I6Re2
MatHub2d-768-I6Re2
| Property |
Value |
| Space group |
(191, 'P6/mmm') |
| Crystal system |
hexagonal |
| Magnetic |
Yes |
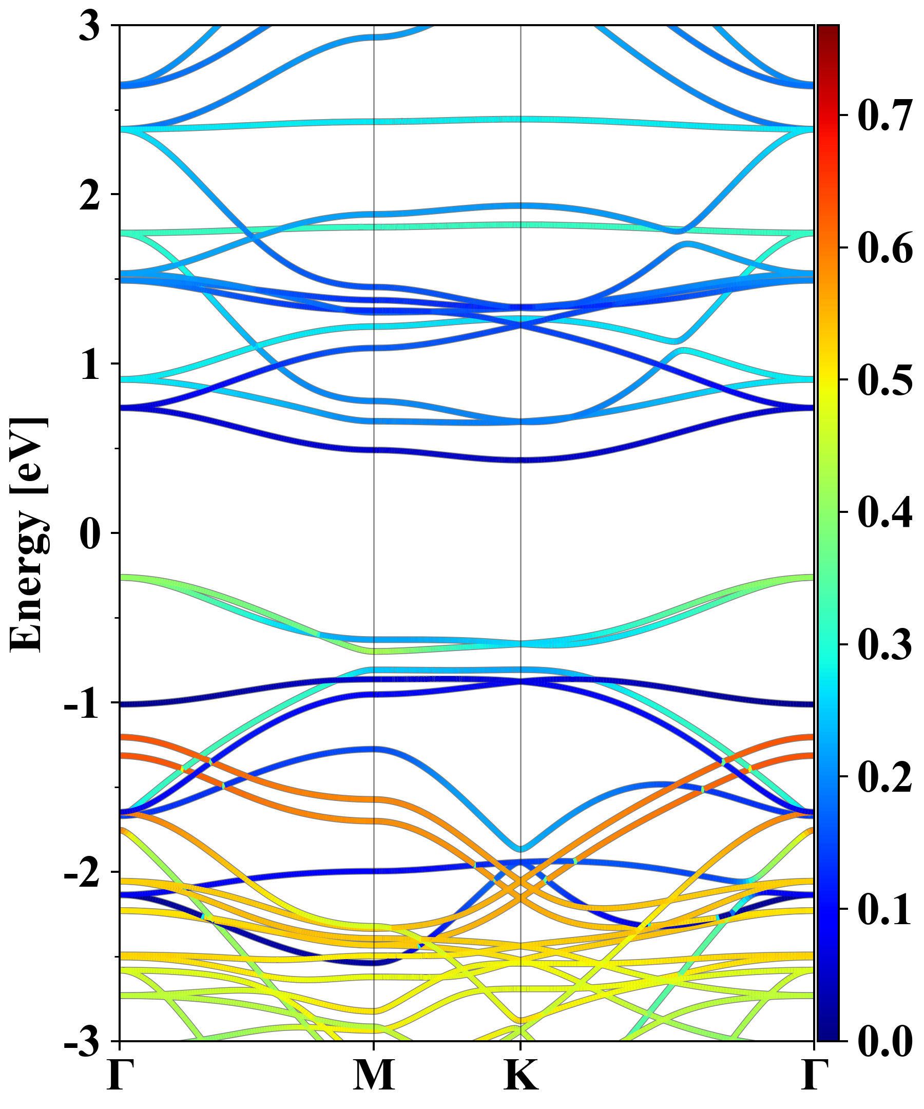
| Band gap (PBE) (eV) |
0.00 |
| Free energy (eV) |
-26.404 |
| Free energy / atom (eV) |
-3.301 |
Lattice Parameters (basic)
| a, b, c (Å): | 7.500 | 7.500 | 30.000 |
| α, β, γ (°): | 90.000 | 90.000 | 120.000 |
Lattice Parameters (computed)
| a, b, c (Å): | 7.516 | 7.516 | 30.000 |
| α, β, γ (°): | 90.000 | 90.000 | 120.000 |
| Property |
Value |
| Band gap |
0.00 eV |
| E-fermi |
-2.779 eV |
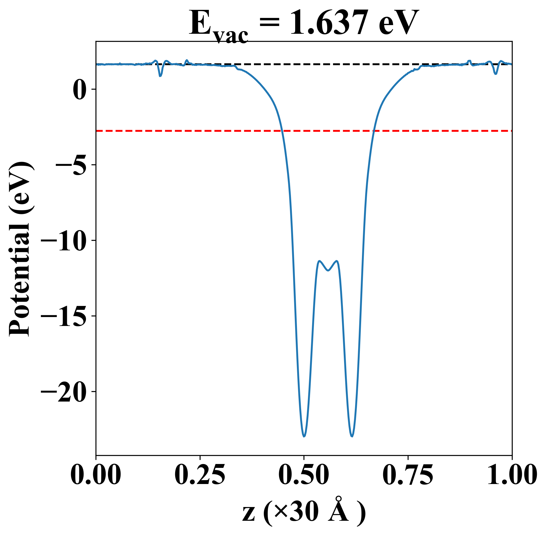
| Vacuum level |
1.637 eV |
| VBM |
-3.041 eV |
| CBM |
-2.350 eV |
| Work function |
4.417 eV |
| Direct gap |
No |
| Property |
Value |
| Band gap |
0.00 eV |
| E-fermi |
-2.779 eV |
| Vacuum level |
1.637 eV |
| VBM |
-3.041 eV |
| CBM |
-2.350 eV |
| Work function |
4.417 eV |
| Cij (N/m) |
xx |
yy |
xy |
| xx |
41.275 |
17.948 |
0.000 |
| yy |
17.948 |
41.275 |
0.000 |
| xy |
0.000 |
0.000 |
11.663 |
| Phonon mode at Γ point (THz) |
| -1.087 |
| -0.004 |
| -0.001 |
| -0.001 |
| 0.742 |
| 1.714 |
| 1.714 |
| 2.207 |
| 2.207 |
| 2.441 |
| 2.441 |
| 2.969 |
| 3.210 |
| 3.210 |
| 3.314 |
| 3.314 |
| 3.423 |
| 3.741 |
| 3.741 |
| 3.879 |
| 4.329 |
| 4.329 |
| 4.472 |
| 4.644 |
| Property |
Value |
| from where |
c2db-1306 |