I6Pt2
MatHub2d-766-I6Pt2
| Property |
Value |
| Space group |
(162, 'P-31m') |
| Crystal system |
hexagonal |
| Magnetic |
Yes |
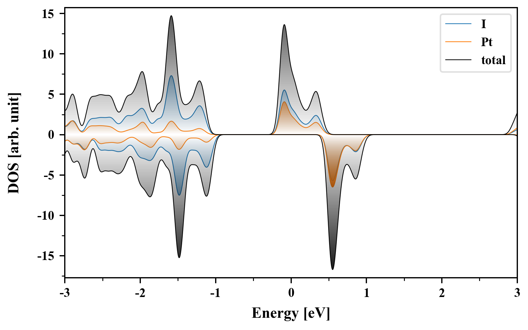
| Band gap (PBE) (eV) |
0.00 |
| Free energy (eV) |
-17.941 |
| Free energy / atom (eV) |
-2.243 |
Lattice Parameters (basic)
| a, b, c (Å): | 7.133 | 7.133 | 30.000 |
| α, β, γ (°): | 90.000 | 90.000 | 120.000 |
Lattice Parameters (computed)
| a, b, c (Å): | 7.084 | 7.084 | 30.000 |
| α, β, γ (°): | 90.000 | 90.000 | 120.000 |
| Property |
Value |
| Band gap |
0.00 eV |
| E-fermi |
-3.003 eV |
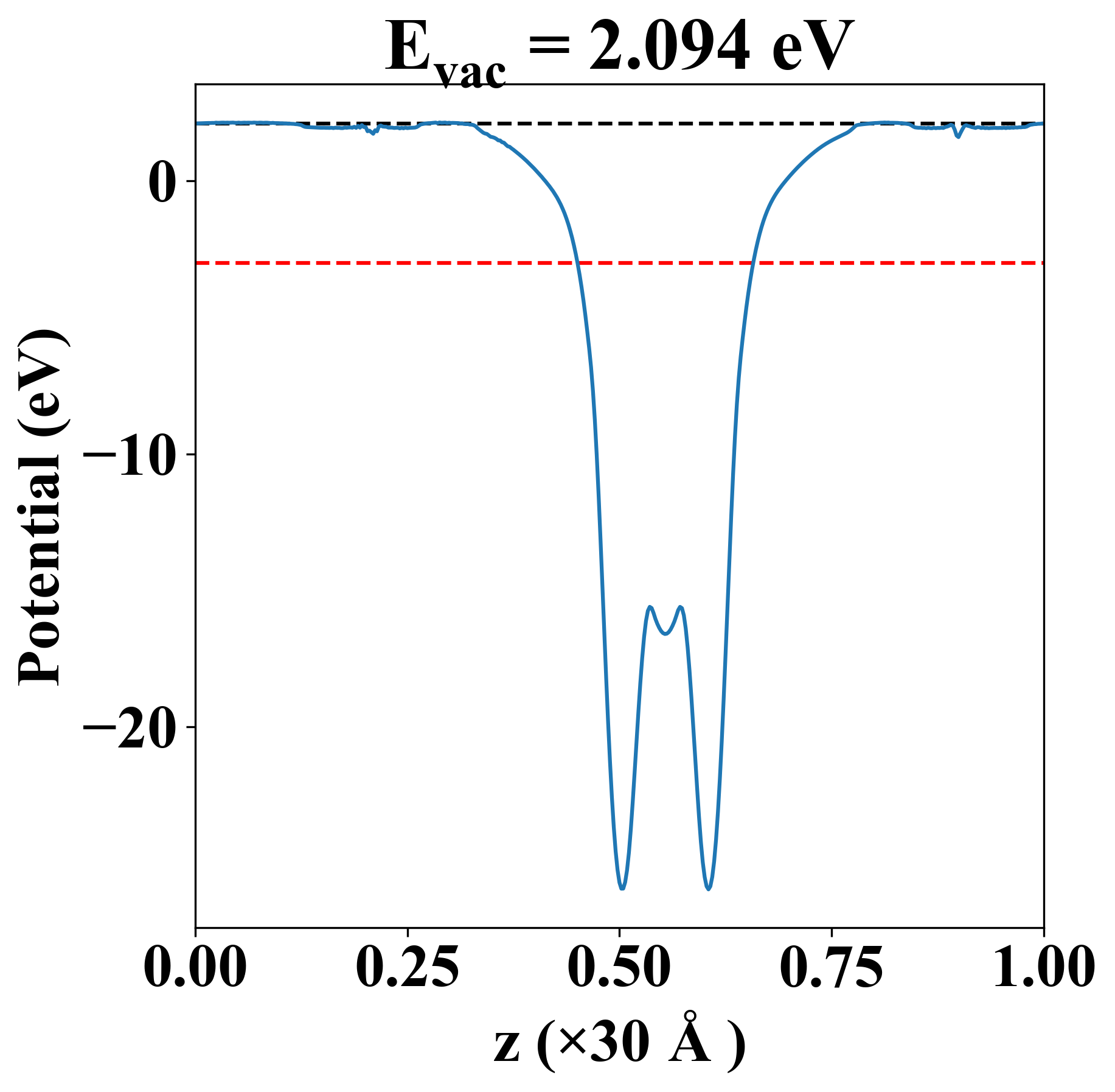
| Vacuum level |
2.094 eV |
| VBM |
-3.003 eV |
| CBM |
-3.003 eV |
| Work function |
5.097 eV |
| Direct gap |
No |
| Property |
Value |
| Band gap |
0.00 eV |
| E-fermi |
-3.003 eV |
| Vacuum level |
2.094 eV |
| VBM |
-3.003 eV |
| CBM |
-3.003 eV |
| Work function |
5.097 eV |
| Cij (N/m) |
xx |
yy |
xy |
| xx |
16.285 |
7.483 |
0.000 |
| yy |
7.483 |
16.285 |
-0.000 |
| xy |
0.000 |
-0.000 |
4.401 |
| Phonon mode at Γ point (THz) |
| -0.549 |
| -0.549 |
| -0.002 |
| -0.000 |
| 0.002 |
| 1.229 |
| 1.229 |
| 1.255 |
| 1.255 |
| 1.267 |
| 1.722 |
| 1.794 |
| 2.249 |
| 2.249 |
| 2.318 |
| 2.318 |
| 3.016 |
| 3.943 |
| 3.956 |
| 3.987 |
| 4.151 |
| 4.151 |
| 4.278 |
| 4.278 |
| Property |
Value |
| from where |
c2db-1174 |