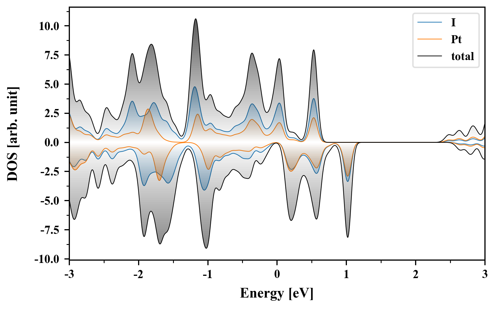
I6Pt2
MatHub2d-767-I6Pt2
| Property |
Value |
| Space group |
(189, 'P-62m') |
| Crystal system |
hexagonal |
| Magnetic |
Yes |
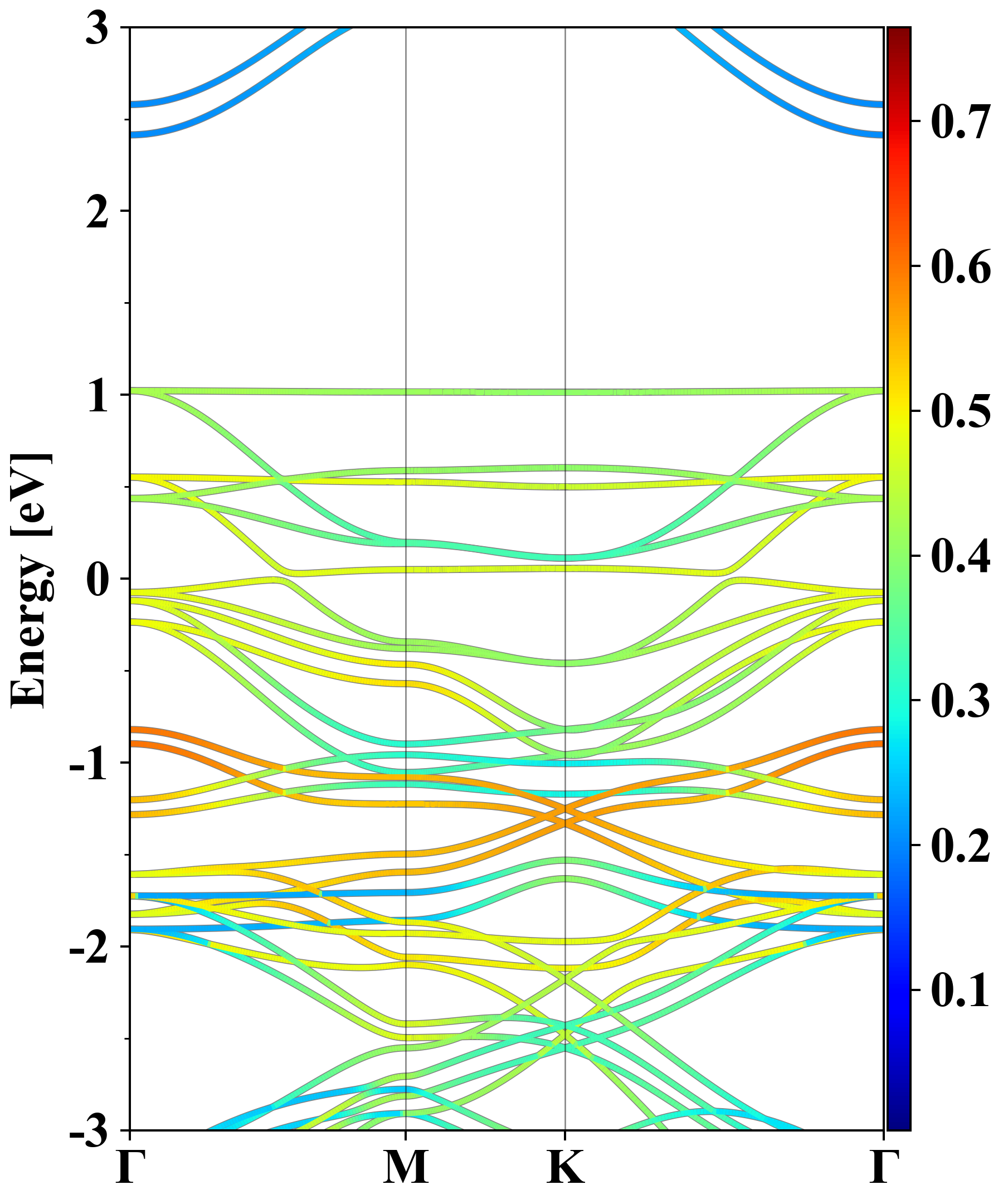
| Band gap (PBE) (eV) |
0.03 |
| Free energy (eV) |
-16.116 |
| Free energy / atom (eV) |
-2.014 |
Lattice Parameters (basic)
| a, b, c (Å): | 7.552 | 7.552 | 30.000 |
| α, β, γ (°): | 90.000 | 90.000 | 120.000 |
Lattice Parameters (computed)
| a, b, c (Å): | 7.437 | 7.437 | 30.000 |
| α, β, γ (°): | 90.000 | 90.000 | 120.000 |
| Property |
Value |
| Band gap |
0.03 eV |
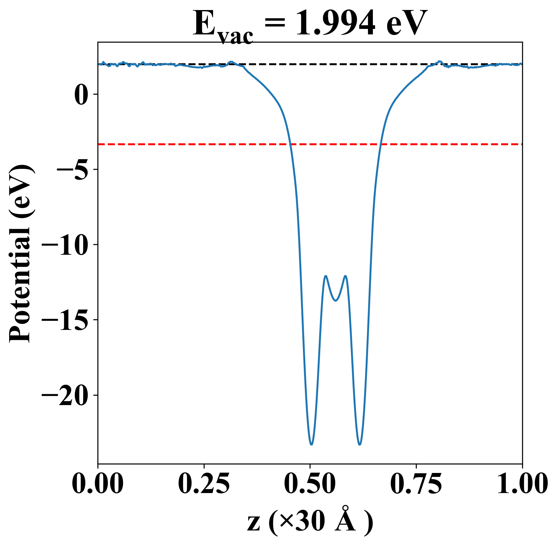
| E-fermi |
-3.335 eV |
| Vacuum level |
1.994 eV |
| VBM |
-3.342 eV |
| CBM |
-3.307 eV |
| Work function |
5.329 eV |
| Direct gap |
No |
| Property |
Value |
| Band gap |
0.03 eV |
| E-fermi |
-3.335 eV |
| Vacuum level |
1.994 eV |
| VBM |
-3.342 eV |
| CBM |
-3.307 eV |
| Work function |
5.329 eV |
| Cij (N/m) |
xx |
yy |
xy |
| xx |
14.820 |
1.999 |
-0.000 |
| yy |
1.999 |
14.820 |
-0.000 |
| xy |
-0.000 |
-0.000 |
6.410 |
| Phonon mode at Γ point (THz) |
| -1.606 |
| -1.516 |
| -1.516 |
| -0.220 |
| -0.220 |
| 0.001 |
| 0.002 |
| 0.002 |
| 0.890 |
| 1.067 |
| 1.067 |
| 1.439 |
| 2.073 |
| 2.073 |
| 2.174 |
| 2.174 |
| 2.312 |
| 2.312 |
| 2.931 |
| 2.931 |
| 3.537 |
| 3.596 |
| 3.686 |
| 3.750 |
| Property |
Value |
| from where |
c2db-1300 |