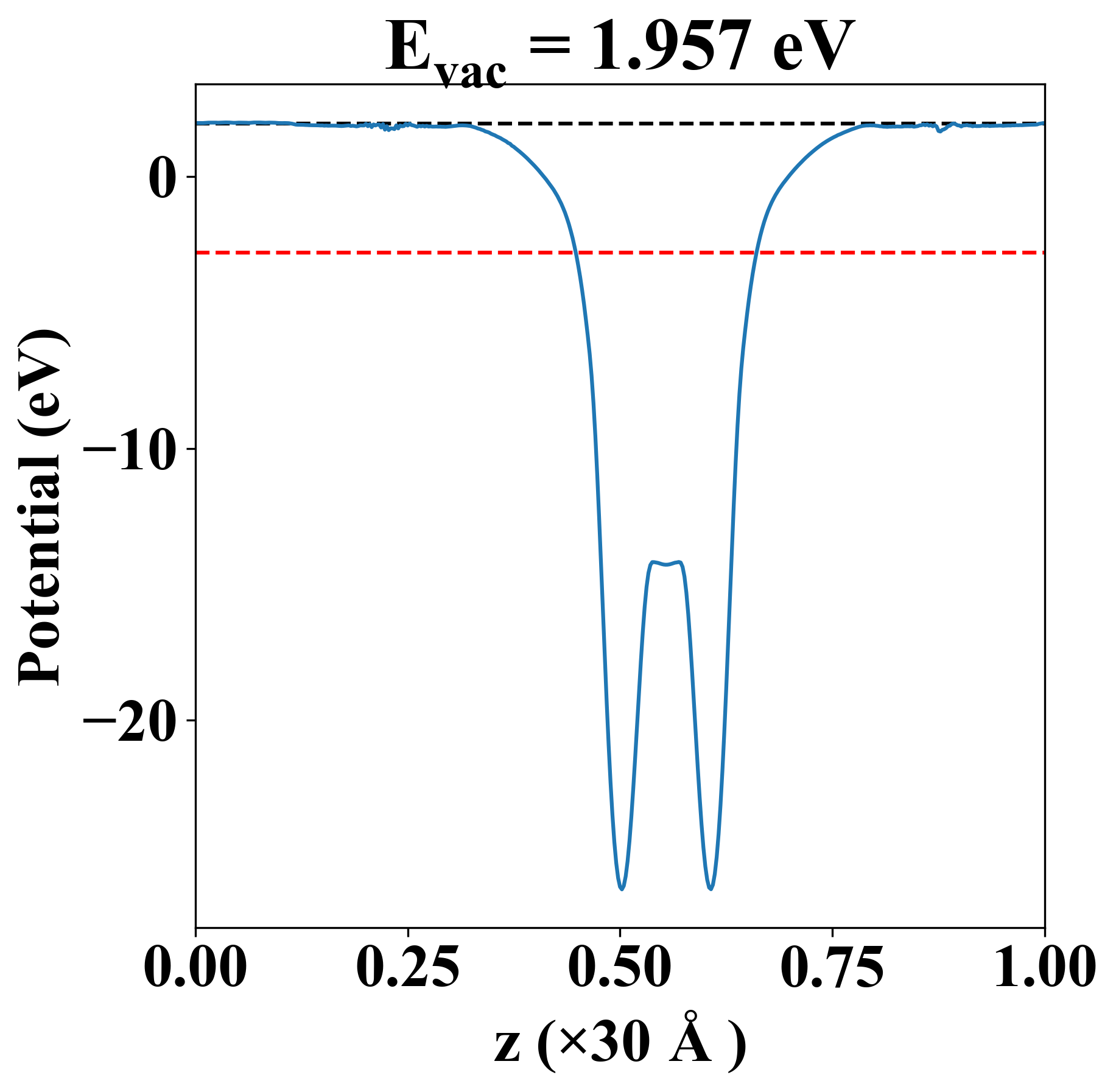
| Vacuum level |
1.957 eV |
| VBM |
-3.070 eV |
| CBM |
-1.982 eV |
| Work function |
4.748 eV |
| Direct gap |
No |
| Property |
Value |
| Band gap |
1.09 eV |
| E-fermi |
-2.791 eV |
| Vacuum level |
1.957 eV |
| VBM |
-3.070 eV |
| CBM |
-1.982 eV |
| Work function |
4.748 eV |
| Cij (N/m) |
xx |
yy |
xy |
| xx |
11.007 |
-5.722 |
0.000 |
| yy |
-5.722 |
11.007 |
0.000 |
| xy |
0.000 |
0.000 |
8.364 |
| Phonon mode at Γ point (THz) |
| -0.001 |
| -0.001 |
| 0.000 |
| 1.257 |
| 1.257 |
| 1.726 |
| 1.887 |
| 1.887 |
| 1.971 |
| 2.322 |
| 2.418 |
| 2.418 |
| 3.095 |
| 3.095 |
| 3.269 |
| 3.269 |
| 3.360 |
| 3.650 |
| 3.682 |
| 3.682 |
| 4.152 |
| 4.369 |
| 4.439 |
| 4.439 |
| Property |
Value |
| from where |
c2db-1177 |